Suppr超能文献

测量和评估图像障碍——头颈评分量表与头颈癌幸存者中具有临床意义的身体形象相关困扰的关联

Association of Inventory to Measure and Assess imaGe Disturbance - Head and Neck Scores With Clinically Meaningful Body Image-Related Distress Among Head and Neck Cancer Survivors.

作者信息

Macias David, Hand Brittany N, Pipkorn Patrik, Williams Amy M, Chang Steven S, Zenga Joseph, Nilsen Marci L, Rhoten Bethany A, Huang Andrew T, Osazuwa-Peters Nosayaba, Maurer Stacey, Balliet Wendy, Li Hong, Ruggiero Kenneth J, Sterba Katherine R, Graboyes Evan M

机构信息

Department of Otolaryngology, Head, and Neck Surgery, Medical University of South Carolina, Charleston, SC, United States.

School of Health and Rehabilitation Sciences, The Ohio State University, Columbus, OH, United States.

出版信息

Front Psychol. 2021 Dec 10;12:794038. doi: 10.3389/fpsyg.2021.794038. eCollection 2021.

Abstract

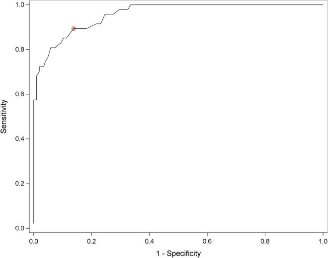
The Inventory to Measure and Assess imaGe disturbance - Head and Neck (IMAGE-HN) is a validated patient-reported outcome measure of head and neck cancer-related body image-related distress (BID). However, the IMAGE-HN score corresponding to clinically relevant BID is unknown. The study objective is to determine the IMAGE-HN cutoff score that identifies head and neck cancer patients with clinically relevant BID. We conducted a cross-sectional study at six academic medical centers. Individuals ≥18 years old with a history of head and neck cancer treated with definitive intent were included. The primary outcome measure was the IMAGE-HN. A Receiver Operating Characteristic curve analysis was performed to identify the IMAGE-HN score that maximized sensitivity and specificity relative to a Body Image Scale score of ≥10 (which indicates clinically relevant BID in a general oncology population). To confirm the validity of the IMAGE-HN cutoff score, we compared the severity of depressive [Patient Health Questionnaire-9 (PHQ-9)] and anxiety symptoms [Generalized Anxiety Disorder-7 (GAD-7)], and quality of life [University of Washington-QOL (UW-QOL)] in patients with IMAGE-HN scores above and below the cutoff. Of the 250 patients, 70.4% were male and the mean age was 62.3 years. An IMAGE-HN score of ≥22 was the optimal cutoff score relative to a Body Image Scale score of ≥10 and represents a clinically relevant level of head and neck cancer-related BID. Relative to those with an IMAGE-HN score of <22, patients with IMAGE-HN scores of ≥22 had a clinically meaningful increase in symptoms of depression (mean PHQ-9 score difference = 5.8) and anxiety (mean GAD-7 score difference = 4.1) as well as worse physical (mean UW-QOL score difference = 18.9) and social-emotional QOL (mean UW-QOL score difference = 21.5). Using an IMAGE-HN cutoff score ≥22, 28% of patients had clinically relevant BID. An IMAGE-HN score of ≥22 identifies patients with clinically relevant head and neck cancer-related BID. This score may be used to detect patients who could benefit from strategies to manage their distress, select patients for studies evaluating interventions to manage head and neck cancer-related BID, and improve our understanding of the underlying epidemiology of the disorder.

摘要

测量与评估图像障碍——头颈版(IMAGE-HN)量表是一种经过验证的、用于衡量头颈癌相关身体意象困扰(BID)的患者报告结局指标。然而,与临床相关的BID对应的IMAGE-HN得分尚不清楚。本研究的目的是确定能够识别出患有临床相关BID的头颈癌患者的IMAGE-HN临界值。我们在六个学术医疗中心开展了一项横断面研究。纳入了年龄≥18岁、有明确治疗意图的头颈癌病史患者。主要结局指标是IMAGE-HN量表。进行了受试者工作特征曲线分析,以确定相对于身体意象量表得分≥10(这表明在一般肿瘤患者群体中存在临床相关的BID)时,能使敏感性和特异性最大化的IMAGE-HN得分。为了证实IMAGE-HN临界值的有效性,我们比较了IMAGE-HN得分高于和低于临界值的患者的抑郁严重程度[患者健康问卷-9(PHQ-9)]、焦虑症状严重程度[广泛性焦虑障碍量表-7(GAD-7)]以及生活质量[华盛顿大学生活质量量表(UW-QOL)]。在250例患者中,70.4%为男性,平均年龄为62.3岁。相对于身体意象量表得分≥10,IMAGE-HN得分≥22是最佳临界值,代表了头颈癌相关BID具有临床意义的水平。与IMAGE-HN得分<22的患者相比,IMAGE-HN得分≥22的患者在抑郁症状(平均PHQ-9得分差异 = 5.8)和焦虑症状(平均GAD-7得分差异 = 4.1)方面有临床意义的增加,并且在身体(平均UW-QOL得分差异 = 18.9)和社会情感生活质量(平均UW-QOL得分差异 = 21.5)方面更差。使用IMAGE-HN临界值≥22时,28%的患者存在临床相关的BID。IMAGE-HN得分≥22可识别出患有临床相关头颈癌相关BID的患者。该得分可用于检测那些可能从缓解困扰的策略中受益的患者,选择患者参与评估管理头颈癌相关BID干预措施的研究,并增进我们对该疾病潜在流行病学的理解。

https://cdn.ncbi.nlm.nih.gov/pmc/blobs/4b7c/8702522/3d14f00965bb/fpsyg-12-794038-g001.jpg

文献AI研究员

20分钟写一篇综述,助力文献阅读效率提升50倍。

立即体验

用中文搜PubMed

大模型驱动的PubMed中文搜索引擎

马上搜索

文档翻译

学术文献翻译模型,支持多种主流文档格式。

立即体验