Suppr超能文献

中国西部根治性子宫切除术的手术发病率和生存结果趋势:一项11年的回顾性队列研究

Trends in Surgical Morbidity and Survival Outcomes for Radical Hysterectomy in West China: An 11-Year Retrospective Cohort Study.

作者信息

Jing Huining, Yang Ying, Liu Yinxia, Zou Peijun, Li Zhengyu

机构信息

Department of Gynecology and Obstetrics, West China Second University Hospital, Sichuan University, Chengdu, China.

Key Laboratory of Birth Defects and Related Diseases of Women and Children, Sichuan University, Ministry of Education, Chengdu, China.

出版信息

Front Oncol. 2022 Feb 10;12:836481. doi: 10.3389/fonc.2022.836481. eCollection 2022.

Abstract

OBJECTIVES

To vertically analyze the trend of surgical approaches, demographics, surgical morbidity, and long-term survival outcomes of early-stage cervical cancer over the past 11 years and to determine whether there have been any significant changes.

METHODS

A total of 851 patients with consecutive International Federation of Gynecology and Obstetrics (FIGO) 2009 stage IA-IIA cervical cancer diagnosed between January 2008 and June 2018 at a single center in China were included in this retrospective study. Trends in the rate of minimally invasive surgery (MIS), demographics, surgical morbidities, and long-term survival outcomes were determined. We categorized patients into two groups according to their year of operation. The demographics, pathological factors, surgical morbidity, and long-term survival outcomes were compared between these two groups.

RESULTS

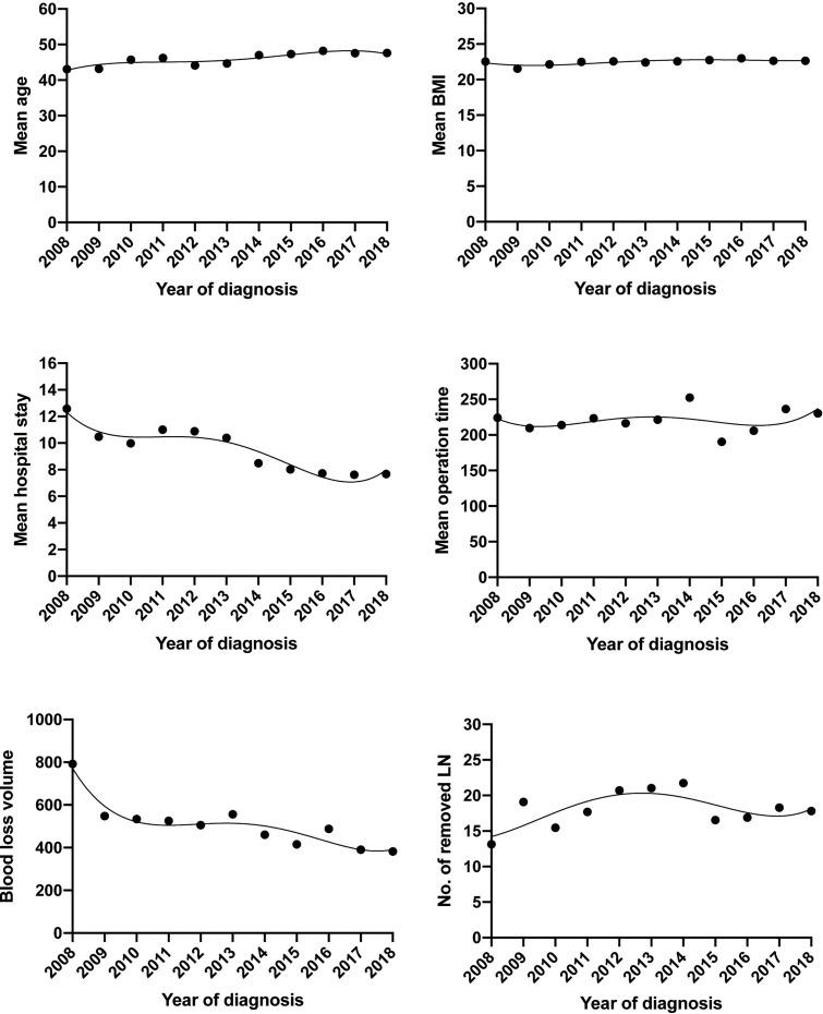
Regarding the surgical approach, there was a significant increase in the rate of laparoscopic radical hysterectomy (LRH) performed over the study period, from 7.8% in 2008 to 72.5% in 2018 (p < 0.0001). The mean age of patients who underwent abdominal radical hysterectomy (ARH) has increased slightly from 2008 to 2018, and those who underwent ARH in the second half of the study period (2014-2018) were significantly older (45.01 vs. 47.50 years; p = 0.001). The most impressive changes over the past 11 years have occurred in the surgical morbidity in both the ARH and LRH groups. The overall surgical morbidity decreased from 29.2% in 2008 to 11.9% in 2018, with an annual rate of 1.57%. The median estimated blood loss volume of the ARH group was 500 ml (range 50-2,000) in the first few years compared to 400 ml (30-2500) in the last few years of the study period (p < 0.0001), which in the LRH group was 350 ml (range 150-800) and 150 ml (range 5-1,000), respectively (p < 0.0001). Similarly, allogeneic blood transfusions and hospital stay have all decreased dramatically over time in both approaches. On the other hand, our study did not reveal any significant statistical changes in long-term survival outcomes over the follow-up period in either group.

CONCLUSIONS

The findings of our study demonstrate that great progress in surgically managed cervical cancer has been made over the last decade in West China. Our retrospective study demonstrated that the year of operation does not appear to influence the long-term survival, but the surgical morbidity impressively decreased over the study period in both the ARH and LRH groups, which reflects that the higher hospital surgical volume for radical hysterectomy (RH) was not associated with lower survival outcomes but related to the reduction of surgical morbidity.

摘要

目的

纵向分析过去11年早期宫颈癌手术方式、人口统计学特征、手术并发症及长期生存结局的变化趋势,并确定是否有任何显著变化。

方法

本回顾性研究纳入了2008年1月至2018年6月在中国某单一中心连续诊断的851例国际妇产科联盟(FIGO)2009分期IA-IIA期宫颈癌患者。确定了微创手术(MIS)率、人口统计学特征、手术并发症及长期生存结局的变化趋势。根据手术年份将患者分为两组。比较两组患者的人口统计学特征、病理因素、手术并发症及长期生存结局。

结果

关于手术方式,在研究期间腹腔镜根治性子宫切除术(LRH)的实施率显著增加,从2008年的7.8%增至2018年的72.5%(p<0.0001)。接受腹式根治性子宫切除术(ARH)的患者平均年龄从2008年到2018年略有增加,且在研究后半期(2014 - 2018年)接受ARH的患者年龄显著更大(45.01岁对47.50岁;p = 0.001)。过去11年中最显著的变化发生在ARH组和LRH组的手术并发症方面。总体手术并发症从2008年的29.2%降至2018年的11.9%,年下降率为1.57%。ARH组在研究最初几年的估计中位失血量为500 ml(范围50 - 2000),而在研究期最后几年为400 ml(30 - 2500)(p<0.0001),LRH组分别为350 ml(范围150 - 800)和150 ml(范围5 - 1000)(p<0.0001)。同样,两种手术方式的异体输血率和住院时间均随时间显著下降。另一方面,我们的研究未发现两组在随访期内长期生存结局有任何显著的统计学变化。

结论

我们的研究结果表明,在过去十年中国西部在宫颈癌手术治疗方面取得了巨大进展。我们的回顾性研究表明手术年份似乎不影响长期生存,但在研究期间ARH组和LRH组的手术并发症均显著下降,这反映出较高的根治性子宫切除术(RH)医院手术量与较低的生存结局无关,而是与手术并发症的减少有关。

https://cdn.ncbi.nlm.nih.gov/pmc/blobs/a58e/8866646/de970e6689ea/fonc-12-836481-g001.jpg

文献检索

告别复杂PubMed语法,用中文像聊天一样搜索,搜遍4000万医学文献。AI智能推荐,让科研检索更轻松。

立即免费搜索

文件翻译

保留排版,准确专业,支持PDF/Word/PPT等文件格式,支持 12+语言互译。

免费翻译文档

深度研究

AI帮你快速写综述,25分钟生成高质量综述,智能提取关键信息,辅助科研写作。

立即免费体验