Suppr超能文献

西他沙星降低肿瘤坏死因子-α(TNFα)转化酶(TACE)的磷酸化和活性,从而抑制脂多糖刺激的 THP-1 细胞释放 TNFα。

Sitafloxacin reduces tumor necrosis factor alpha (TNFα) converting enzyme (TACE) phosphorylation and activity to inhibit TNFα release from lipopolysaccharide-stimulated THP-1 cells.

机构信息

Department of Infectious Diseases, Faculty of Medical Sciences, University of Fukui, 23-3, Matsuokashimoaizuki, Eiheiji-cho, Yoshida-gun, Fukui, 910-1193, Japan.

Department of Clinical Infectious Diseases, Toyama University Hospital, Toyama, Japan.

出版信息

Sci Rep. 2021 Dec 17;11(1):24154. doi: 10.1038/s41598-021-03511-5.

Abstract

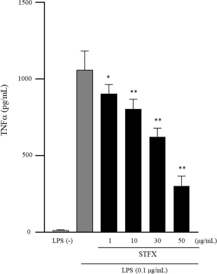
Sepsis is a systemic reaction to an infection and resulting in excessive production of inflammatory cytokines and chemokines. It sometimes results in septic shock. The present study aimed to identify quinolone antibiotics that can reduce tumor necrosis factor alpha (TNFα) production and to elucidate mechanisms underlying inhibition of TNFα production. We identified quinolone antibiotics reduced TNFα production in lipopolysaccharide (LPS)-stimulated THP-1 cells. Sitafloxacin (STFX) is a broad-spectrum antibiotic of the quinolone class. STFX effectively suppressed TNFα production in LPS-stimulated THP-1 cells in a dose-dependent manner and increased extracellular signal-regulated kinase (ERK) phosphorylation. The percentage of intracellular TNFα increased in LPS-stimulated cells with STFX compared with that in LPS-stimulated cells. TNFα converting enzyme (TACE) released TNFα from the cells, and STFX suppressed TACE phosphorylation and activity. To conclude, one of the mechanisms underlying inhibition of TNFα production in LPS-stimulated THP-1 cells treated with STFX is the inhibition of TNFα release from cells via the suppression of TACE phosphorylation and activity. STFX may kill bacteria and suppress inflammation. Therefore, it can be effective for sepsis treatment.

摘要

败血症是一种全身性感染反应,导致炎症细胞因子和趋化因子的过度产生。它有时会导致感染性休克。本研究旨在鉴定能够降低肿瘤坏死因子 α(TNFα)产生的喹诺酮类抗生素,并阐明抑制 TNFα产生的机制。我们发现喹诺酮类抗生素可降低脂多糖(LPS)刺激的 THP-1 细胞中 TNFα 的产生。司他氟沙星(STFX)是一种广谱喹诺酮类抗生素。STFX 可有效抑制 LPS 刺激的 THP-1 细胞中 TNFα 的产生,呈剂量依赖性,并增加细胞外信号调节激酶(ERK)磷酸化。与 LPS 刺激的细胞相比,用 STFX 处理的 LPS 刺激的细胞中细胞内 TNFα 的百分比增加。肿瘤坏死因子 α 转化酶(TACE)将 TNFα 从细胞中释放出来,而 STFX 可抑制 TACE 的磷酸化和活性。总之,STFX 抑制 LPS 刺激的 THP-1 细胞中 TNFα 产生的机制之一是通过抑制 TACE 的磷酸化和活性抑制细胞内 TNFα 的释放。STFX 可能具有杀菌和抑制炎症的作用。因此,它可有效治疗败血症。

https://cdn.ncbi.nlm.nih.gov/pmc/blobs/86e1/8683466/e76e55eb0fa5/41598_2021_3511_Fig1_HTML.jpg

文献AI研究员

20分钟写一篇综述,助力文献阅读效率提升50倍。

立即体验

用中文搜PubMed

大模型驱动的PubMed中文搜索引擎

马上搜索

文档翻译

学术文献翻译模型,支持多种主流文档格式。

立即体验