Suppr超能文献

根瘤菌共生和盐分对海岸沙丘物种生长及沙埋生理响应的影响

Modification of Growth and Physiological Response of Coastal Dune Species to Sand Burial by Rhizobial Symbiosis and Salinity.

作者信息

Gaile Laura, Andersone-Ozola Una, Samsone Ineta, Elferts Didzis, Ievinsh Gederts

机构信息

Department of Plant Physiology, Faculty of Biology, University of Latvia, 1 Jelgavas Str., LV-1004 Riga, Latvia.

Department of Botany and Ecology, Faculty of Biology, University of Latvia, 1 Jelgavas Str., LV-1004 Riga, Latvia.

出版信息

Plants (Basel). 2021 Nov 25;10(12):2584. doi: 10.3390/plants10122584.

Abstract

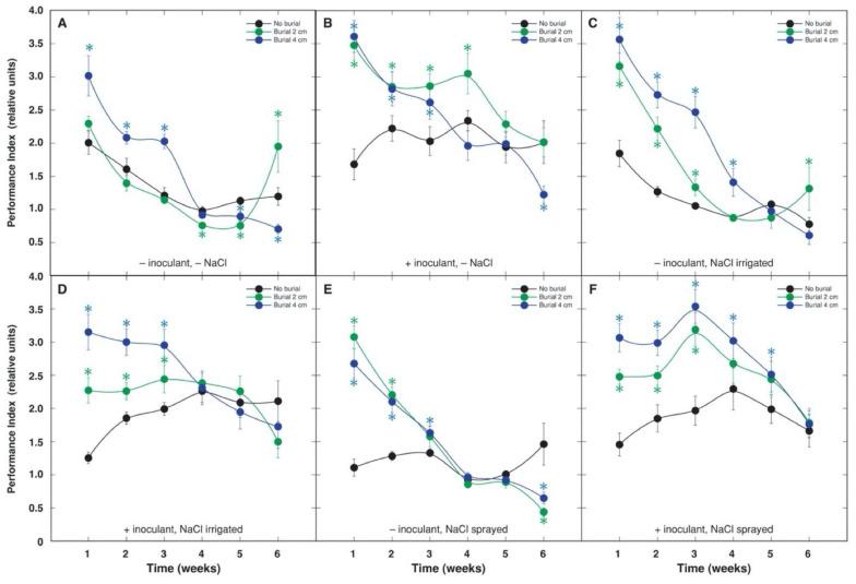
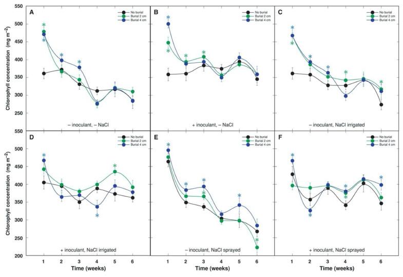
The aim of the present study was to establish an experimental system in controlled conditions to study the physiological effect of abiotic/biotic interaction using a rare wild leguminous plant species from coastal sand dunes, . The particular hypothesis tested was that there is an interaction between sand burial, rhizobial symbiosis and salt treatment at the level of physiological responses. Experiment in controlled conditions included 18 treatment combinations of experimental factors, with two intensities of sand burial, rhizobial inoculation and two types of NaCl treatment (soil irrigation and foliar spray). Shoot biomass was significantly affected both by burial and by inoculation, and by interaction between burial and NaCl in the case of shoot dry mass. For plants sprayed with NaCl, burial had a strong significant positive effect on shoot growth irrespective of inoculation. General effect of inoculation with rhizobia on shoot growth of plants without NaCl treatment was negative except for the plants buried 2 cm with sand, where significant stimulation of shoot dry mass by inoculant was found. The positive effect of burial on shoot growth was mainly associated with an increase in leaf petiole height and number of leaves. Performance index significantly increased in buried plants in all treatment combinations, and leaf chlorophyll concentration increased in buried plants independently on burial depth, and only in plants not treated with NaCl. Inoculation led to significant increase of leaf peroxidase activity in all treatment combinations except NaCl-irrigated plants buried for 2 cm by sand. Sand burial stimulated peroxidase activity, mostly in non-inoculated plants, as inoculation itself led to increased enzyme activity. In conclusion, strong interaction between sand burial and NaCl treatment was evident, as the latter significantly affected the effect of burial on growth and physiological indices. Moreover, rhizobial symbiosis had a significant effect on physiological processes through interaction with both sand burial and NaCl treatment, but the effect was rather controversial; it was positive for photosynthesis-related parameters but negative for growth and tissue integrity indices.

摘要

本研究的目的是建立一个可控条件下的实验系统,以利用一种来自沿海沙丘的珍稀野生豆科植物来研究非生物/生物相互作用的生理效应。所检验的特定假设是,在生理反应水平上,沙埋、根瘤菌共生和盐分处理之间存在相互作用。可控条件下的实验包括18种实验因素的处理组合,有两种沙埋强度、根瘤菌接种以及两种NaCl处理类型(土壤灌溉和叶面喷施)。地上部生物量受到沙埋、接种以及沙埋与NaCl之间相互作用(就地上部干质量而言)的显著影响。对于喷施NaCl的植株,无论接种与否,沙埋对地上部生长均有强烈的显著正向影响。在未进行NaCl处理的植株中,除了沙埋2厘米的植株接种菌剂对地上部干质量有显著促进作用外,根瘤菌接种对地上部生长的总体影响为负。沙埋对地上部生长的正向影响主要与叶柄高度增加和叶片数量增多有关。在所有处理组合中,被埋植株的表现指数显著增加,被埋植株的叶片叶绿素浓度增加,且与埋深无关,仅在未进行NaCl处理的植株中如此。接种导致除了被沙埋2厘米的NaCl灌溉植株外,所有处理组合的叶片过氧化物酶活性显著增加。沙埋刺激过氧化物酶活性,主要是在未接种的植株中,因为接种本身会导致酶活性增加。总之,沙埋与NaCl处理之间的强烈相互作用是明显的,因为后者显著影响了沙埋对生长和生理指标的作用。此外,根瘤菌共生通过与沙埋和NaCl处理两者的相互作用对生理过程有显著影响,但这种影响颇具争议;它对光合作用相关参数是正向的,但对生长和组织完整性指标是负向的。

https://cdn.ncbi.nlm.nih.gov/pmc/blobs/790e/8704325/6f42c2837f6b/plants-10-02584-g001.jpg

文献AI研究员

20分钟写一篇综述,助力文献阅读效率提升50倍。

立即体验

用中文搜PubMed

大模型驱动的PubMed中文搜索引擎

马上搜索

文档翻译

学术文献翻译模型,支持多种主流文档格式。

立即体验