Institute for Genetic and Biomedical Research, National Research Council, Monserrato, Cagliari, Italy.
Department of Biomedical Sciences, University of Sassari, Sassari, Italy.
Front Immunol. 2021 Dec 9;12:781843. doi: 10.3389/fimmu.2021.781843. eCollection 2021.
Vaccination against COVID-19 is highly recommended to patients affected by multiple sclerosis (MS); however, the impact of MS disease-modifying therapies (DMTs) on the immune response following vaccination has been only partially investigated. Here, we aimed to elucidate the effect of DMTs on the humoral immune response to mRNA-based anti-SARS-CoV-2 vaccines in MS patients.
We obtained sera from 912 Sardinian MS patients and 63 healthy controls 30 days after the second dose of BNT162b2 vaccine and tested them for SARS-CoV-2 response using anti-Spike (S) protein-based serology. Previous SARS-CoV-2 infection was assessed by anti-Nucleocapsid (N) serology. Patients were either untreated or undergoing treatment with a total of 13 different DMTs. Differences between treatment groups comprised of at least 10 patients were assessed by generalized linear mixed-effects model. Demographic and clinical data and smoking status were analyzed as additional factors potentially influencing humoral immunity from COVID-19 vaccine.
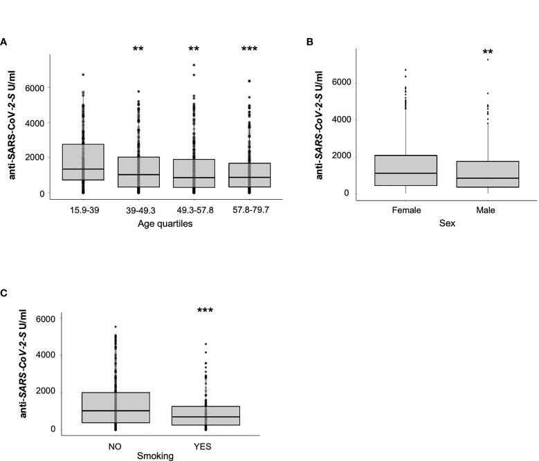
MS patients treated with natalizumab, teriflunomide, azathioprine, fingolimod, ocrelizumab, and rituximab showed significantly lower humoral responses compared to untreated patients. We did not observe a statistically significant difference in response between patients treated with the other drugs (dimethyl fumarate, interferon, alemtuzumab and glatiramer acetate) and untreated patients. In addition, older age, male sex and active smoking were significantly associated with lower antibody titers against SARS-CoV-2. MS patients previously infected with SARS-CoV-2 had significantly higher humoral responses to vaccine than uninfected patients.
Humoral response to BNT162b2 is significantly influenced by the specific DMTs followed by patients, as well as by other factors such as previous SARS-CoV-2 infection, age, sex, and smoking status. These results are important to inform targeted strategies to prevent clinically relevant COVID-19 in MS patients.
接种 COVID-19 疫苗强烈推荐给多发性硬化症(MS)患者;然而,MS 疾病修正疗法(DMTs)对疫苗接种后免疫反应的影响仅部分被研究。在这里,我们旨在阐明 DMTs 对 MS 患者基于 mRNA 的抗 SARS-CoV-2 疫苗的体液免疫反应的影响。
我们在 BNT162b2 疫苗接种后第 30 天从 912 名撒丁岛 MS 患者和 63 名健康对照者中获得血清,并使用基于 Spike(S)蛋白的血清学检测 SARS-CoV-2 反应。使用抗核衣壳(N)血清学评估先前的 SARS-CoV-2 感染。患者要么未治疗,要么接受总共 13 种不同的 DMT 治疗。通过广义线性混合效应模型评估至少包含 10 名患者的治疗组之间的差异。将人口统计学和临床数据以及吸烟状况分析为可能影响 COVID-19 疫苗体液免疫的附加因素。
与未治疗患者相比,接受那他珠单抗、特立氟胺、阿扎胞苷、芬戈莫德、奥瑞珠单抗和利妥昔单抗治疗的 MS 患者表现出明显较低的体液反应。我们没有观察到治疗组之间与未治疗患者之间在反应方面存在统计学上的显著差异(二甲基富马酸、干扰素、阿仑单抗和聚乙二醇化干扰素)。此外,年龄较大、男性和主动吸烟与针对 SARS-CoV-2 的抗体滴度降低显著相关。以前感染过 SARS-CoV-2 的 MS 患者对疫苗的体液反应明显高于未感染患者。
BNT162b2 的体液反应受到患者所遵循的特定 DMTs 以及其他因素(如先前的 SARS-CoV-2 感染、年龄、性别和吸烟状况)的显著影响。这些结果对于制定有针对性的策略来预防 MS 患者中具有临床意义的 COVID-19 非常重要。