Suppr超能文献

富油废填料对聚乳酸基复合材料摩擦学性能的影响评估

Evaluation of the Oil-Rich Waste Fillers' Influence on the Tribological Properties of Polylactide-Based Composites.

作者信息

Mysiukiewicz Olga, Sulej-Chojnacka Joanna, Kotkowiak Mateusz, Wiśniewski Tomasz, Piasecki Adam, Barczewski Mateusz

机构信息

Institute of Materials Technology, Faculty of Mechanical Engineering, Poznan University of Technology, Piotrowo 3, 61-139 Poznan, Poland.

Łukasiewicz Research Network-Metal Forming Institute, Jana Pawla II 14, 61-139 Poznan, Poland.

出版信息

Materials (Basel). 2022 Feb 7;15(3):1237. doi: 10.3390/ma15031237.

Abstract

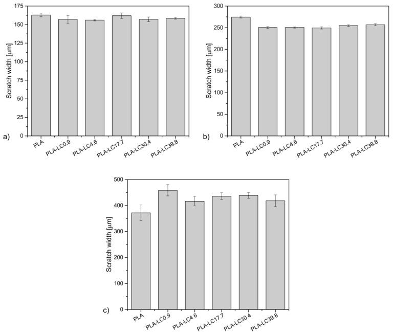
In recent years, natural-based polymeric composites have gained the attention of researchers and the industry due to their low environmental impact and good applicational properties. A promising example of these materials is polylactide-based composites filled with linseed cake. Even though they can be characterized by reduced brittleness and enhanced crystallization rate, their applicational potential cannot be fully evaluated without knowing their tribological properties. This paper is aimed to analyze the influence of the oil contained by the filler on the mechanical and frictional properties of polylactide-based composites. Specimens of unfilled polylactide and its composites containing 10 wt % of linseed cake with different oil content were prepared by injection molding. Their microhardness was measured by the Vickers method. The softening temperature was determined by the Vicat method. The scratch resistance of the samples was tested with the loading of 10, 20 and 40 N. The coefficient of friction was evaluated by the pin-on-plate method, using CoCrMo alloy as the counter surface. It was found that the oil content in the filler does not directly influence the mechanical and tribological properties, but the composite samples present comparable hardness and lower coefficient of friction than the unfilled polymer, so they can be a good eco-friendly alternative to the unfilled polylactide when the frictional properties are an important factor.

摘要

近年来,基于天然的聚合物复合材料因其对环境影响小且具有良好的应用性能而受到研究人员和工业界的关注。这些材料的一个有前景的例子是填充亚麻籽饼的聚乳酸基复合材料。尽管它们具有脆性降低和结晶速率提高的特点,但如果不知道其摩擦学性能,就无法充分评估其应用潜力。本文旨在分析填料中所含的油对聚乳酸基复合材料的力学和摩擦性能的影响。通过注塑成型制备了未填充聚乳酸及其含有10 wt%不同含油量亚麻籽饼的复合材料的试样。用维氏法测量其显微硬度。用维卡法测定软化温度。在10、20和40 N的载荷下测试样品的耐刮性。以CoCrMo合金为对偶表面,采用销盘法评估摩擦系数。结果发现,填料中的含油量不会直接影响力学和摩擦学性能,但复合材料样品的硬度与未填充聚合物相当,摩擦系数更低,因此当摩擦性能是一个重要因素时,它们可以作为未填充聚乳酸的一种良好的环保替代品。

https://cdn.ncbi.nlm.nih.gov/pmc/blobs/30c3/8840766/3dbeeb56a673/materials-15-01237-g001.jpg

文献AI研究员

20分钟写一篇综述,助力文献阅读效率提升50倍。

立即体验

用中文搜PubMed

大模型驱动的PubMed中文搜索引擎

马上搜索

文档翻译

学术文献翻译模型,支持多种主流文档格式。

立即体验