Suppr超能文献

自噬相关基因在急性髓系白血病完全缓解期的表达降低。

Decreased expression of autophagy-related genes in the complete remission phase of acute myeloid leukemia.

机构信息

Diagnostic Laboratory Sciences and Technology Research Center, School of Paramedical Sciences, Shiraz University of Medical Sciences, Shiraz, Iran.

Hematology and Oncology Department, School of Medicine, Shiraz University of Medical Sciences, Shiraz, Iran.

出版信息

Mol Genet Genomic Med. 2022 Mar;10(3):e1872. doi: 10.1002/mgg3.1872. Epub 2022 Feb 6.

Abstract

BACKGROUND

Autophagy is a conserved recycling process in cells. However, the effects of autophagy on the remission and treatment response of acute myeloid leukemia (AML) patients have not been clarified.

METHODS

The expression of MAP1LC3B, ATG5, ATG10, RB1CC1, and AMBRA1 genes was assessed in 32 newly diagnosed AML patients, 18 complete remission (CR) patients, and seven relapsed patients, as well as 15 controls, by real-time polymerase chain reaction (PCR).

RESULTS

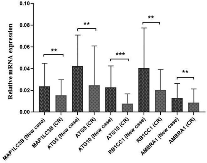
The expression of all five genes was significantly higher in the newly diagnosed AML patients as compared to the controls (p < 0.0001). The MAP1LC3B, ATG5, ATG10, RB1CC1, and AMBRA1 gene expression significantly reduced in CR patients compared to newly diagnosed AML patients (p = 0.006, 0.003, 0.0002, 0.006, and 0.004, respectively). The AMBRA1 gene expression was significantly higher in the relapsed cases as compared to both newly diagnosed (p = 0.01) and CR patients (p = 0.03). Moreover, a significant positive correlation was observed between the expression of MAP1LC3B (r = 0.739, p = 0.000001), ATG5 (r = 0.682, p = 0.00001), and ATG10 (r = 0.586, p = 0.0004) genes and white blood cell (WBC) count in patients at diagnosis.

CONCLUSION

The expression of MAP1LC3B, ATG5, ATG10, RB1CC1, and AMBRA1 genes can be examined to follow-up the remission of AML and the patient's response to treatment.

摘要

背景

自噬是细胞内一种保守的回收过程。然而,自噬对急性髓系白血病(AML)患者缓解和治疗反应的影响尚未阐明。

方法

通过实时聚合酶链反应(PCR)检测 32 例新诊断的 AML 患者、18 例完全缓解(CR)患者和 7 例复发患者以及 15 例对照者中 MAP1LC3B、ATG5、ATG10、RB1CC1 和 AMBRA1 基因的表达。

结果

与对照组相比,新诊断的 AML 患者所有 5 个基因的表达均显著升高(p<0.0001)。与新诊断的 AML 患者相比,CR 患者 MAP1LC3B、ATG5、ATG10、RB1CC1 和 AMBRA1 基因的表达显著降低(p=0.006、0.003、0.0002、0.006 和 0.004)。与新诊断病例(p=0.01)和 CR 患者(p=0.03)相比,复发患者的 AMBRA1 基因表达明显更高。此外,在诊断时患者中 MAP1LC3B(r=0.739,p=0.000001)、ATG5(r=0.682,p=0.00001)和 ATG10(r=0.586,p=0.0004)基因的表达与白细胞计数呈显著正相关。

结论

可以检测 MAP1LC3B、ATG5、ATG10、RB1CC1 和 AMBRA1 基因的表达,以随访 AML 的缓解情况和患者对治疗的反应。

https://cdn.ncbi.nlm.nih.gov/pmc/blobs/c157/8922948/766710149c9f/MGG3-10-e1872-g002.jpg

文献AI研究员

20分钟写一篇综述,助力文献阅读效率提升50倍。

立即体验

用中文搜PubMed

大模型驱动的PubMed中文搜索引擎

马上搜索

文档翻译

学术文献翻译模型,支持多种主流文档格式。

立即体验