Suppr超能文献

巴基斯坦拉合尔三级保健医院孕妇甲状腺激素的特定孕期参考范围。

Trimester-specific reference ranges for thyroid hormones of pregnant females at tertiary care hospitals in Lahore, Pakistan.

机构信息

Department of Pathology Akhtar Saeed Medical College, Lahore, Pakistan.

Lahore Medical & Dental College, Lahore, Pakistan.

出版信息

BMC Pregnancy Childbirth. 2021 Oct 26;21(1):717. doi: 10.1186/s12884-021-04200-x.

Abstract

BACKGROUND

The significance of investigation for diagnosing and managing thyroid dysfunction in pregnant females has been extensively documented in the medical literature. This study aimed to determine trimester-specific reference ranges for thyroid-stimulating hormones (TSH), free T (FT), and free T (FT) in apparently healthy pregnant women attending tertiary care hospitals in Lahore.

METHODS

This cross-sectional study was conducted at two tertiary care Hospitals in Lahore, Pakistan. In this multi-centric study, 500 pregnant females were initially enrolled from September 2019 to December 2019 who fulfilled the inclusion criteria. For measurement of serum FT, FT, thyroid stimulating hormone (TSH), anti-thyroid peroxidase (anti-TPO), and thyroglobulin antibodies, 5 ml of the blood sample was drawn, under aseptic conditions, from each subject using Maglumi 800 chemiluminescence immunoassay (CLIA) system.

RESULTS

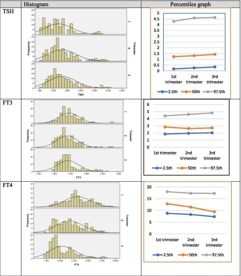
Out of 500 subjects, 23 subjects with positive anti-TPO, 19 subjects with anti-TG antibodies, and 12 subjects due to less volume of serum yielded from whole blood (serum less than 3 ml) were excluded from the analysis. Ten samples were hemolyzed and not included in the analysis. A total of 436 samples were examined for analysis. Of the remaining 436 subjects, 133 (30.5%) were from 1st trimester, 153 (35.1%) from 2nd trimester, and 150 (34.4%) from 3rd trimester. As the data were non-normal, the 2.5th, 50th, and 97.5th percentiles were calculated to express each group's results. Trimester specific range of TSH 0.168-4.294, 0.258-4.584 and 0.341-4.625 mIU/mL, FT1.857-4.408, 1.958-4.621 and 2.025-4.821 pmol/L and FT 8.815-18.006, 8.306-17.341 and 7.402-17.292 pmol/L.

CONCLUSION

In this study, we established a trimester-specific reference range for our local population's thyroid function test. The results of this study have complemented the results of previous studies.

摘要

背景

医学文献广泛记载了对孕妇甲状腺功能障碍进行诊断和管理的重要性。本研究旨在确定在拉合尔的三级保健医院就诊的健康孕妇的甲状腺刺激激素(TSH)、游离 T(FT)和游离 T(FT)的妊娠特异性参考范围。

方法

这是一项在巴基斯坦拉合尔的两家三级保健医院进行的横断面研究。在这项多中心研究中,从 2019 年 9 月至 12 月,共纳入了 500 名符合纳入标准的孕妇。使用 Maglumi 800 化学发光免疫分析(CLIA)系统,无菌条件下从每位受试者抽取 5ml 血样,用于测量血清 FT、FT、促甲状腺激素(TSH)、抗甲状腺过氧化物酶(anti-TPO)和甲状腺球蛋白抗体。

结果

在 500 名受试者中,有 23 名抗 TPO 阳性,19 名抗 TG 抗体阳性,12 名由于全血(血清<3ml)量少而被排除在分析之外。有 10 个样本溶血,未纳入分析。共检查了 436 个样本。在剩下的 436 名受试者中,有 133 名(30.5%)来自第 1 个孕早期,153 名(35.1%)来自第 2 个孕中期,150 名(34.4%)来自第 3 个孕晚期。由于数据非正态分布,计算了第 2.5、50 和 97.5 百分位数来表示每组的结果。妊娠特异性 TSH 范围为 0.168-4.294、0.258-4.584 和 0.341-4.625mIU/mL,FT 为 1.857-4.408、1.958-4.621 和 2.025-4.821pmol/L,FT 为 8.815-18.006、8.306-17.341 和 7.402-17.292pmol/L。

结论

在这项研究中,我们为当地人群的甲状腺功能试验建立了妊娠特异性参考范围。本研究的结果补充了以往研究的结果。

https://cdn.ncbi.nlm.nih.gov/pmc/blobs/354e/8547102/cf800e3a1cbf/12884_2021_4200_Fig1_HTML.jpg

文献AI研究员

20分钟写一篇综述,助力文献阅读效率提升50倍。

立即体验

用中文搜PubMed

大模型驱动的PubMed中文搜索引擎

马上搜索

文档翻译

学术文献翻译模型,支持多种主流文档格式。

立即体验