Suppr超能文献

采用三种不同的初级脂肪酸酰胺底物在体外评估 NSAIDs 作为潜在的脂肪酸酰胺水解酶 I(FAAH-1)抑制剂。

Assessment of NSAIDs as potential inhibitors of the fatty acid amide hydrolase I (FAAH-1) using three different primary fatty acid amide substrates in vitro.

机构信息

Department of Biochemistry and Molecular Medicine, School of Medicine, University for Development Studies, Tamale-Campus, Tamale, Ghana.

School of Life Sciences, University of Nottingham Medical School, NG7 2UH, Nottinghamshire, UK.

出版信息

BMC Pharmacol Toxicol. 2022 Jan 4;23(1):1. doi: 10.1186/s40360-021-00539-1.

Abstract

BACKGROUND

Pain relief remains a major subject of inadequately met need of patients. Therapeutic agents designed to treat pain and inflammation so far have low to moderate efficiencies with significant untoward side effects. FAAH-1 has been proposed as a promising target for the discovery of drugs to treat pain and inflammation without significant adverse effects. FAAH-1 is the primary enzyme accountable for the degradation of AEA and related fatty acid amides. Studies have revealed that the simultaneous inhibition of COX and FAAH-1 activities produce greater pharmacological efficiency with significantly lowered toxicity and ulcerogenic activity. Recently, the metabolism of endocannabinoids by COX-2 was suggested to be differentially regulated by NSAIDs.

METHODS

We analysed the affinity of oleamide, arachidonamide and stearoylamide at the FAAH-1 in vitro and investigated the potency of selected NSAIDs on the hydrolysis of endocannabinoid-like molecules (oleamide, arachidonamide and stearoylamide) by FAAH-1 from rat liver. NSAIDs were initially screened at 500 μM after which those that exhibited greater potency were further analysed over a range of inhibitor concentrations.

RESULTS

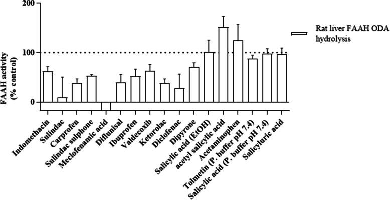
The substrate affinity of FAAH-1 obtained, increased in a rank order of oleamide < arachidonamide < stearoylamide with resultant V values in a rank order of arachidonamide > oleamide > stearoylamide. The selected NSAIDs caused a concentration-dependent inhibition of FAAH-1 activity with sulindac, carprofen and meclofenamate exhibiting the greatest potency. Michaelis-Menten analysis suggested the mode of inhibition of FAAH-1 hydrolysis of both oleamide and arachidonamide by meclofenamate and indomethacin to be non-competitive in nature.

CONCLUSION

Our data therefore suggest potential for study of these compounds as combined FAAH-1-COX inhibitors.

摘要

背景

缓解疼痛仍然是患者未满足需求的主要问题。迄今为止,旨在治疗疼痛和炎症的治疗剂效率低至中等,且具有显著的不良副作用。FAAH-1 已被提议作为发现治疗疼痛和炎症而无显著不良反应的药物的有前途的靶标。FAAH-1 是降解 AEA 和相关脂肪酸酰胺的主要酶。研究表明,同时抑制 COX 和 FAAH-1 的活性可产生更大的药理效率,同时显著降低毒性和溃疡形成活性。最近,有人提出 COX-2 对内源性大麻素的代谢可能通过 NSAIDs 进行差异调节。

方法

我们分析了油酸酰胺、花生四烯酰胺和硬脂酰胺在 FAAH-1 体外的亲和力,并研究了选定的 NSAIDs 对大鼠肝脏 FAAH-1 水解内源性大麻素样分子(油酸酰胺、花生四烯酰胺和硬脂酰胺)的效力。首先在 500μM 下筛选 NSAIDs,然后对那些表现出更大效力的 NSAIDs 在抑制剂浓度范围内进行进一步分析。

结果

获得的 FAAH-1 底物亲和力按油酸酰胺<花生四烯酰胺<硬脂酰胺的顺序增加,相应的 V 值按花生四烯酰胺>油酸酰胺>硬脂酰胺的顺序增加。所选的 NSAIDs 导致 FAAH-1 活性的浓度依赖性抑制,其中舒林酸、卡洛芬和甲氯芬那酸表现出最大的效力。米氏分析表明,甲氯芬那酸和吲哚美辛对 FAAH-1 水解油酸酰胺和花生四烯酰胺的抑制模式本质上是非竞争性的。

结论

因此,我们的数据表明,这些化合物作为 FAAH-1-COX 双重抑制剂具有研究潜力。

https://cdn.ncbi.nlm.nih.gov/pmc/blobs/ee3f/8725537/6841661ebf8c/40360_2021_539_Fig1_HTML.jpg

文献AI研究员

20分钟写一篇综述,助力文献阅读效率提升50倍。

立即体验

用中文搜PubMed

大模型驱动的PubMed中文搜索引擎

马上搜索

文档翻译

学术文献翻译模型,支持多种主流文档格式。

立即体验