Department of Urology, Renmin Hospital of Wuhan University, Wuhan, 430060 Hubei, China.
Department of Urology, The Fifth Hospital of Wuhan, Wuhan, 430050 Hubei, China.
Oxid Med Cell Longev. 2022 Jan 28;2022:7444430. doi: 10.1155/2022/7444430. eCollection 2022.
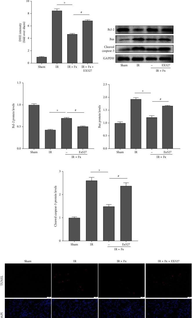
Oxidative stress is a key component of renal ischemia/reperfusion (I/R) injury. Fucoxanthin (Fx), a marine carotenoid with enhanced antioxidant capacity, acts as a ROS inhibitor in diseases such as ischemic stroke and acute lung injury. We hypothesized that fucoxanthin could attenuate renal I/R-induced oxidative damage. C57BL/6 mice ( = 30) were randomly assigned to sham, IR, IR + DMSO, and IR + Fx (25, 50, and 100 mg/kg) groups. The renal I/R injury was induced by clamping the left kidney nephron tip in mice. Fucoxanthin was injected intraperitoneally 24 hours before surgery. Compared with the IR group, pretreatment with fucoxanthin significantly improved renal dysfunction and tissue structural damage and inhibited ROS levels and apoptosis. Consistent results were observed in HK-2 cells. Besides, we found that renal I/R resulted in decreased expression of Sirt1, Nrf2, and HO-1, while fucoxanthin upregulated the expression of Sirt1, Nrf2, and HO-1. The protective effects of fucoxanthin were significantly reversed by EX527 (a selective inhibitor of Sirt1) or si-Sirt1. In conclusion, our study investigated the protective effect of fucoxanthin against renal I/R injury, and the underlying mechanism may be related to the activation of the Sirt1/Nrf2/HO-1 signaling pathway by fucoxanthin to attenuate oxidative stress-induced apoptosis.
氧化应激是肾缺血/再灌注(I/R)损伤的关键组成部分。岩藻黄质(Fx)是一种具有增强抗氧化能力的海洋类胡萝卜素,在缺血性中风和急性肺损伤等疾病中作为 ROS 抑制剂发挥作用。我们假设岩藻黄质可以减轻肾 I/R 引起的氧化损伤。将 C57BL/6 小鼠(n = 30)随机分为假手术组、I/R 组、I/R+DMSO 组和 I/R+岩藻黄质(25、50 和 100mg/kg)组。通过夹闭小鼠左肾肾单位顶端来诱导肾 I/R 损伤。岩藻黄质在手术前 24 小时腹腔内注射。与 I/R 组相比,岩藻黄质预处理显著改善了肾功能和组织结构损伤,并抑制了 ROS 水平和细胞凋亡。在 HK-2 细胞中观察到了一致的结果。此外,我们发现肾 I/R 导致 Sirt1、Nrf2 和 HO-1 的表达减少,而岩藻黄质上调了 Sirt1、Nrf2 和 HO-1 的表达。Sirt1 的选择性抑制剂 EX527(EX527)或 si-Sirt1 显著逆转了岩藻黄质的保护作用。总之,本研究探讨了岩藻黄质对肾 I/R 损伤的保护作用,其潜在机制可能与岩藻黄质通过激活 Sirt1/Nrf2/HO-1 信号通路减轻氧化应激诱导的细胞凋亡有关。