• 文献检索
  • 文档翻译
  • 深度研究
  • 学术资讯
  • Suppr Zotero 插件Zotero 插件
  • 邀请有礼
  • 套餐&价格
  • 历史记录
应用&插件
Suppr Zotero 插件Zotero 插件浏览器插件Mac 客户端Windows 客户端微信小程序
定价
高级版会员购买积分包购买API积分包
服务
文献检索文档翻译深度研究API 文档MCP 服务
关于我们
关于 Suppr公司介绍联系我们用户协议隐私条款
关注我们

Suppr 超能文献

核心技术专利:CN118964589B侵权必究
粤ICP备2023148730 号-1Suppr @ 2026

文献检索

告别复杂PubMed语法,用中文像聊天一样搜索,搜遍4000万医学文献。AI智能推荐,让科研检索更轻松。

立即免费搜索

文件翻译

保留排版,准确专业,支持PDF/Word/PPT等文件格式,支持 12+语言互译。

免费翻译文档

深度研究

AI帮你快速写综述,25分钟生成高质量综述,智能提取关键信息,辅助科研写作。

立即免费体验

新型吡咯烷-2-酮衍生物S-75在肾上腺素诱发心律失常中的抗心律失常活性

The Antiarrhythmic Activity of Novel Pyrrolidin-2-one Derivative S-75 in Adrenaline-Induced Arrhythmia.

作者信息

Lustyk Klaudia, Sałaciak Kinga, Zaręba Paula, Siwek Agata, Sapa Jacek, Pytka Karolina

机构信息

Department of Pharmacodynamics, Faculty of Pharmacy, Jagiellonian University Medical College, Medyczna 9, 30-688 Krakow, Poland.

Department of Physiochemical Drug Analysis, Faculty of Pharmacy, Jagiellonian University Medical College, Medyczna 9, 30-688 Krakow, Poland.

出版信息

Pharmaceuticals (Basel). 2021 Oct 20;14(11):1065. doi: 10.3390/ph14111065.

DOI:10.3390/ph14111065
PMID:34832847
原文链接:https://pmc.ncbi.nlm.nih.gov/articles/PMC8625052/
Abstract

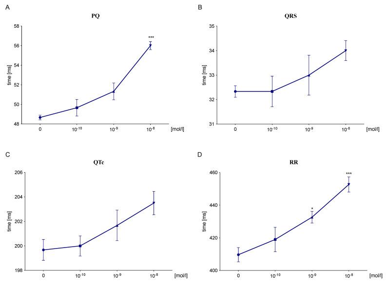
Arrhythmia is a quivering or irregular heartbeat that can often lead to blood clots, stroke, heart failure, and other heart-related complications. The limited efficacy and safety of antiarrhythmic drugs require the design of new compounds. Previous research indicated that pyrrolidin-2-one derivatives possess an affinity for α-adrenergic receptors. The blockade of α-adrenoceptor may play a role in restoring normal sinus rhythm; therefore, we aimed to verify the antiarrhythmic activity of novel pyrrolidin-2-one derivative S-75. In this study, we assessed the influence on sodium, calcium, potassium channels, and β-adrenergic receptors to investigate the mechanism of action of S-75. Lack of affinity for β-adrenoceptors and weak effects on ion channels decreased the role of these adrenoceptors and channels in the pharmacological activity of S-75. Next, we evaluated the influence of S-75 on normal ECG in rats and isolated rat hearts, and the tested derivative did not prolong the QT interval, which may confirm the lack of the proarrhythmic potential. We tested antiarrhythmic activity in adrenaline-, aconitine- and calcium chloride-induced arrhythmia models in rats. The studied compound showed prophylactic antiarrhythmic activity in the adrenaline-induced arrhythmia, but no significant activity in the model of aconitine- or calcium chloride-induced arrhythmia. In addition, S-75 was not active in the model of post-reperfusion arrhythmias of the isolated rat hearts. Conversely, the compound showed therapeutic antiarrhythmic properties in adrenaline-induced arrhythmia, reducing post-arrhythmogen heart rhythm disorders, and decreasing animal mortality. Thus, we suggest that the blockade of α-adrenoceptor might be beneficial in restoring normal heart rhythm in adrenaline-induced arrhythmia.

摘要

心律失常是一种心跳颤动或不规则的情况,常常会导致血液凝块、中风、心力衰竭以及其他与心脏相关的并发症。抗心律失常药物有限的疗效和安全性需要设计新的化合物。先前的研究表明,吡咯烷-2-酮衍生物对α-肾上腺素能受体具有亲和力。α-肾上腺素能受体的阻断可能在恢复正常窦性心律中发挥作用;因此,我们旨在验证新型吡咯烷-2-酮衍生物S-75的抗心律失常活性。在本研究中,我们评估了其对钠、钙、钾通道以及β-肾上腺素能受体的影响,以研究S-75的作用机制。对β-肾上腺素能受体缺乏亲和力以及对离子通道的微弱作用降低了这些肾上腺素能受体和通道在S-75药理活性中的作用。接下来,我们评估了S-75对大鼠正常心电图和离体大鼠心脏的影响,测试的衍生物并未延长QT间期,这可能证实其缺乏促心律失常的潜力。我们在大鼠肾上腺素、乌头碱和氯化钙诱导的心律失常模型中测试了抗心律失常活性。所研究的化合物在肾上腺素诱导的心律失常中显示出预防性抗心律失常活性,但在乌头碱或氯化钙诱导的心律失常模型中无显著活性。此外,S-75在离体大鼠心脏再灌注后心律失常模型中无活性。相反,该化合物在肾上腺素诱导的心律失常中显示出治疗性抗心律失常特性,减少心律失常后心脏节律紊乱,并降低动物死亡率。因此,我们认为α-肾上腺素能受体的阻断可能有助于恢复肾上腺素诱导的心律失常中的正常心律。

https://cdn.ncbi.nlm.nih.gov/pmc/blobs/0e87/8625052/241744e7dbeb/pharmaceuticals-14-01065-g002.jpg
https://cdn.ncbi.nlm.nih.gov/pmc/blobs/0e87/8625052/3762585170ab/pharmaceuticals-14-01065-g001.jpg
https://cdn.ncbi.nlm.nih.gov/pmc/blobs/0e87/8625052/241744e7dbeb/pharmaceuticals-14-01065-g002.jpg
https://cdn.ncbi.nlm.nih.gov/pmc/blobs/0e87/8625052/3762585170ab/pharmaceuticals-14-01065-g001.jpg
https://cdn.ncbi.nlm.nih.gov/pmc/blobs/0e87/8625052/241744e7dbeb/pharmaceuticals-14-01065-g002.jpg

相似文献

1
The Antiarrhythmic Activity of Novel Pyrrolidin-2-one Derivative S-75 in Adrenaline-Induced Arrhythmia.新型吡咯烷-2-酮衍生物S-75在肾上腺素诱发心律失常中的抗心律失常活性
Pharmaceuticals (Basel). 2021 Oct 20;14(11):1065. doi: 10.3390/ph14111065.
2
The Antiarrhythmic and Hypotensive Effects of S-61 and S-73, the Pyrrolidin-2-one Derivatives with α-Adrenolytic Properties.具有α-肾上腺素能阻断特性的吡咯烷-2-酮衍生物S-61和S-73的抗心律失常和降压作用
Int J Mol Sci. 2022 Sep 8;23(18):10381. doi: 10.3390/ijms231810381.
3
Chemically Homogenous Compounds with Antagonistic Properties at All α1-Adrenoceptor Subtypes but not β1-Adrenoceptor Attenuate Adrenaline-Induced Arrhythmia in Rats.在所有α1-肾上腺素能受体亚型而非β1-肾上腺素能受体上具有拮抗特性的化学性质均一的化合物可减轻大鼠肾上腺素诱导的心律失常。
Front Pharmacol. 2016 Aug 3;7:229. doi: 10.3389/fphar.2016.00229. eCollection 2016.
4
Novel Arylpiperazine Derivatives of Salicylamide with α-Adrenolytic Properties Showed Antiarrhythmic and Hypotensive Properties in Rats.新型芳基哌嗪水杨酰胺衍生物具有α-肾上腺素能阻滞特性,在大鼠中表现出抗心律失常和降压作用。
Int J Mol Sci. 2022 Dec 24;24(1):293. doi: 10.3390/ijms24010293.
5
HBK-10, A Compound with α-Adrenolytic Properties, Showed Antiarrhythmic and Hypotensive Effects in Rats.具有α-肾上腺素能阻断特性的化合物HBK-10在大鼠中显示出抗心律失常和降压作用。
Pharmaceuticals (Basel). 2022 Oct 12;15(10):1256. doi: 10.3390/ph15101256.
6
Antiarrhythmic activity of some xanthone derivatives with β1-adrenoceptor affinities in rats.某些具有β1 -肾上腺素能受体亲和力的氧杂蒽酮衍生物在大鼠体内的抗心律失常活性。
Eur J Pharmacol. 2014 Sep 5;738:14-21. doi: 10.1016/j.ejphar.2014.05.032. Epub 2014 May 27.
7
Antiarrhythmic and α-Adrenoceptor Antagonistic Properties of Novel Arylpiperazine Derivatives of Pyrrolidin-2-one.吡咯烷-2-酮新型芳基哌嗪衍生物的抗心律失常及α-肾上腺素能受体拮抗特性
Arch Pharm (Weinheim). 2015 Dec;348(12):861-7. doi: 10.1002/ardp.201500180. Epub 2015 Nov 2.
8
Antiarrhythmic properties of some 1,4-disubstituted piperazine derivatives with α1-adrenoceptor affinities.具有α1-肾上腺素能受体亲和力的某些 1,4-二取代哌嗪衍生物的抗心律失常性质。
Eur J Pharmacol. 2013 Nov 15;720(1-3):237-46. doi: 10.1016/j.ejphar.2013.10.021. Epub 2013 Oct 23.
9
Antiarrhythmic, hypotensive and α1-adrenolytic properties of new 2-methoxyphenylpiperazine derivatives of xanthone.新型黄烷酮 2-甲氧基苯哌嗪衍生物的抗心律失常、降压和α1-肾上腺素能阻断作用。
Eur J Pharmacol. 2014 Jul 15;735:10-6. doi: 10.1016/j.ejphar.2014.04.010. Epub 2014 Apr 18.
10
Cardiovascular activity of the chiral xanthone derivatives.手性呫吨酮衍生物的心血管活性。
Bioorg Med Chem. 2015 Oct 15;23(20):6714-24. doi: 10.1016/j.bmc.2015.09.005. Epub 2015 Sep 5.

引用本文的文献

1
The Antiarrhythmic and Hypotensive Effects of S-61 and S-73, the Pyrrolidin-2-one Derivatives with α-Adrenolytic Properties.具有α-肾上腺素能阻断特性的吡咯烷-2-酮衍生物S-61和S-73的抗心律失常和降压作用
Int J Mol Sci. 2022 Sep 8;23(18):10381. doi: 10.3390/ijms231810381.

本文引用的文献

1
Design, synthesis and cardiovascular evaluation of some aminoisopropanoloxy derivatives of xanthone.新型黄烷酮类化合物的设计、合成与心血管活性评价。
Bioorg Med Chem. 2018 Jul 30;26(13):3773-3784. doi: 10.1016/j.bmc.2018.04.038. Epub 2018 Apr 18.
2
Calcium Signaling and Cardiac Arrhythmias.钙信号与心律失常
Circ Res. 2017 Jun 9;120(12):1969-1993. doi: 10.1161/CIRCRESAHA.117.310083.
3
Chemically Homogenous Compounds with Antagonistic Properties at All α1-Adrenoceptor Subtypes but not β1-Adrenoceptor Attenuate Adrenaline-Induced Arrhythmia in Rats.
在所有α1-肾上腺素能受体亚型而非β1-肾上腺素能受体上具有拮抗特性的化学性质均一的化合物可减轻大鼠肾上腺素诱导的心律失常。
Front Pharmacol. 2016 Aug 3;7:229. doi: 10.3389/fphar.2016.00229. eCollection 2016.
4
α-Adrenoceptor antagonistic and hypotensive properties of novel arylpiperazine derivatives of pyrrolidin-2-one.吡咯烷-2-酮新型芳基哌嗪衍生物的α-肾上腺素能受体拮抗和降压特性
Bioorg Med Chem. 2015 May 1;23(9):2104-11. doi: 10.1016/j.bmc.2015.03.009. Epub 2015 Mar 9.
5
Cardiac alpha1-adrenergic receptors: novel aspects of expression, signaling mechanisms, physiologic function, and clinical importance.心脏 alpha1-肾上腺素能受体:表达、信号机制、生理功能和临床重要性的新方面。
Pharmacol Rev. 2013 Dec 24;66(1):308-33. doi: 10.1124/pr.112.007203. Print 2014.
6
Antiarrhythmic properties of some 1,4-disubstituted piperazine derivatives with α1-adrenoceptor affinities.具有α1-肾上腺素能受体亲和力的某些 1,4-二取代哌嗪衍生物的抗心律失常性质。
Eur J Pharmacol. 2013 Nov 15;720(1-3):237-46. doi: 10.1016/j.ejphar.2013.10.021. Epub 2013 Oct 23.
7
α₁A-adrenergic receptors regulate cardiac hypertrophy in vivo through interleukin-6 secretion.α₁A-肾上腺素能受体通过白细胞介素-6 的分泌调节体内心肌肥厚。
Mol Pharmacol. 2013 May;83(5):939-48. doi: 10.1124/mol.112.084483. Epub 2013 Feb 12.
8
Antiarrhythmic properties of phenylpiperazine derivatives of phenytoin with α₁-adrenoceptor affinities.具有 α₁-肾上腺素能受体亲和力的苯妥英苯并哌嗪衍生物的抗心律失常特性。
Bioorg Med Chem. 2012 Apr 1;20(7):2290-303. doi: 10.1016/j.bmc.2012.02.009. Epub 2012 Feb 13.
9
Antiarrhythmic and hypotensive activities of 1-[2-hydroxy-3-(4-phenyl-1-piperazinyl)propyl]-pyrrolidin-2-one (MG-1(R,S)) and its enantiomers.1-[2-羟基-3-(4-苯基-1-哌嗪基)丙基]-2-吡咯烷酮(MG-1(R,S))及其对映异构体的抗心律失常和降压活性。
Pharmacol Rep. 2011;63(2):455-63. doi: 10.1016/s1734-1140(11)70512-6.
10
Identification of human Ether-à-go-go related gene modulators by three screening platforms in an academic drug-discovery setting.在学术性药物研发环境中,通过三种筛选平台鉴定人醚-去-去相关基因调节剂。
Assay Drug Dev Technol. 2010 Dec;8(6):727-42. doi: 10.1089/adt.2010.0331.