Suppr超能文献

基于统计分类器的无人机照片材料在光伏电池板纯度分类中的应用。

The Use of Drone Photo Material to Classify the Purity of Photovoltaic Panels Based on Statistical Classifiers.

机构信息

The Institute of Telecommunications, Faculty of Electronics and Information Technology, Warsaw University of Technology, Nowowiejska 15/19, 00-665 Warsaw, Poland.

出版信息

Sensors (Basel). 2022 Jan 9;22(2):483. doi: 10.3390/s22020483.

Abstract

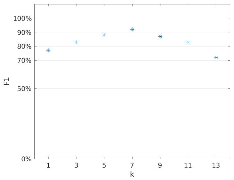
The subject of this work is the analysis of methods of detecting soiling of photovoltaic panels. Environmental and weather conditions affect the efficiency of renewable energy sources. Accumulation of soil, dust, and dirt on the surface of the solar panels reduces the power generated by the panels. This paper presents several variants of the algorithm that uses various statistical classifiers to classify photovoltaic panels in terms of soiling. The base material was high-resolution photos and videos of solar panels and sets dedicated to solar farms. The classifiers were tested and analyzed in their effectiveness in detecting soiling. Based on the study results, a group of optimal classifiers was defined, and the classifier selected that gives the best results for a given problem. The results obtained in this study proved experimentally that the proposed solution provides a high rate of correct detections. The proposed innovative method is cheap and straightforward to implement, and allows use in most photovoltaic installations.

摘要

这项工作的主题是分析检测光伏板污染的方法。环境和天气条件会影响可再生能源的效率。太阳能电池板表面的土壤、灰尘和污垢的积累会降低电池板产生的电量。本文提出了几种算法变体,这些算法使用各种统计分类器根据污染程度对光伏板进行分类。基础材料是太阳能电池板的高分辨率照片和视频,以及专门用于太阳能发电场的数据集。对分类器进行了测试和分析,以评估其在检测污染方面的有效性。根据研究结果,定义了一组最优的分类器,并选择了在给定问题下能给出最佳结果的分类器。本研究的结果通过实验证明,所提出的解决方案能够实现高准确率的检测。所提出的创新方法简单廉价,易于实施,可用于大多数光伏设备。

https://cdn.ncbi.nlm.nih.gov/pmc/blobs/0f19/8777587/76d64fb0ebbb/sensors-22-00483-g001.jpg

文献AI研究员

20分钟写一篇综述,助力文献阅读效率提升50倍。

立即体验

用中文搜PubMed

大模型驱动的PubMed中文搜索引擎

马上搜索

文档翻译

学术文献翻译模型,支持多种主流文档格式。

立即体验