Suppr超能文献

以腰痛为主诉就诊于急诊科的患者发生肾梗死的预测因素:一项回顾性观察性研究。

Predictors of renal infarction in patients presenting to the emergency department with flank pain: A retrospective observational study.

机构信息

Department of Emergency Medicine, Soonchunhyang University Bucheon Hospital, Bucheon, Republic of Korea.

Department of Biostatistics, Clinical Trial Center, Soonchunhyang University Bucheon Hospital, Bucheon, Republic of Korea.

出版信息

PLoS One. 2021 Dec 7;16(12):e0261054. doi: 10.1371/journal.pone.0261054. eCollection 2021.

Abstract

OBJECTIVES

Flank pain is a common symptom in the emergency department and can be caused by a variety of diseases. Renal infarction (RI) is a very rare disease, and many RI patients complain of flank pain. However, there is no definitive predictor of RI when patients complain of flank pain. This study aimed to identify the clinical factors for predicting RI in patients with flank pain.

METHODS

This retrospective single-center study was conducted on patients complaining of flank pain from January 2016 to March 2020 at a South Korean tertiary care hospital. Exclusion criteria included patients who did not undergo contrast-enhanced computed tomography, age < 18 years, and trauma. Demographic and laboratory data were obtained from medical records. Logistic regression analysis was conducted to identify predictors of RI occurrence.

RESULTS

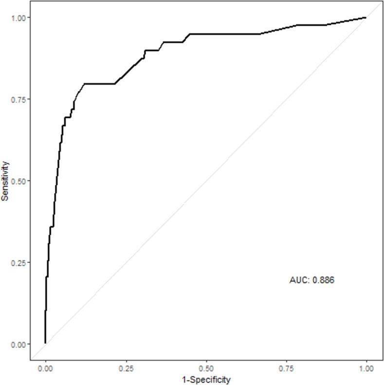
In all, 2,131 patients were enrolled, and 39 (1.8%) had RI. From a multivariable logistic regression analysis, an age ≥ 65 years (odds ratio [OR], 3.249; 95% confidence interval [CI], 1.366-7.725; p = 0.008), male sex (OR, 2.846; 95% CI, 1.190-6.808; p = 0.019), atrial fibrillation (OR, 10.386; 95% CI, 3.724-28.961; p < 0.001), current smoker (OR, 10.022; 95% CI, 4.565-22.001; p < 0.001), and no hematuria (OR, 0.267; 95% CI, 0.114-0.628; p = 0.002) were significantly associated with the occurrence of RI.

CONCLUSIONS

Five clinical factors, i.e., age ≥ 65 years, male sex, atrial fibrillation, current smoker, and no hematuria, were significantly associated with the occurrence of RI in patients with flank pain.

摘要

目的

腰痛是急诊科常见的症状,可由多种疾病引起。肾梗死(RI)是一种非常罕见的疾病,许多 RI 患者主诉腰痛。然而,当患者主诉腰痛时,并没有明确的 RI 预测指标。本研究旨在确定预测腰痛患者 RI 的临床因素。

方法

这是一项在韩国一家三级保健医院进行的回顾性单中心研究,纳入了 2016 年 1 月至 2020 年 3 月主诉腰痛的患者。排除标准包括未行增强 CT 检查、年龄<18 岁和外伤患者。从病历中获取人口统计学和实验室数据。采用 logistic 回归分析确定 RI 发生的预测因素。

结果

共纳入 2131 例患者,其中 39 例(1.8%)患有 RI。多变量 logistic 回归分析显示,年龄≥65 岁(OR,3.249;95%CI,1.366-7.725;p=0.008)、男性(OR,2.846;95%CI,1.190-6.808;p=0.019)、心房颤动(OR,10.386;95%CI,3.724-28.961;p<0.001)、当前吸烟者(OR,10.022;95%CI,4.565-22.001;p<0.001)和无血尿(OR,0.267;95%CI,0.114-0.628;p=0.002)与 RI 的发生显著相关。

结论

5 个临床因素,即年龄≥65 岁、男性、心房颤动、当前吸烟者和无血尿,与腰痛患者 RI 的发生显著相关。

https://cdn.ncbi.nlm.nih.gov/pmc/blobs/ef48/8651137/3a4bf073e5f6/pone.0261054.g001.jpg

文献检索

告别复杂PubMed语法,用中文像聊天一样搜索,搜遍4000万医学文献。AI智能推荐,让科研检索更轻松。

立即免费搜索

文件翻译

保留排版,准确专业,支持PDF/Word/PPT等文件格式,支持 12+语言互译。

免费翻译文档

深度研究

AI帮你快速写综述,25分钟生成高质量综述,智能提取关键信息,辅助科研写作。

立即免费体验