Pawlik Natalia, Szpikowska-Sroka Barbara, Goryczka Tomasz, Pietrasik Ewa, Pisarski Wojciech A
Institute of Chemistry, University of Silesia, 40-007 Katowice, Poland.
Institute of Materials Engineering, University of Silesia, 41-500 Chorzow, Poland.
Nanomaterials (Basel). 2022 Jan 14;12(2):259. doi: 10.3390/nano12020259.
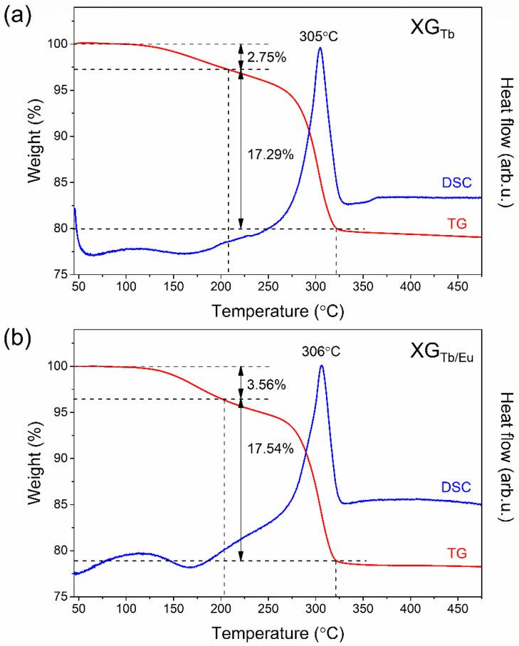
The synthesis and characterization of multicolor light-emitting nanomaterials based on rare earths (RE) are of great importance due to their possible use in optoelectronic devices, such as LEDs or displays. In the present work, oxyfluoride glass-ceramics containing BaF nanocrystals co-doped with Tb, Eu ions were fabricated from amorphous xerogels at 350 °C. The analysis of the thermal behavior of fabricated xerogels was performed using TG/DSC measurements (thermogravimetry (TG), differential scanning calorimetry (DSC)). The crystallization of BaF phase at the nanoscale was confirmed by X-ray diffraction (XRD) measurements and transmission electron microscopy (TEM), and the changes in silicate sol-gel host were determined by attenuated total reflectance infrared (ATR-IR) spectroscopy. The luminescent characterization of prepared sol-gel materials was carried out by excitation and emission spectra along with decay analysis from the D level of Tb. As a result, the visible light according to the electronic transitions of Tb (D → F (J = 6-3)) and Eu (D → F (J = 0-4)) was recorded. It was also observed that co-doping with Eu caused the shortening in decay times of the D state from 1.11 ms to 0.88 ms (for xerogels) and from 6.56 ms to 4.06 ms (for glass-ceramics). Thus, based on lifetime values, the Tb/Eu energy transfer (ET) efficiencies were estimated to be almost 21% for xerogels and 38% for nano-glass-ceramics. Therefore, such materials could be successfully predisposed for laser technologies, spectral converters, and three-dimensional displays.
基于稀土(RE)的多色发光纳米材料的合成与表征具有重要意义,因为它们可能用于光电器件,如发光二极管(LED)或显示器。在本工作中,含有共掺杂Tb、Eu离子的BaF纳米晶体的氧氟化物玻璃陶瓷是在350℃下由无定形干凝胶制备而成。使用热重/差示扫描量热法(TG/DSC)测量(热重分析(TG)、差示扫描量热法(DSC))对制备的干凝胶的热行为进行了分析。通过X射线衍射(XRD)测量和透射电子显微镜(TEM)确认了纳米级BaF相的结晶,并通过衰减全反射红外(ATR-IR)光谱确定了硅酸盐溶胶-凝胶主体的变化。通过激发光谱和发射光谱以及Tb的D能级的衰减分析对制备的溶胶-凝胶材料进行了发光表征。结果,记录到了根据Tb(D→F(J = 6 - 3))和Eu(D→F(J = 0 - 4))的电子跃迁产生的可见光。还观察到,与Eu共掺杂导致D态的衰减时间缩短,从1.11毫秒缩短到0.88毫秒(对于干凝胶),从6.56毫秒缩短到4.06毫秒(对于玻璃陶瓷)。因此,基于寿命值,估计干凝胶的Tb/Eu能量转移(ET)效率约为21%,纳米玻璃陶瓷的ET效率为38%。因此,此类材料可成功应用于激光技术、光谱转换器和三维显示器。