Suppr超能文献

LABA/LAMA 固定剂量复方制剂治疗稳定期 COPD 的疗效和安全性的定量分析。

Quantitative analysis of efficacy and safety of LABA/LAMA fixed-dose combinations in the treatment of stable COPD.

机构信息

Center for Drug Clinical Evaluation, Shanghai University of Traditional Chinese Medicine, Shanghai, China.

Center for Drug Clinical Evaluation, Shanghai University of Traditional Chinese Medicine, No. 1200 Cailun Road, Shanghai 201203, China.

出版信息

Ther Adv Respir Dis. 2022 Jan-Dec;16:17534666211066068. doi: 10.1177/17534666211066068.

Abstract

OBJECTIVE

This study aimed to quantitatively compare the efficacy and safety of long-acting β2-agonist (LABA)/long-acting muscarinic antagonist (LAMA) fixed-dose combinations (FDCs) for the treatment of stable chronic obstructive pulmonary disease (COPD), especially in terms of their loss of efficacy in lung function.

METHODS

Randomized controlled clinical trials of LABA/LAMA FDCs for the treatment of stable COPD were comprehensively searched for in public databases. Pharmacodynamic models were established to describe the time course of the primary outcome [trough forced expiratory volume in the first second (FEV)]. Secondary outcomes [COPD exacerbations, St. George's Respiratory Questionnaire (SGRQ), Transition Dyspnoea Index (TDI), and rescue medication use] and safety outcomes [mortality, serious adverse events (SAEs), and withdrawals due to adverse events (AEs)] were also compared a meta-analysis.

RESULTS

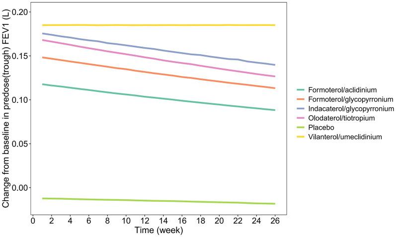
A total of 22 studies involving 16,486 participants were included in this study. The results showed that in terms of primary outcome (change from baseline in trough FEV), the efficacy of vilanterol/umeclidinium was the highest, while the efficacy of formoterol/aclidinium was the lowest, with a maximum effect value (E) of 0.185 L [95% confidence interval (CI): 0.173-0.197 L] and 0.119 L (95% CI: 0.103-0.135 L), respectively. The efficacy of other drugs, such as formoterol/glycopyrronium, indacaterol/glycopyrronium, and olodaterol/tiotropium, were comparable, and their E values were 0.150-0.177 L. Except for vilanterol/umeclidinium, the other four LABA/LAMA FDCs showed a certain degree of loss of efficacy. Compared with the efficacy at 2 days, the trough FEV (L) relative to baseline at 24 weeks decreased by 0.029-0.041 L. In terms of secondary outcomes, the efficacy of different LABA/LAMA FDCs was similar in TDI and rescue medication use. However, formoterol/aclidinium was better in preventing the COPD exacerbations, while vilanterol/umeclidinium was the best in terms of SGRQ. In addition, different LABA/LAMA FDCs and placebo had similar safety outcomes.

CONCLUSION

The present findings may provide necessary quantitative information for COPD medication guidelines.

摘要

目的

本研究旨在定量比较长效β2 受体激动剂(LABA)/长效抗胆碱能药物(LAMA)固定剂量复方制剂(FDC)治疗稳定期慢性阻塞性肺疾病(COPD)的疗效和安全性,特别是在肺功能丧失方面。

方法

全面检索公开发表的数据库中关于 LABA/LAMA FDC 治疗稳定期 COPD 的随机对照临床试验。建立药效学模型以描述主要结局[呼气第一秒用力呼气容积(FEV)]的时间过程。还比较了次要结局[COPD 加重、圣乔治呼吸问卷(SGRQ)、呼吸困难过渡指数(TDI)和急救药物使用]和安全性结局[死亡率、严重不良事件(SAE)和因不良事件(AE)而停药]。

结果

本研究共纳入 22 项研究,涉及 16486 名参与者。结果显示,在主要结局(FEV 谷值从基线的变化)方面,维兰特罗/乌美溴铵的疗效最高,福莫特罗/阿地溴铵的疗效最低,最大效应值(E)分别为 0.185L[95%可信区间(CI):0.173-0.197L]和 0.119L(95%CI:0.103-0.135L)。其他药物,如福莫特罗/格隆溴铵、茚达特罗/格隆溴铵和奥洛达特罗/噻托溴铵的疗效相当,E 值为 0.150-0.177L。除维兰特罗/乌美溴铵外,其他四种 LABA/LAMA FDC 均表现出一定程度的疗效丧失。与第 2 天的疗效相比,24 周时的 FEV 谷值(L)相对于基线下降了 0.029-0.041L。在次要结局方面,不同 LABA/LAMA FDC 的疗效在 TDI 和急救药物使用方面相似。然而,福莫特罗/阿地溴铵在预防 COPD 加重方面效果更好,而维兰特罗/乌美溴铵在 SGRQ 方面效果最佳。此外,不同的 LABA/LAMA FDC 和安慰剂具有相似的安全性结局。

结论

本研究结果可能为 COPD 药物治疗指南提供必要的定量信息。

https://cdn.ncbi.nlm.nih.gov/pmc/blobs/8f0c/8743917/84410be74e4f/10.1177_17534666211066068-fig1.jpg

文献AI研究员

20分钟写一篇综述,助力文献阅读效率提升50倍。

立即体验

用中文搜PubMed

大模型驱动的PubMed中文搜索引擎

马上搜索

文档翻译

学术文献翻译模型,支持多种主流文档格式。

立即体验