• 文献检索
  • 文档翻译
  • 深度研究
  • 学术资讯
  • Suppr Zotero 插件Zotero 插件
  • 邀请有礼
  • 套餐&价格
  • 历史记录
应用&插件
Suppr Zotero 插件Zotero 插件浏览器插件Mac 客户端Windows 客户端微信小程序
定价
高级版会员购买积分包购买API积分包
服务
文献检索文档翻译深度研究API 文档MCP 服务
关于我们
关于 Suppr公司介绍联系我们用户协议隐私条款
关注我们

Suppr 超能文献

核心技术专利:CN118964589B侵权必究
粤ICP备2023148730 号-1Suppr @ 2026

文献检索

告别复杂PubMed语法,用中文像聊天一样搜索,搜遍4000万医学文献。AI智能推荐,让科研检索更轻松。

立即免费搜索

文件翻译

保留排版,准确专业,支持PDF/Word/PPT等文件格式,支持 12+语言互译。

免费翻译文档

深度研究

AI帮你快速写综述,25分钟生成高质量综述,智能提取关键信息,辅助科研写作。

立即免费体验

可变结构高超声速飞行器传感器故障的自适应滑模故障补偿

Adaptive Sliding Mode Fault Compensation for Sensor Faults of Variable Structure Hypersonic Vehicle.

作者信息

Hu Kai-Yu, Yang Chunxia, Sun Wenjing

机构信息

Aerospace Software Evaluation Center, Beijing Jinghang Institute of Computing and Communication, Beijing 100074, China.

Applied Mathematics Research Center, China Aerospace Science and Industry Corporation, Beijing 100074, China.

出版信息

Sensors (Basel). 2022 Feb 16;22(4):1523. doi: 10.3390/s22041523.

DOI:10.3390/s22041523
PMID:35214423
原文链接:https://pmc.ncbi.nlm.nih.gov/articles/PMC8879545/
Abstract

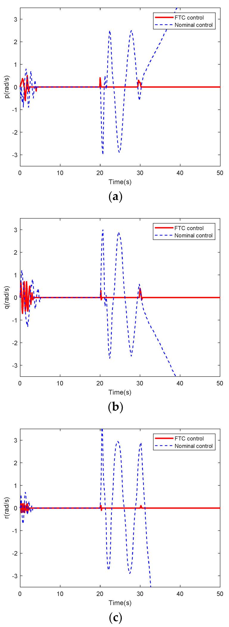
This paper investigates the sensor fault detection and fault-tolerant control (FTC) technology of a variable-structure hypersonic flight vehicle (HFV). First, an HFV nonlinear system considering sensor compound faults, disturbance, and the variable structure parameter is established, which is divided into the attitude angle outer and angular rate inner loops. Then a nonlinear fault integrated detector is proposed to detect the moment of fault occurrence and provide the residual to design the sliding mode equations. Furthermore, the sliding mode method combined with the virtual adaptive controller constitutes the outer loop FTC scheme, and the adaptive dynamic surface combined with the disturbance estimation constitutes the inner loop robust controller; these controllers finally realize the direct compensation of the compound sensor faults under the disturbance condition. This scheme does not require fault isolation and diagnosis observer loops; it only uses a variable structure FTC with a direct estimation algorithm and integrated residual to complete the self-repairing stable flight of variable-structure HFV, which exhibits a high reliability and quick response. Lyapunov theory proved the stability of the system, and numerical simulation proved the effectiveness of the FTC scheme.

摘要

本文研究了可变结构高超声速飞行器(HFV)的传感器故障检测与容错控制(FTC)技术。首先,建立了一个考虑传感器复合故障、干扰和可变结构参数的HFV非线性系统,该系统分为姿态角外环和角速率内环。然后提出了一种非线性故障综合检测器,用于检测故障发生时刻并提供残差以设计滑模方程。此外,滑模方法与虚拟自适应控制器相结合构成外环FTC方案,自适应动态面与干扰估计相结合构成内环鲁棒控制器;这些控制器最终实现了在干扰条件下复合传感器故障的直接补偿。该方案不需要故障隔离和诊断观测器回路;它仅使用具有直接估计算法和综合残差的可变结构FTC来完成可变结构HFV的自修复稳定飞行,具有高可靠性和快速响应性。李雅普诺夫理论证明了系统的稳定性,数值仿真验证了FTC方案的有效性。

https://cdn.ncbi.nlm.nih.gov/pmc/blobs/6c19/8879545/e0be98f54422/sensors-22-01523-g005.jpg
https://cdn.ncbi.nlm.nih.gov/pmc/blobs/6c19/8879545/c769d6f6faf5/sensors-22-01523-g001.jpg
https://cdn.ncbi.nlm.nih.gov/pmc/blobs/6c19/8879545/c6fe99749532/sensors-22-01523-g002.jpg
https://cdn.ncbi.nlm.nih.gov/pmc/blobs/6c19/8879545/37d4eb82e95e/sensors-22-01523-g003.jpg
https://cdn.ncbi.nlm.nih.gov/pmc/blobs/6c19/8879545/248d21841810/sensors-22-01523-g004.jpg
https://cdn.ncbi.nlm.nih.gov/pmc/blobs/6c19/8879545/e0be98f54422/sensors-22-01523-g005.jpg
https://cdn.ncbi.nlm.nih.gov/pmc/blobs/6c19/8879545/c769d6f6faf5/sensors-22-01523-g001.jpg
https://cdn.ncbi.nlm.nih.gov/pmc/blobs/6c19/8879545/c6fe99749532/sensors-22-01523-g002.jpg
https://cdn.ncbi.nlm.nih.gov/pmc/blobs/6c19/8879545/37d4eb82e95e/sensors-22-01523-g003.jpg
https://cdn.ncbi.nlm.nih.gov/pmc/blobs/6c19/8879545/248d21841810/sensors-22-01523-g004.jpg
https://cdn.ncbi.nlm.nih.gov/pmc/blobs/6c19/8879545/e0be98f54422/sensors-22-01523-g005.jpg

相似文献

1
Adaptive Sliding Mode Fault Compensation for Sensor Faults of Variable Structure Hypersonic Vehicle.可变结构高超声速飞行器传感器故障的自适应滑模故障补偿
Sensors (Basel). 2022 Feb 16;22(4):1523. doi: 10.3390/s22041523.
2
Fuzzy adaptive fault diagnosis and compensation for variable structure hypersonic vehicle with multiple faults.具有多故障的变结构高超音速飞行器的模糊自适应故障诊断与补偿。
PLoS One. 2021 Aug 13;16(8):e0256200. doi: 10.1371/journal.pone.0256200. eCollection 2021.
3
Bionic adaptive fault-tolerant control of non-Gaussian stochastic attitude hypersonic vehicle.仿生自适应容错控制的非高斯随机高超声速飞行器。
Sci Rep. 2022 Nov 15;12(1):19624. doi: 10.1038/s41598-022-24138-0.
4
Sliding mode based fault detection, reconstruction and fault tolerant control scheme for motor systems.基于滑模的电机系统故障检测、重构与容错控制方案
ISA Trans. 2015 Jul;57:340-51. doi: 10.1016/j.isatra.2015.02.004. Epub 2015 Mar 5.
5
An observer-based adaptive fault-tolerant control for hypersonic vehicle with unexpected centroid shift and input saturation.基于观测器的高超声速飞行器自适应容错控制,应对意外质心偏移和输入饱和问题。
ISA Trans. 2022 Nov;130:51-62. doi: 10.1016/j.isatra.2022.04.004. Epub 2022 Apr 6.
6
Compound fault-tolerant attitude control for hypersonic vehicle with reaction control systems in reentry phase.再入阶段基于反作用控制系统的高超声速飞行器复合容错姿态控制
ISA Trans. 2019 Jul;90:123-137. doi: 10.1016/j.isatra.2019.01.005. Epub 2019 Feb 4.
7
Adaptive fast sliding mode fault tolerant control integrated with disturbance observer for spacecraft attitude stabilization system.自适应快速滑模故障容错控制与干扰观测器集成的航天器姿态稳定系统。
ISA Trans. 2019 Nov;94:1-9. doi: 10.1016/j.isatra.2019.04.014. Epub 2019 Apr 25.
8
Sensor Fault-Tolerant Control of Microgrid Using Robust Sliding-Mode Observer.基于鲁棒滑模观测器的微电网传感器容错控制
Sensors (Basel). 2022 Mar 25;22(7):2524. doi: 10.3390/s22072524.
9
Sliding Mode Fault Tolerant Control for Unmanned Aerial Vehicle with Sensor and Actuator Faults.滑模故障容错控制在无人机传感器和执行器故障。
Sensors (Basel). 2019 Feb 3;19(3):643. doi: 10.3390/s19030643.
10
On the synthesis of a sliding-mode-observer-based adaptive fault-tolerant flight control scheme.基于滑模观测器的自适应容错飞行控制方案的合成
ISA Trans. 2021 May;111:8-23. doi: 10.1016/j.isatra.2020.10.061. Epub 2020 Nov 9.

本文引用的文献

1
Robust Adaptive Tracking Control for Hypersonic Vehicle Based on Interval Type-2 Fuzzy Logic System and Small-Gain Approach.基于区间二型模糊逻辑系统和小增益方法的高超声速飞行器鲁棒自适应跟踪控制
IEEE Trans Cybern. 2021 May;51(5):2504-2517. doi: 10.1109/TCYB.2019.2927309. Epub 2021 Apr 15.
2
Adaptive twisting sliding mode algorithm for hypersonic reentry vehicle attitude control based on finite-time observer.基于有限时间观测器的高超音速再入飞行器姿态控制自适应扭转滑模算法。
ISA Trans. 2018 Jun;77:20-29. doi: 10.1016/j.isatra.2018.04.001. Epub 2018 Apr 27.
3
Global neural dynamic surface tracking control of strict-feedback systems with application to hypersonic flight vehicle.
全局神经动态面跟踪控制严格反馈系统及其在高超音速飞行器中的应用。
IEEE Trans Neural Netw Learn Syst. 2015 Oct;26(10):2563-75. doi: 10.1109/TNNLS.2015.2456972. Epub 2015 Aug 7.