• 文献检索
  • 文档翻译
  • 深度研究
  • 学术资讯
  • Suppr Zotero 插件Zotero 插件
  • 邀请有礼
  • 套餐&价格
  • 历史记录
应用&插件
Suppr Zotero 插件Zotero 插件浏览器插件Mac 客户端Windows 客户端微信小程序
定价
高级版会员购买积分包购买API积分包
服务
文献检索文档翻译深度研究API 文档MCP 服务
关于我们
关于 Suppr公司介绍联系我们用户协议隐私条款
关注我们

Suppr 超能文献

核心技术专利:CN118964589B侵权必究
粤ICP备2023148730 号-1Suppr @ 2026

文献检索

告别复杂PubMed语法,用中文像聊天一样搜索,搜遍4000万医学文献。AI智能推荐,让科研检索更轻松。

立即免费搜索

文件翻译

保留排版,准确专业,支持PDF/Word/PPT等文件格式,支持 12+语言互译。

免费翻译文档

深度研究

AI帮你快速写综述,25分钟生成高质量综述,智能提取关键信息,辅助科研写作。

立即免费体验

SALR 粒子和带交叉吸引力的硬球混合物中的聚集。

Clustering in Mixtures of SALR Particles and Hard Spheres with Cross Attraction.

机构信息

Dipartimento di Scienze Matematiche e Informatiche, Scienze Fisiche e Scienze della Terra, Università degli Studi di Messina, viale F. Stagno d'Alcontres 31, 98166 Messina, Italy.

Université de Lorraine, LCP-A2MC, UR 3469, 1 Blvd. François Arago, Metz F-57078, France.

出版信息

J Phys Chem B. 2022 Mar 10;126(9):2027-2039. doi: 10.1021/acs.jpcb.1c09758. Epub 2022 Feb 28.

DOI:10.1021/acs.jpcb.1c09758
PMID:35224968
原文链接:https://pmc.ncbi.nlm.nih.gov/articles/PMC8919255/
Abstract

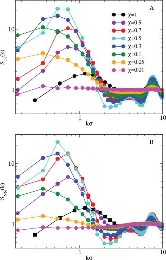
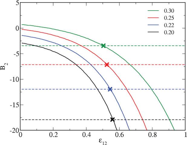
Self-assembling complex fluids are often modeled as particles with effective competing isotropic interactions, combining a short-range attraction (SA) followed by a longer-range repulsion (LR). For moderately low temperatures and densities, SALR particles form clusters in equilibrium, at least provided that the potential parameters are appropriate. Here we inquire into the possibility that cluster formation in SALR fluids might be pushed by a foreign species even under thermodynamic conditions that would not allow for clusterization of the pure system. To this aim, we study by Monte Carlo simulations a mixture of hard-sphere two-Yukawa particles and hard spheres, with a cross interaction modeled by a square-well attraction, and we investigate the conditions of clustering in terms of strength of attraction and relative concentration of the two species. We find that clusters can occur in the mixture for the same temperature and density where the pure SALR fluid is almost structureless. In particular, we single out a cross attraction such that clusters are formed with a SALR concentration as low as 5%. We also find a situation where nearly pure droplets of hard spheres are held together by a shell of SALR particles. Conversely, we show that clustering can be undermined in the mixture under conditions for which this process takes place in the parent SALR fluid. Using a simple criterion, based on the second virial coefficients of the attractive part of interaction potentials (the so-called "reference attractive fluids"), we are able to predict accurately whether clustering is favored (or hindered) in the mixture, as compared to the pure SALR fluid.

摘要

自组装复杂流体通常被建模为具有有效竞争各向同性相互作用的粒子,结合短程吸引力(SA)和长程排斥力(LR)。对于中等低温度和密度,SALR 粒子在平衡时形成团簇,至少在合适的潜在参数下是这样。在这里,我们探讨了在热力学条件下,即使对于纯体系不会发生团簇化的情况下,外来物种是否可能推动 SALR 流体中的团簇形成。为此,我们通过蒙特卡罗模拟研究了硬球双 Yukawa 粒子和硬球的混合物,其中交叉相互作用由方阱吸引模拟,并根据吸引力强度和两种物质的相对浓度来研究团簇化的条件。我们发现,在相同温度和密度下,混合物中可能会出现团簇,而纯 SALR 流体几乎没有结构。特别是,我们确定了一种交叉吸引力,使得在 SALR 浓度低至 5%的情况下形成团簇。我们还发现了一种情况,即几乎纯的硬球液滴被 SALR 粒子壳层结合在一起。相反,我们表明,在这种过程发生在母体 SALR 流体的条件下,混合物中的团簇化可能会受到破坏。我们使用基于相互作用势能吸引力部分的第二维里系数的简单准则(所谓的“参考吸引力流体”),能够准确预测混合物中团簇化是否受到青睐(或阻碍),与纯 SALR 流体相比。

https://cdn.ncbi.nlm.nih.gov/pmc/blobs/ea2f/8919255/368a69486c4a/jp1c09758_0015.jpg
https://cdn.ncbi.nlm.nih.gov/pmc/blobs/ea2f/8919255/fea766737e73/jp1c09758_0001.jpg
https://cdn.ncbi.nlm.nih.gov/pmc/blobs/ea2f/8919255/7cd9d64d8f7c/jp1c09758_0002.jpg
https://cdn.ncbi.nlm.nih.gov/pmc/blobs/ea2f/8919255/a02f93136279/jp1c09758_0003.jpg
https://cdn.ncbi.nlm.nih.gov/pmc/blobs/ea2f/8919255/e532fead6720/jp1c09758_0004.jpg
https://cdn.ncbi.nlm.nih.gov/pmc/blobs/ea2f/8919255/726b2ac3914f/jp1c09758_0005.jpg
https://cdn.ncbi.nlm.nih.gov/pmc/blobs/ea2f/8919255/e482e24b5f7b/jp1c09758_0006.jpg
https://cdn.ncbi.nlm.nih.gov/pmc/blobs/ea2f/8919255/4cca388a49b5/jp1c09758_0007.jpg
https://cdn.ncbi.nlm.nih.gov/pmc/blobs/ea2f/8919255/fc137b2cfc3c/jp1c09758_0008.jpg
https://cdn.ncbi.nlm.nih.gov/pmc/blobs/ea2f/8919255/a67eac2b74f8/jp1c09758_0009.jpg
https://cdn.ncbi.nlm.nih.gov/pmc/blobs/ea2f/8919255/a02b9be778cf/jp1c09758_0010.jpg
https://cdn.ncbi.nlm.nih.gov/pmc/blobs/ea2f/8919255/d476e1485463/jp1c09758_0011.jpg
https://cdn.ncbi.nlm.nih.gov/pmc/blobs/ea2f/8919255/06418feb7deb/jp1c09758_0012.jpg
https://cdn.ncbi.nlm.nih.gov/pmc/blobs/ea2f/8919255/e934b959caa7/jp1c09758_0013.jpg
https://cdn.ncbi.nlm.nih.gov/pmc/blobs/ea2f/8919255/b77aa47d9975/jp1c09758_0014.jpg
https://cdn.ncbi.nlm.nih.gov/pmc/blobs/ea2f/8919255/368a69486c4a/jp1c09758_0015.jpg
https://cdn.ncbi.nlm.nih.gov/pmc/blobs/ea2f/8919255/fea766737e73/jp1c09758_0001.jpg
https://cdn.ncbi.nlm.nih.gov/pmc/blobs/ea2f/8919255/7cd9d64d8f7c/jp1c09758_0002.jpg
https://cdn.ncbi.nlm.nih.gov/pmc/blobs/ea2f/8919255/a02f93136279/jp1c09758_0003.jpg
https://cdn.ncbi.nlm.nih.gov/pmc/blobs/ea2f/8919255/e532fead6720/jp1c09758_0004.jpg
https://cdn.ncbi.nlm.nih.gov/pmc/blobs/ea2f/8919255/726b2ac3914f/jp1c09758_0005.jpg
https://cdn.ncbi.nlm.nih.gov/pmc/blobs/ea2f/8919255/e482e24b5f7b/jp1c09758_0006.jpg
https://cdn.ncbi.nlm.nih.gov/pmc/blobs/ea2f/8919255/4cca388a49b5/jp1c09758_0007.jpg
https://cdn.ncbi.nlm.nih.gov/pmc/blobs/ea2f/8919255/fc137b2cfc3c/jp1c09758_0008.jpg
https://cdn.ncbi.nlm.nih.gov/pmc/blobs/ea2f/8919255/a67eac2b74f8/jp1c09758_0009.jpg
https://cdn.ncbi.nlm.nih.gov/pmc/blobs/ea2f/8919255/a02b9be778cf/jp1c09758_0010.jpg
https://cdn.ncbi.nlm.nih.gov/pmc/blobs/ea2f/8919255/d476e1485463/jp1c09758_0011.jpg
https://cdn.ncbi.nlm.nih.gov/pmc/blobs/ea2f/8919255/06418feb7deb/jp1c09758_0012.jpg
https://cdn.ncbi.nlm.nih.gov/pmc/blobs/ea2f/8919255/e934b959caa7/jp1c09758_0013.jpg
https://cdn.ncbi.nlm.nih.gov/pmc/blobs/ea2f/8919255/b77aa47d9975/jp1c09758_0014.jpg
https://cdn.ncbi.nlm.nih.gov/pmc/blobs/ea2f/8919255/368a69486c4a/jp1c09758_0015.jpg

相似文献

1
Clustering in Mixtures of SALR Particles and Hard Spheres with Cross Attraction.SALR 粒子和带交叉吸引力的硬球混合物中的聚集。
J Phys Chem B. 2022 Mar 10;126(9):2027-2039. doi: 10.1021/acs.jpcb.1c09758. Epub 2022 Feb 28.
2
Competition between clustering and phase separation in binary mixtures containing SALR particles.含SALR颗粒的二元混合物中聚集与相分离之间的竞争。
Soft Matter. 2022 Aug 31;18(34):6453-6464. doi: 10.1039/d2sm00944g.
3
Cluster formation in symmetric binary SALR mixtures.对称二元SALR混合物中的簇形成
J Chem Phys. 2021 Feb 21;154(7):074504. doi: 10.1063/5.0036046.
4
Cluster formation in fluids with competing short-range and long-range interactions.具有竞争短程和长程相互作用的流体中的团簇形成。
J Chem Phys. 2014 Mar 28;140(12):124508. doi: 10.1063/1.4869109.
5
Colloidal systems with a short-range attraction and long-range repulsion: Phase diagrams, structures, and dynamics.具有短程吸引和长程排斥的胶体系统:相图、结构和动力学。
Curr Opin Colloid Interface Sci. 2019 Feb;39. doi: 10.1016/j.cocis.2019.01.016.
6
On the importance of thermodynamic self-consistency for calculating clusterlike pair correlations in hard-core double Yukawa fluids.关于计算硬芯双 Yukawa 流体中类团对关联时热力学自洽性的重要性。
J Chem Phys. 2011 Feb 14;134(6):064904. doi: 10.1063/1.3530785.
7
Secondary nucleation in symmetric binary SALR mixtures.对称二元SALR混合物中的二次成核
Phys Chem Chem Phys. 2024 Jun 19;26(24):17057-17064. doi: 10.1039/d3cp05765h.
8
Short-time dynamics in dispersions with competing short-range attraction and long-range repulsion.具有竞争短程吸引和长程排斥的分散体系中的短时间动力学
Soft Matter. 2015 Dec 28;11(48):9273-80. doi: 10.1039/c5sm02099a.
9
Quasi-two-dimensional dispersions of Brownian particles with competitive interactions: phase behavior and structural properties.具有竞争相互作用的布朗粒子的准二维分散体系:相行为和结构性质
Soft Matter. 2024 Dec 11;20(48):9528-9546. doi: 10.1039/d4sm00736k.
10
Self-Consistent Ornstein-Zernike Approximation (SCOZA) and exact second virial coefficients and their relationship with critical temperature for colloidal or protein suspensions with short-ranged attractive interactions.自洽的奥恩斯坦-泽尔尼克近似(SCOZA)和精确的第二维里系数及其与胶体或含有短程吸引力相互作用的蛋白质悬浮液的临界温度的关系。
J Chem Phys. 2013 Oct 28;139(16):164501. doi: 10.1063/1.4825174.

引用本文的文献

1
Discontinuous Structural Transitions in Fluids with Competing Interactions.具有竞争相互作用的流体中的非连续结构转变
Entropy (Basel). 2025 Jan 20;27(1):95. doi: 10.3390/e27010095.
2
Statistical Thermodynamic Description of Self-Assembly of Large Inclusions in Biological Membranes.生物膜中大型内含物自组装的统计热力学描述
Curr Issues Mol Biol. 2024 Sep 26;46(10):10829-10845. doi: 10.3390/cimb46100643.
3
Adsorption on a Spherical Colloidal Particle from a Mixture of Nanoparticles with Competing Interactions.来自具有竞争相互作用的纳米颗粒混合物在球形胶体颗粒上的吸附

本文引用的文献

1
Early stages of aggregation in fluid mixtures of dimers and spheres: a theoretical and simulation study.二聚体与球体流体混合物中聚集的早期阶段:一项理论与模拟研究。
Phys Chem Chem Phys. 2021 Oct 13;23(39):22661-22672. doi: 10.1039/d1cp03604a.
2
Colloidal systems with a short-range attraction and long-range repulsion: Phase diagrams, structures, and dynamics.具有短程吸引和长程排斥的胶体系统:相图、结构和动力学。
Curr Opin Colloid Interface Sci. 2019 Feb;39. doi: 10.1016/j.cocis.2019.01.016.
3
Self-Assembled Structures of Colloidal Dimers and Disks on a Spherical Surface.
Molecules. 2024 Jul 3;29(13):3170. doi: 10.3390/molecules29133170.
4
Pattern Formation in Two-Component Monolayers of Particles with Competing Interactions.具有竞争相互作用的两分量粒子单层中的图案形成。
Molecules. 2023 Jan 31;28(3):1366. doi: 10.3390/molecules28031366.
球形表面上胶体二聚体和盘状颗粒的自组装结构
Entropy (Basel). 2021 May 9;23(5):585. doi: 10.3390/e23050585.
4
Formation and internal ordering of periodic microphases in colloidal models with competing interactions.具有竞争相互作用的胶体模型中周期性微相的形成与内部有序化。
Soft Matter. 2021 May 19;17(19):4957-4968. doi: 10.1039/d1sm00445j.
5
Cluster formation in symmetric binary SALR mixtures.对称二元SALR混合物中的簇形成
J Chem Phys. 2021 Feb 21;154(7):074504. doi: 10.1063/5.0036046.
6
Self-assembly in mixtures with competing interactions.在具有竞争相互作用的混合物中的自组装。
Soft Matter. 2021 Mar 18;17(10):2883-2899. doi: 10.1039/d0sm02072a.
7
Colloidal molecules and patchy particles: complementary concepts, synthesis and self-assembly.胶体质点和嵌段聚合物:互补的概念、合成和自组装。
Chem Soc Rev. 2020 Mar 21;49(6):1955-1976. doi: 10.1039/c9cs00804g. Epub 2020 Feb 28.
8
Local order and cluster formation in model fluids with competing interactions: a simulation and theoretical study.具有竞争相互作用的模型流体中的局部有序和团簇形成:一项模拟与理论研究。
Phys Chem Chem Phys. 2020 Mar 4;22(9):5355-5365. doi: 10.1039/c9cp06710h.
9
Microphase separation in a two-dimensional colloidal system with competing attractive critical Casimir and repulsive magnetic dipole interactions.二维胶体系统中具有竞争吸引力临界 Casimir 和排斥磁偶极相互作用的微相分离。
Phys Rev E. 2019 Nov;100(5-1):052602. doi: 10.1103/PhysRevE.100.052602.
10
Complex Self-Assembly from Simple Interaction Rules in Model Colloidal Mixtures.模型胶体混合物中简单相互作用规则的复杂自组装。
J Phys Chem B. 2019 Oct 31;123(43):9272-9280. doi: 10.1021/acs.jpcb.9b08617. Epub 2019 Oct 17.