Suppr超能文献

辣椒果实伸长受……控制。

Pepper Fruit Elongation Is Controlled by .

作者信息

Borovsky Yelena, Raz Amit, Doron-Faigenboim Adi, Zemach Hanita, Karavani Eldad, Paran Ilan

机构信息

Institute of Plant Science, Agricultural Research Organization, The Volcani Center, Rishon LeZion, Israel.

出版信息

Front Plant Sci. 2022 Jan 4;12:815589. doi: 10.3389/fpls.2021.815589. eCollection 2021.

Abstract

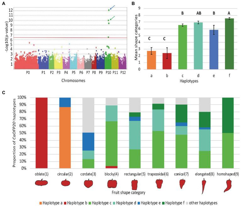
Fruit shape is one of the most important quality traits of pepper ( spp.) and is used as a major attribute for the classification of fruit types. Wide natural variation in fruit shape exists among the major cultivated species , allowing the identification of several QTLs controlling the trait. However, to date, no genes underlying fruit shape QTLs have been conclusively identified, nor has their function been verified in pepper. We constructed a mapping population from a cross of round- and elongated-fruited parents and identified a single major QTL on chromosome 10, termed , explaining 68 and 70% of the phenotypic variation for fruit shape index and for distal fruit end angle, respectively. The QTL was mapped in several generations and was localized to a 5 Mbp region containing the ortholog of that suppresses fruit elongation in tomato. Virus-induced gene silencing of the pepper ortholog resulted in increased fruit elongation on two independent backgrounds. Furthermore, exhibited differential expression in near-isogenic lines, as well as in an association panel of elongated- and round-fruited accessions. A 42-bp deletion in the upstream region of was most strongly associated with fruit shape variation within the locus. Histological observations in ovaries and fruit pericarps indicated that exerts its effect on fruit elongation by controlling cell expansion and replication. Our results indicate that functions as a suppressor of fruit elongation in and is the most likely candidate gene underlying .

摘要

果实形状是辣椒( spp.)最重要的品质性状之一,也是果实类型分类的主要依据。主要栽培品种的果实形状存在广泛的自然变异,这使得人们能够鉴定出几个控制该性状的QTL。然而,迄今为止,尚未最终鉴定出果实形状QTL的潜在基因,其功能也未在辣椒中得到验证。我们通过圆形果实和长形果实亲本杂交构建了一个作图群体,并在10号染色体上鉴定出一个单一的主效QTL,命名为 ,分别解释了果实形状指数和果实远端角度表型变异的68%和70%。该QTL在多个世代中进行了定位,并定位到一个5 Mbp的区域,该区域包含番茄中抑制果实伸长的 的直系同源基因。在两个独立的背景下,通过病毒诱导的辣椒直系同源基因 沉默导致果实伸长增加。此外, 在近等基因系以及长形果实和圆形果实材料的关联群体中表现出差异表达。 在该位点上游区域的一个42 bp缺失与果实形状变异最密切相关。子房和果实果皮的组织学观察表明, 通过控制细胞扩张和复制对果实伸长发挥作用。我们的结果表明, 在 中作为果实伸长的抑制因子发挥作用,并且是 潜在的最有可能的候选基因。

https://cdn.ncbi.nlm.nih.gov/pmc/blobs/5ca8/8763684/7586836f40e6/fpls-12-815589-g001.jpg

文献AI研究员

20分钟写一篇综述,助力文献阅读效率提升50倍。

立即体验

用中文搜PubMed

大模型驱动的PubMed中文搜索引擎

马上搜索

文档翻译

学术文献翻译模型,支持多种主流文档格式。

立即体验