Programa de Administración en Seguridad y Salud en el Trabajo, Grupo de Investigación en Seguridad y Salud en el Trabajo, Corporación Universitaria Minuto de Dios-UNIMINUTO, Neiva 410001, Huila, Colombia.
Grupo de Fisicoquímica y Análisis Matemático, Facultad de Ciencias y Humanidades, Fundación Universidad de América, Avenida Circunvalar No. 20-53, Bogotá 110321, Distrito Capital, Colombia.
Molecules. 2021 Dec 14;26(24):7588. doi: 10.3390/molecules26247588.
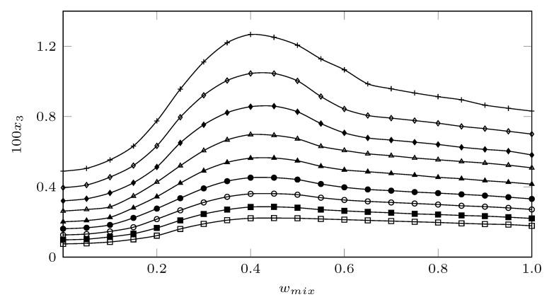
Solubility of sulfamethazine (SMT) in acetonitrile (MeCN) + methanol (MeOH) cosolvents was determined at nine temperatures between 278.15 and 318.15 K. From the solubility data expressed in molar fraction, the thermodynamic functions of solution, transfer and mixing were calculated using the Gibbs and van 't Hoff equations; on the other hand, the solubility data were modeled according to the Wilson models and NRTL. The solubility of SMT is thermo-dependent and is influenced by the solubility parameter of the cosolvent mixtures. In this case, the maximum solubility was achieved in the cosolvent mixture w0.40 at 318.15 K and the minimum in pure MeOH at 278.15 K. According to the thermodynamic functions, the SMT solution process is endothermic in addition to being favored by the entropic factor, and as for the preferential solvation parameter, SMT tends to be preferentially solvated by MeOH in all cosolvent systems; however, δx3,1<0.01, so the results are not conclusive. Finally, according to mean relative deviations (MRD%), the two models could be very useful tools for calculating the solubility of SMT in cosolvent mixtures and temperatures different from those reported in this research.
磺胺间甲氧嘧啶(SMT)在乙腈(MeCN)+甲醇(MeOH)共溶剂中的溶解度在 278.15 至 318.15 K 的九个温度下进行了测定。根据摩尔分数表示的溶解度数据,使用吉布斯和范特霍夫方程计算了溶液、转移和混合的热力学函数;另一方面,根据威尔逊模型和 NRTL 对溶解度数据进行了建模。SMT 的溶解度是热依赖性的,并受共溶剂混合物溶解度参数的影响。在这种情况下,在 318.15 K 时,在 w0.40 的共溶剂混合物中达到最大溶解度,在 278.15 K 时在纯 MeOH 中达到最小溶解度。根据热力学函数,SMT 溶液过程是吸热的,除了受到熵因子的有利影响外,对于优先溶剂化参数,SMT 在所有共溶剂系统中都倾向于优先被 MeOH 溶剂化;然而,δx3,1<0.01,因此结果并不确定。最后,根据平均相对偏差(MRD%),这两个模型可以非常有用地用于计算 SMT 在共溶剂混合物和与本研究中报告的温度不同的温度下的溶解度。