• 文献检索
  • 文档翻译
  • 深度研究
  • 学术资讯
  • Suppr Zotero 插件Zotero 插件
  • 邀请有礼
  • 套餐&价格
  • 历史记录
应用&插件
Suppr Zotero 插件Zotero 插件浏览器插件Mac 客户端Windows 客户端微信小程序
定价
高级版会员购买积分包购买API积分包
服务
文献检索文档翻译深度研究API 文档MCP 服务
关于我们
关于 Suppr公司介绍联系我们用户协议隐私条款
关注我们

Suppr 超能文献

核心技术专利:CN118964589B侵权必究
粤ICP备2023148730 号-1Suppr @ 2026

文献检索

告别复杂PubMed语法,用中文像聊天一样搜索,搜遍4000万医学文献。AI智能推荐,让科研检索更轻松。

立即免费搜索

文件翻译

保留排版,准确专业,支持PDF/Word/PPT等文件格式,支持 12+语言互译。

免费翻译文档

深度研究

AI帮你快速写综述,25分钟生成高质量综述,智能提取关键信息,辅助科研写作。

立即免费体验

十六烷基溴化吡啶鎓/聚氯乙烯用于从氯化物溶液中高效捕获稀土元素

Cetylpyridinium Bromide/Polyvinyl Chloride for Substantially Efficient Capture of Rare Earth Elements from Chloride Solution.

作者信息

Allam Eman M, Lashen Taysser A, Abou El-Enein Saeyda A, Hassanin Mohamed A, Sakr Ahmed K, Hanfi Mohamed Y, Sayyed M I, Al-Otaibi Jamelah S, Cheira Mohamed F

机构信息

Nuclear Materials Authority, El Maadi, Cairo P.O. Box 530, Egypt.

Department of Chemistry, Faculty of Science, Menoufia University, Shebin El-Kom 32511, Egypt.

出版信息

Polymers (Basel). 2022 Feb 27;14(5):954. doi: 10.3390/polym14050954.

DOI:10.3390/polym14050954
PMID:35267777
原文链接:https://pmc.ncbi.nlm.nih.gov/articles/PMC8912479/
Abstract

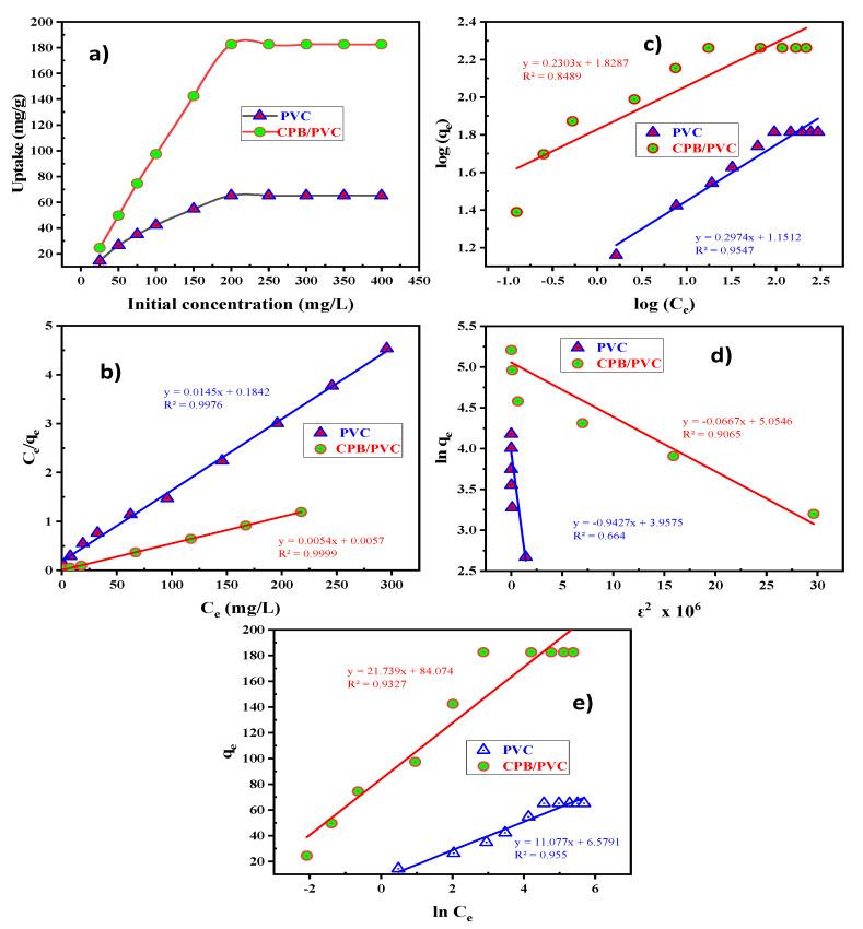
A new sorbent cetylpyridinium bromide/polyvinylchloride (CPB/PVC) was prepared and tested to extract rare earth elements (REEs) from their chloride solutions. It was identified by FTIR, TGA, SEM, EDX, and XRD. The impact of various factors such as pH, RE ion initial concentration, contacting time, and dose amount via sorption process was inspected. The optimum pH was 6.0, and the equilibrium contact time was reached at 60 min at 25 °C. The prepared adsorbent (CPB/PVC) uptake capacity was 182.6 mg/g. The adsorption of RE ions onto the CPB/PVC sorbent was found to fit the Langmuir isotherm as well as pseudo-second-order models well. In addition, the thermodynamic parameters of RE ion sorption were found to be exothermic and spontaneous. The desorption of RE ions from the loaded CPB/PVC sorbent was investigated. It was observed that the optimum desorption was achieved at 1.0 M HCl for 60 min contact time at ambient room temperature and a 1:60 solid: liquid phase ratio (S:L). As a result, the prepared CPB/PVC sorbent was recognized as a competitor sorbent for REEs.

摘要

制备了一种新型吸附剂十六烷基溴化吡啶/聚氯乙烯(CPB/PVC),并对其从氯化物溶液中萃取稀土元素(REEs)进行了测试。通过傅里叶变换红外光谱(FTIR)、热重分析(TGA)、扫描电子显微镜(SEM)、能谱分析(EDX)和X射线衍射(XRD)对其进行了表征。考察了pH值、稀土离子初始浓度、接触时间和吸附剂量等各种因素对吸附过程的影响。最佳pH值为6.0,在25℃下60分钟达到平衡接触时间。制备的吸附剂(CPB/PVC)吸附容量为182.6 mg/g。发现稀土离子在CPB/PVC吸附剂上的吸附符合朗缪尔等温线以及准二级模型。此外,发现稀土离子吸附的热力学参数为放热和自发过程。研究了负载CPB/PVC吸附剂上稀土离子的解吸情况。观察到,在室温下,以1:60的固液比(S:L),用1.0 M HCl接触60分钟可实现最佳解吸。结果表明,制备的CPB/PVC吸附剂被认为是一种用于稀土元素的竞争性吸附剂。

https://cdn.ncbi.nlm.nih.gov/pmc/blobs/4270/8912479/78c4692db063/polymers-14-00954-g011.jpg
https://cdn.ncbi.nlm.nih.gov/pmc/blobs/4270/8912479/ce17f8e91281/polymers-14-00954-sch001.jpg
https://cdn.ncbi.nlm.nih.gov/pmc/blobs/4270/8912479/74ac1f5b5764/polymers-14-00954-g001.jpg
https://cdn.ncbi.nlm.nih.gov/pmc/blobs/4270/8912479/90a003be6348/polymers-14-00954-g002.jpg
https://cdn.ncbi.nlm.nih.gov/pmc/blobs/4270/8912479/8ede628507e9/polymers-14-00954-g003.jpg
https://cdn.ncbi.nlm.nih.gov/pmc/blobs/4270/8912479/2ce0796a85c9/polymers-14-00954-g004.jpg
https://cdn.ncbi.nlm.nih.gov/pmc/blobs/4270/8912479/14ce1d3b4f4e/polymers-14-00954-g005.jpg
https://cdn.ncbi.nlm.nih.gov/pmc/blobs/4270/8912479/6ce46201d7b4/polymers-14-00954-g006.jpg
https://cdn.ncbi.nlm.nih.gov/pmc/blobs/4270/8912479/f459e5451f2f/polymers-14-00954-g007.jpg
https://cdn.ncbi.nlm.nih.gov/pmc/blobs/4270/8912479/1daa0b806d99/polymers-14-00954-g008.jpg
https://cdn.ncbi.nlm.nih.gov/pmc/blobs/4270/8912479/56734dfcbe24/polymers-14-00954-g009.jpg
https://cdn.ncbi.nlm.nih.gov/pmc/blobs/4270/8912479/7b2774749abd/polymers-14-00954-g010.jpg
https://cdn.ncbi.nlm.nih.gov/pmc/blobs/4270/8912479/78c4692db063/polymers-14-00954-g011.jpg
https://cdn.ncbi.nlm.nih.gov/pmc/blobs/4270/8912479/ce17f8e91281/polymers-14-00954-sch001.jpg
https://cdn.ncbi.nlm.nih.gov/pmc/blobs/4270/8912479/74ac1f5b5764/polymers-14-00954-g001.jpg
https://cdn.ncbi.nlm.nih.gov/pmc/blobs/4270/8912479/90a003be6348/polymers-14-00954-g002.jpg
https://cdn.ncbi.nlm.nih.gov/pmc/blobs/4270/8912479/8ede628507e9/polymers-14-00954-g003.jpg
https://cdn.ncbi.nlm.nih.gov/pmc/blobs/4270/8912479/2ce0796a85c9/polymers-14-00954-g004.jpg
https://cdn.ncbi.nlm.nih.gov/pmc/blobs/4270/8912479/14ce1d3b4f4e/polymers-14-00954-g005.jpg
https://cdn.ncbi.nlm.nih.gov/pmc/blobs/4270/8912479/6ce46201d7b4/polymers-14-00954-g006.jpg
https://cdn.ncbi.nlm.nih.gov/pmc/blobs/4270/8912479/f459e5451f2f/polymers-14-00954-g007.jpg
https://cdn.ncbi.nlm.nih.gov/pmc/blobs/4270/8912479/1daa0b806d99/polymers-14-00954-g008.jpg
https://cdn.ncbi.nlm.nih.gov/pmc/blobs/4270/8912479/56734dfcbe24/polymers-14-00954-g009.jpg
https://cdn.ncbi.nlm.nih.gov/pmc/blobs/4270/8912479/7b2774749abd/polymers-14-00954-g010.jpg
https://cdn.ncbi.nlm.nih.gov/pmc/blobs/4270/8912479/78c4692db063/polymers-14-00954-g011.jpg

相似文献

1
Cetylpyridinium Bromide/Polyvinyl Chloride for Substantially Efficient Capture of Rare Earth Elements from Chloride Solution.十六烷基溴化吡啶鎓/聚氯乙烯用于从氯化物溶液中高效捕获稀土元素
Polymers (Basel). 2022 Feb 27;14(5):954. doi: 10.3390/polym14050954.
2
Rare Earth Group Separation after Extraction Using Sodium Diethyldithiocarbamate/Polyvinyl Chloride from Lamprophyre Dykes Leachate.使用二乙基二硫代氨基甲酸钠/聚氯乙烯从煌斑岩脉渗滤液中萃取后进行稀土元素组分离。
Materials (Basel). 2022 Feb 5;15(3):1211. doi: 10.3390/ma15031211.
3
Removal of nitrate from aqueous solution using cetylpyridinium bromide (CPB) modified zeolite as adsorbent.使用十六烷基溴化吡啶(CPB)改性沸石作为吸附剂从水溶液中去除硝酸盐。
J Hazard Mater. 2011 Feb 28;186(2-3):1972-8. doi: 10.1016/j.jhazmat.2010.12.090. Epub 2010 Dec 25.
4
Enhancement of Cerium Sorption onto Urea-Functionalized Magnetite Chitosan Microparticles by Sorbent Sulfonation-Application to Ore Leachate.尿素功能化磁铁矿壳聚糖微球对铈吸附的增强作用-用于矿石浸出液。
Molecules. 2022 Nov 4;27(21):7562. doi: 10.3390/molecules27217562.
5
Amination of Non-Functional Polyvinyl Chloride Polymer Using Polyethyleneimine for Removal of Phosphorus from Aqueous Solution.使用聚乙烯亚胺对非功能性聚氯乙烯聚合物进行胺化以从水溶液中去除磷
Polymers (Basel). 2022 Apr 19;14(9):1645. doi: 10.3390/polym14091645.
6
Adsorption and Desorption Properties of Polyethylenimine/Polyvinyl Chloride Cross-Linked Fiber for the Treatment of Azo Dye Reactive Yellow 2.聚乙烯亚胺/聚氯乙烯交联纤维对活性染料反应黄 2 的吸附和解吸性能
Molecules. 2021 Mar 10;26(6):1519. doi: 10.3390/molecules26061519.
7
Sponge-like Ca-alginate/Lix-84 beads for selective separation of Mo(VI) from some rare earth elements.用于从一些稀土元素中选择性分离 Mo(VI)的海绵状 Ca-海藻酸盐/Lix-84 珠。
Int J Biol Macromol. 2021 Aug 1;184:689-700. doi: 10.1016/j.ijbiomac.2021.06.138. Epub 2021 Jun 24.
8
Optimization, equilibrium, kinetic, thermodynamic and desorption studies on the sorption of Cu(II) from an aqueous solution using marine green algae: Halimeda gracilis.采用海洋绿藻:扁枝藻对水溶液中 Cu(II)的吸附进行优化、平衡、动力学、热力学和解吸研究。
Ecotoxicol Environ Saf. 2015 Nov;121:199-210. doi: 10.1016/j.ecoenv.2015.03.040. Epub 2015 Apr 10.
9
Physicochemical investigation of mercury sorption on mesoporous thioacetamide/chitosan from wastewater.废水中汞在介孔硫代乙酰胺/壳聚糖上吸附的物理化学研究。
Chemosphere. 2023 Nov;341:140062. doi: 10.1016/j.chemosphere.2023.140062. Epub 2023 Sep 8.
10
Investigations of Heavy Metal Ion Sorption Using Nanocomposites of Iron-Modified Biochar.利用铁改性生物炭纳米复合材料对重金属离子吸附的研究
Nanoscale Res Lett. 2017 Dec;12(1):433. doi: 10.1186/s11671-017-2201-y. Epub 2017 Jun 30.

引用本文的文献

1
Assessing the Potential of Rare Earth Elements in Bottom Ash from Coal Combustion in Poland.评估波兰煤炭燃烧底灰中稀土元素的潜力。
Materials (Basel). 2024 Aug 31;17(17):4323. doi: 10.3390/ma17174323.
2
Polymeric Materials for Rare Earth Elements Recovery.用于稀土元素回收的聚合物材料
Gels. 2023 Sep 24;9(10):775. doi: 10.3390/gels9100775.
3
Rare-Earth Elements Extraction from Low-Alkali Desilicated Coal Fly Ash by (NH)SO + HSO.用(NH₄)₂SO₄+H₂SO₄从低碱脱硅粉煤灰中提取稀土元素

本文引用的文献

1
Rare Earth Group Separation after Extraction Using Sodium Diethyldithiocarbamate/Polyvinyl Chloride from Lamprophyre Dykes Leachate.使用二乙基二硫代氨基甲酸钠/聚氯乙烯从煌斑岩脉渗滤液中萃取后进行稀土元素组分离。
Materials (Basel). 2022 Feb 5;15(3):1211. doi: 10.3390/ma15031211.
2
Inorganic-organic mesoporous hybrid segregators for selective and sensitive extraction of precious elements from urban mining.无机-有机介孔杂化隔离剂用于从城市采矿中选择性和灵敏地提取贵金属元素。
J Colloid Interface Sci. 2021 Dec 15;604:61-79. doi: 10.1016/j.jcis.2021.07.002. Epub 2021 Jul 3.
3
Nd(III) and Gd(III) Sorption on Mesoporous Amine-Functionalized Polymer/SiO Composite.
Materials (Basel). 2022 Dec 20;16(1):6. doi: 10.3390/ma16010006.
4
New Chelate Resins Prepared with Direct Red 23 for Cd, Ni, Cu and Pb Removal.用直接红23制备的新型螯合树脂对镉、镍、铜和铅的去除
Polymers (Basel). 2022 Dec 16;14(24):5523. doi: 10.3390/polym14245523.
5
Analysis of the Adsorption-Release Isotherms of Pentaethylenehexamine-Modified Sorbents for Rare Earth Elements (Y, Nd, La).五乙烯六胺改性吸附剂对稀土元素(钇、钕、镧)的吸附-解吸等温线分析
Polymers (Basel). 2022 Nov 22;14(23):5063. doi: 10.3390/polym14235063.
6
Advances in Sustainable Polymeric Materials.可持续聚合物材料的进展
Polymers (Basel). 2022 Nov 17;14(22):4972. doi: 10.3390/polym14224972.
7
Characteristic Aspects of Uranium(VI) Adsorption Utilizing Nano-Silica/Chitosan from Wastewater Solution.利用纳米二氧化硅/壳聚糖从废水溶液中吸附铀(VI)的特性
Nanomaterials (Basel). 2022 Nov 2;12(21):3866. doi: 10.3390/nano12213866.
8
Selective Recovery of Cadmium, Cobalt, and Nickel from Spent Ni-Cd Batteries Using Adogen 464 and Mesoporous Silica Derivatives.用 Adogen 464 和介孔硅衍生物从废镍镉电池中选择性回收镉、钴和镍。
Int J Mol Sci. 2022 Aug 4;23(15):8677. doi: 10.3390/ijms23158677.
9
Efficient Recovery of Rare Earth Elements and Zinc from Spent Ni-Metal Hydride Batteries: Statistical Studies.从废旧镍氢电池中高效回收稀土元素和锌:统计研究
Nanomaterials (Basel). 2022 Jul 5;12(13):2305. doi: 10.3390/nano12132305.
10
Synthesis of a New Chelating Iminophosphorane Derivative (Phosphazene) for U(VI) Recovery.用于回收U(VI)的新型螯合亚氨基磷烷衍生物(磷腈)的合成。
Polymers (Basel). 2022 Apr 21;14(9):1687. doi: 10.3390/polym14091687.
三价钕(Nd(III))和三价钆(Gd(III))在介孔胺功能化聚合物/二氧化硅复合材料上的吸附。
Molecules. 2021 Feb 17;26(4):1049. doi: 10.3390/molecules26041049.
4
Searching for Monomeric Nickel Tetrafluoride: Unravelling Infrared Matrix Isolation Spectra of Higher Nickel Fluorides.寻找单体四氟化镍:解析高阶氟化镍的红外矩阵隔离光谱
Angew Chem Int Ed Engl. 2021 Mar 15;60(12):6391-6394. doi: 10.1002/anie.202015501. Epub 2021 Jan 28.
5
Efficient Recovery of End-of-Life NdFeB Permanent Magnets by Selective Leaching with Deep Eutectic Solvents.高效回收报废 NdFeB 永磁体的方法:利用深共晶溶剂选择性浸出
Environ Sci Technol. 2020 Aug 18;54(16):10370-10379. doi: 10.1021/acs.est.0c03278. Epub 2020 Jul 30.
6
Enhanced biosorption of nickel(II) ions by silica-gel-immobilized waste biomass: biosorption characteristics in batch and dynamic flow mode.硅胶固定化废弃生物质对镍(II)离子的增强生物吸附:间歇和动态流动模式下的生物吸附特性
J Hazard Mater. 2009 Apr 30;163(2-3):1134-41. doi: 10.1016/j.jhazmat.2008.07.084. Epub 2008 Jul 25.
7
Batch and bulk removal of a triarylmethane dye, Fast Green FCF, from wastewater by adsorption over waste materials.通过吸附废旧材料从废水中分批和大量去除三芳基甲烷染料亮绿FCF。
J Hazard Mater. 2009 Apr 30;163(2-3):568-77. doi: 10.1016/j.jhazmat.2008.07.005. Epub 2008 Jul 9.