Suppr超能文献

风湿性和肌肉骨骼疾病影像引导介入手术的当前实践:一项多国多学科调查结果

Current Practice of Imaging-Guided Interventional Procedures in Rheumatic and Musculoskeletal Diseases: Results of a Multinational Multidisciplinary Survey.

作者信息

Carubbi Francesco, Bosch Philipp, Machado Pedro M, Scirè Carlo Alberto, Alunno Alessia, Proft Fabian, Baraliakos Xenofon, Dejaco Christian

机构信息

Internal Medicine and Nephrology Unit, Department of Life, Health and Environmental Sciences, University of L'Aquila, L'Aquila, Italy.

Department of Medicine, ASL 1 Avezzano-Sulmona-L'Aquila, San Salvatore Hospital, L'Aquila, Italy.

出版信息

Front Med (Lausanne). 2021 Nov 22;8:779975. doi: 10.3389/fmed.2021.779975. eCollection 2021.

Abstract

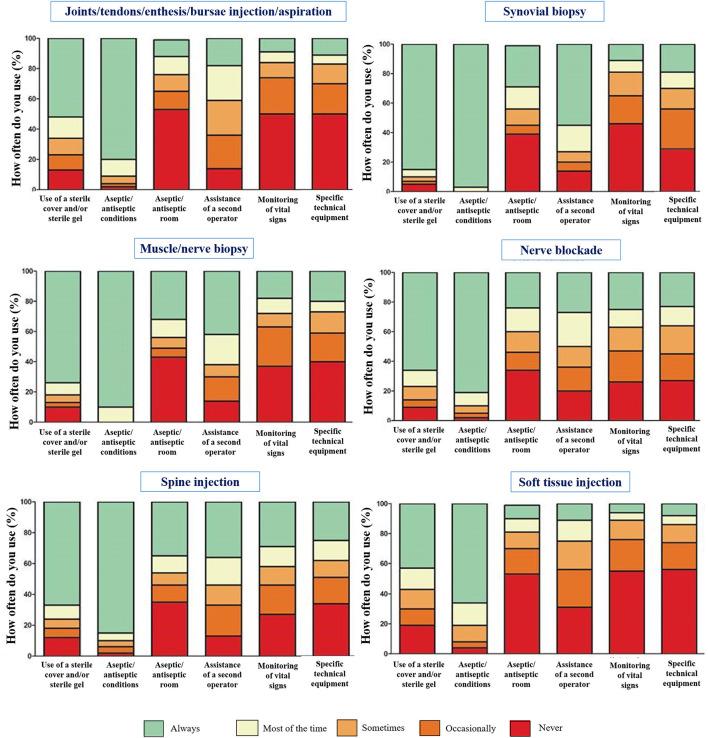
To investigate opinion and routine practice of specialists from different disciplines on imaging techniques for interventional procedures related to rheumatic and musculoskeletal diseases (RMDs). An English-language questionnaire was developed by an international working group and distributed to health care providers of various disciplines involved in the care of people with RMDs via an online survey tool (SoSci Survey®) from December 2019 to May 2020. A total of 1,105 respondents from 56 countries completed the survey, over 60% of participants were rheumatologists. The majority of respondents (88%) performed interventional procedures in RMDs patients and 90% of them used imaging guidance. Ultrasonography was the most frequently used technique, particularly among rheumatologists. X-ray and computed tomography were mainly used by radiologists. A discrepancy emerged between the importance assigned to certain items such as the availability of a second operator and their actual implementation in clinical practice. Local barriers, lack of resources and facilities were mentioned as the most relevant obstacles in this regard. Lack of training on imaging and/or imaging guided procedures did not emerge as a barrier to perform such interventions; in fact, 19% of respondents performing the procedures indicated not to have received adequate training in this field. This is the first multinational multidisciplinary survey exploring in detail the opinions and practice on imaging guidance for interventional procedures in RMDs. A harmonization of protocols based on international guidelines, along with adequate training programmes and interventions on barriers at national/local levels are the main unmet needs requiring attention.

摘要

调查不同学科专家对风湿性和肌肉骨骼疾病(RMD)介入手术成像技术的看法和常规做法。一个国际工作组编制了一份英文问卷,并于2019年12月至2020年5月通过在线调查工具(SoSci Survey®)分发给参与RMD患者护理的各学科医疗服务提供者。来自56个国家的1105名受访者完成了调查,超过60%的参与者是风湿病学家。大多数受访者(88%)对RMD患者进行介入手术,其中90%使用成像引导。超声检查是最常用的技术,尤其是在风湿病学家中。X射线和计算机断层扫描主要由放射科医生使用。在某些项目的重要性(如是否有第二名操作人员)与其在临床实践中的实际实施之间出现了差异。当地的障碍、资源和设施的缺乏被认为是这方面最相关的障碍。缺乏成像和/或成像引导手术的培训并未成为进行此类干预的障碍;事实上,进行这些手术的受访者中有19%表示未在该领域接受过充分培训。这是第一项详细探讨RMD介入手术成像引导的意见和实践的跨国多学科调查。基于国际指南协调方案,以及在国家/地方层面开展适当的培训计划和消除障碍的干预措施是需要关注的主要未满足需求。

https://cdn.ncbi.nlm.nih.gov/pmc/blobs/d7b7/8645558/0ef9d2f2e00d/fmed-08-779975-g0001.jpg

文献AI研究员

20分钟写一篇综述,助力文献阅读效率提升50倍。

立即体验

用中文搜PubMed

大模型驱动的PubMed中文搜索引擎

马上搜索

文档翻译

学术文献翻译模型,支持多种主流文档格式。

立即体验