Suppr超能文献

负载复合活性炭/壳聚糖和活性炭/硫醇化壳聚糖的具有增强亲水性的抗污染超滤聚合物复合膜

Anti-Foulant Ultrafiltration Polymer Composite Membranes Incorporated with Composite Activated Carbon/Chitosan and Activated Carbon/Thiolated Chitosan with Enhanced Hydrophilicity.

作者信息

Nayab Syeda Samia, Abbas M Asad, Mushtaq Shehla, Khan Niazi Bilal, Batool Mehwish, Shehnaz Gul, Ahmad Naveed, Ahmad Nasir M

机构信息

School of Chemical and Materials Engineering, National University of Science and Technology, Islamabad 44000, Pakistan.

School of Natural Sciences, National University of Science and Technology, Islamabad 44000, Pakistan.

出版信息

Membranes (Basel). 2021 Oct 27;11(11):827. doi: 10.3390/membranes11110827.

Abstract

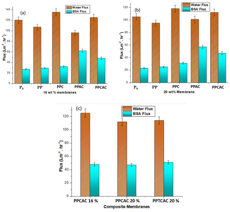
A rapid increase in population worldwide is giving rise to the severe problem of safe drinking water availability, necessitating the search for solutions that are effective and economical. For this purpose, membrane technology has shown a lot of promise but faces the challenge of fouling, leading to a reduction in its lifetime. In this study, ultrafiltration polyethersulfone membranes were synthesized in two different concentrations, 16% wt. and 20% wt., using the phase inversion method. Chitosan and activated carbon were incorporated as individual fillers and then as composites in both the concentrations. A novel thiolated chitosan/activated carbon composite was introduced into a polyethersulfone membrane matrix. The membranes were then analyzed using Attenuated Total Reflection-Fourier-Transform Infrared spectroscopy(ATR-FTIR), Scanning Electron Microscopy (SEM), optical profilometry, gravimetric analysis, water retention, mechanical testing and contact angle. For membranes with the novel thiolated chitosan/activated carbon composite, Scanning Electron Microscopy micrographs showed better channels, indicating a better permeability possibility, reiterated by the flux rate results. The flux rate and bovine serum albumin flux were also assessed, and the results showed an increase from 105 L/mh to 114 L/mh for water flux and the antifouling determined by bovine serum albumin flux increased from 23 L/mh to 51 L/mh. The increase in values of water uptake from 22.84% to 76.5% and decrease in contact angle from 64.5 to 55.7 showed a significant increase in the hydrophilic character of the membrane.

摘要

全球人口的快速增长引发了安全饮用水供应的严峻问题,这就需要寻找有效且经济的解决方案。为此,膜技术展现出了很大的前景,但面临着膜污染的挑战,导致其使用寿命缩短。在本研究中,采用相转化法合成了两种不同浓度(16% wt. 和20% wt.)的超滤聚醚砜膜。壳聚糖和活性炭分别作为填料,然后以两种浓度作为复合材料加入。一种新型的硫醇化壳聚糖/活性炭复合材料被引入到聚醚砜膜基质中。然后使用衰减全反射傅里叶变换红外光谱(ATR-FTIR)、扫描电子显微镜(SEM)、光学轮廓仪、重量分析、保水率、力学测试和接触角对膜进行分析。对于含有新型硫醇化壳聚糖/活性炭复合材料的膜,扫描电子显微镜照片显示出更好的通道,表明具有更好的渗透可能性,通量率结果也证实了这一点。还评估了通量率和牛血清白蛋白通量,结果显示水通量从105 L/mh增加到114 L/mh,牛血清白蛋白通量测定的抗污染能力从23 L/mh增加到51 L/mh。吸水率从22.84%增加到76.5%,接触角从64.5减小到55.7,表明膜的亲水性显著增加。

https://cdn.ncbi.nlm.nih.gov/pmc/blobs/d293/8618285/148528f68fcc/membranes-11-00827-g001.jpg

文献AI研究员

20分钟写一篇综述,助力文献阅读效率提升50倍。

立即体验

用中文搜PubMed

大模型驱动的PubMed中文搜索引擎

马上搜索

文档翻译

学术文献翻译模型,支持多种主流文档格式。

立即体验