Suppr超能文献

大鼠尿液、人肝微粒体中的2C-B-Fly-NBOMe代谢物以及:用合成分析标准品进行确证

2C-B-Fly-NBOMe Metabolites in Rat Urine, Human Liver Microsomes and : Confirmation with Synthesized Analytical Standards.

作者信息

Nykodemová Jitka, Šuláková Anna, Palivec Petr, Češková Hedvika, Rimpelová Silvie, Šíchová Klára, Leonhardt Tereza, Jurásek Bronislav, Hájková Kateřina, Páleníček Tomáš, Kuchař Martin

机构信息

Forensic Laboratory of Biologically Active Substances, Department of Chemistry of Natural Compounds, University of Chemistry and Technology Prague, Technická 5, 166 28 Prague, Czech Republic.

Department of Experimental Neurobiology, National Institute of Mental Health, Topolová 748, 250 67 Klecany, Czech Republic.

出版信息

Metabolites. 2021 Nov 12;11(11):775. doi: 10.3390/metabo11110775.

Abstract

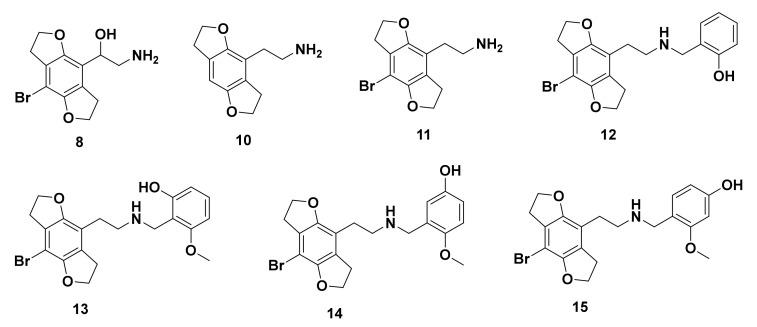
Compounds from the -benzylphenethylamine (NBPEA) class of novel psychoactive substances are being increasingly utilized in neurobiological and clinical research, as diagnostic tools, or for recreational purposes. To understand the pharmacology, safety, or potential toxicity of these substances, elucidating their metabolic fate is therefore of the utmost interest. Several studies on NBPEA metabolism have emerged, but scarce information about substances with a tetrahydrobenzodifuran ("Fly") moiety is available. Here, we investigated the metabolism of 2-(8-bromo-2,3,6,7-tetrahydrobenzo[1,2-b:4,5-b']difuran-4-yl)--(2-methoxybenzyl)ethan-1-amine (2C-B-Fly-NBOMe) in three different systems: isolated human liver microsomes, mycelium, and in rats in vivo. Phase I and II metabolites of 2C-B-Fly-NBOMe were first detected in an untargeted screening and identified by liquid chromatography-tandem mass spectrometry (LC-MS/MS). Several hypothesized metabolites were then synthesized as reference standards; knowledge of their fragmentation patterns was utilized for confirmation or tentative identification of isomers. Altogether, thirty-five phase I and nine phase II 2C-B-Fly-NBOMe metabolites were detected. Major detected metabolic pathways were mono- and poly-hydroxylation, -demethylation, oxidative debromination, and to a lesser extent also -demethoxybenzylation, followed by glucuronidation and/or -acetylation. Differences were observed for the three used media. The highest number of metabolites and at highest concentration were found in human liver microsomes. In vivo metabolites detected from rat urine included two poly-hydroxylated metabolites found only in this media. Mycelium matrix contained several dehydrogenated, -oxygenated, and dibrominated metabolites.

摘要

新型精神活性物质中的β-苄基苯乙胺(NBPEA)类化合物越来越多地被用于神经生物学和临床研究、作为诊断工具或用于娱乐目的。因此,为了解这些物质的药理学、安全性或潜在毒性,阐明它们的代谢命运至关重要。关于NBPEA代谢的研究已有多项,但关于含有四氢苯并二呋喃(“Fly”)部分的物质的信息却很少。在此,我们在三种不同系统中研究了2-(8-溴-2,3,6,7-四氢苯并[1,2-b:4,5-b']二呋喃-4-基)-N-(2-甲氧基苄基)乙胺(2C-B-Fly-NBOMe)的代谢:人肝微粒体、菌丝体以及大鼠体内。2C-B-Fly-NBOMe的I相和II相代谢产物首先在非靶向筛选中被检测到,并通过液相色谱-串联质谱(LC-MS/MS)进行鉴定。然后合成了几种推测的代谢产物作为参考标准;利用它们的碎裂模式知识来确认或初步鉴定异构体。总共检测到35种I相和9种II相2C-B-Fly-NBOMe代谢产物。检测到的主要代谢途径是单羟基化和多羟基化、去甲基化、氧化脱溴,以及在较小程度上的去甲氧基苄基化,随后是葡萄糖醛酸化和/或乙酰化。在三种使用的介质中观察到了差异。在人肝微粒体中发现的代谢产物数量最多且浓度最高。从大鼠尿液中检测到的体内代谢产物包括仅在该介质中发现的两种多羟基化代谢产物。菌丝体基质含有几种脱氢、氧化和二溴化代谢产物。

https://cdn.ncbi.nlm.nih.gov/pmc/blobs/6aed/8624686/c6392b195d4d/metabolites-11-00775-sch001.jpg

相似文献

3
5
Acute pharmacological profile of 2C-B-Fly-NBOMe in male Wistar rats-pharmacokinetics, effects on behaviour and thermoregulation.
Front Pharmacol. 2023 Mar 9;14:1120419. doi: 10.3389/fphar.2023.1120419. eCollection 2023.

本文引用的文献

2
NBOMes-Highly Potent and Toxic Alternatives of LSD.
Front Neurosci. 2020 Feb 26;14:78. doi: 10.3389/fnins.2020.00078. eCollection 2020.
3
Metabolite Profiling of Naringin in Rat Urine and Feces Using Stable Isotope-Labeling-Based Liquid Chromatography-Mass Spectrometry.
J Agric Food Chem. 2020 Jan 8;68(1):409-417. doi: 10.1021/acs.jafc.9b06494. Epub 2019 Dec 24.
4
DARK Classics in Chemical Neuroscience: NBOMes.
ACS Chem Neurosci. 2020 Dec 2;11(23):3860-3869. doi: 10.1021/acschemneuro.9b00528. Epub 2019 Nov 12.
8
25C-NBOMe, a Novel Designer Psychedelic, Induces Neurotoxicity 50 Times More Potent Than Methamphetamine In Vitro.
Neurotox Res. 2019 May;35(4):993-998. doi: 10.1007/s12640-019-0012-x. Epub 2019 Feb 26.
10
Neurochemical pharmacology of psychoactive substituted N-benzylphenethylamines: High potency agonists at 5-HT receptors.
Biochem Pharmacol. 2018 Dec;158:27-34. doi: 10.1016/j.bcp.2018.09.024. Epub 2018 Sep 25.

文献AI研究员

20分钟写一篇综述,助力文献阅读效率提升50倍。

立即体验

用中文搜PubMed

大模型驱动的PubMed中文搜索引擎

马上搜索

文档翻译

学术文献翻译模型,支持多种主流文档格式。

立即体验