Suppr超能文献

估算曲唑酮速释和每日一次制剂的脑受体占有率。

Estimation of brain receptor occupancy for trazodone immediate release and once a day formulations.

机构信息

Angelini Pharma S.p.A., Rome, Italy.

Certara UK, Simcyp Division, Sheffield, UK.

出版信息

Clin Transl Sci. 2022 Jun;15(6):1417-1429. doi: 10.1111/cts.13253. Epub 2022 Mar 2.

Abstract

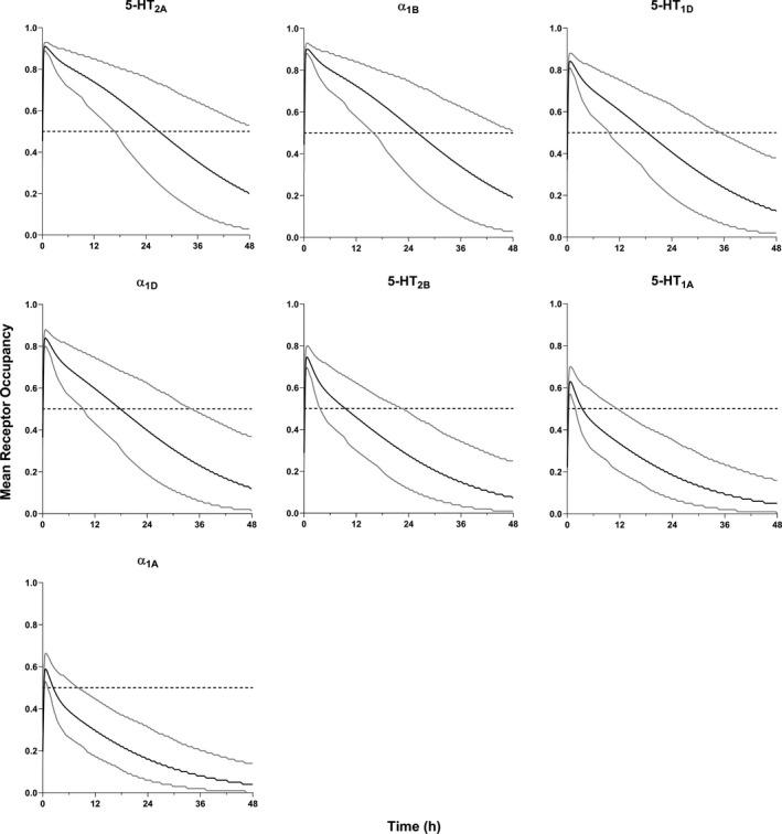
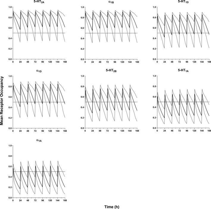
Trazodone is approved for the treatment of major depressive disorders, marketed as immediate release (IR), prolonged release, and once a day (OAD) formulation. The different formulations allow different administration schedules and may be useful to facilitate patients' compliance to the antidepressant treatment. A previously verified physiologically-based pharmacokinetic model based on in vitro and in vivo information on trazodone pharmacokinetics was applied, aiming at predicting brain receptor occupancy (RO) after single and repeated dosing of the IR formulation and repeated dosing of the OAD formulation in healthy subjects. Receptors included in the simulations were selected using static calculations of RO based on the maximum unbound brain concentration (C ) of trazodone for each formulation and dosing scheme, resulting in 16 receptors being simulated. Seven receptors were simulated for the IR low dose formulation (30 mg), with similar t and duration of coverage (range: 0.09-0.25 h and 2.1->24 h, respectively) as well as RO (range: 0.64-0.92) predicted between day 1 and day 7 of dosing. The 16 receptors evaluated for the OAD formulation (300 mg) showed high RO (range: 0.97-0.84 for the receptors also covered by the IR formulation and 0.73-0.48 for the remaining) correlating with affinity and similar duration of time above the target threshold to the IR formulation (range: 2->24 h). The dose-dependent receptor coverage supports the multimodal activity of trazodone, which may further contribute to its fast antidepressant action and effectiveness in controlling different symptoms in depressed patients.

摘要

曲唑酮获批用于治疗重度抑郁症,有速释、缓释和每日一次(OAD)三种剂型。不同的剂型允许不同的给药方案,可能有助于提高患者对抗抑郁治疗的依从性。本研究应用了经体外和体内曲唑酮药代动力学数据验证的生理基于模型,旨在预测健康受试者单次和重复给予速释剂型以及重复给予 OAD 剂型后的脑受体占有率(RO)。模拟中纳入的受体是根据每种剂型和给药方案的曲唑酮最大未结合脑浓度(C ),采用 RO 静态计算选择的,结果模拟了 16 个受体。模拟了速释低剂量(30 mg)的 7 个受体,其 t 和覆盖时间(范围分别为 0.09-0.25 h 和 2.1->24 h)以及 RO(范围 0.64-0.92)在给药第 1 天至第 7 天之间相似。OAD 剂型(300 mg)评估的 16 个受体具有较高的 RO(范围:IR 制剂覆盖的受体为 0.97-0.84,其余受体为 0.73-0.48),与亲和力相关,且高于目标阈值的时间与速释制剂相似(范围:2->24 h)。剂量依赖性受体覆盖支持了曲唑酮的多模式活性,这可能进一步有助于其快速抗抑郁作用和控制抑郁患者不同症状的有效性。

https://cdn.ncbi.nlm.nih.gov/pmc/blobs/e0f6/9200067/990ee099aa66/CTS-15-1417-g003.jpg

文献AI研究员

20分钟写一篇综述,助力文献阅读效率提升50倍。

立即体验

用中文搜PubMed

大模型驱动的PubMed中文搜索引擎

马上搜索

文档翻译

学术文献翻译模型,支持多种主流文档格式。

立即体验