• 文献检索
  • 文档翻译
  • 深度研究
  • 学术资讯
  • Suppr Zotero 插件Zotero 插件
  • 邀请有礼
  • 套餐&价格
  • 历史记录
应用&插件
Suppr Zotero 插件Zotero 插件浏览器插件Mac 客户端Windows 客户端微信小程序
定价
高级版会员购买积分包购买API积分包
服务
文献检索文档翻译深度研究API 文档MCP 服务
关于我们
关于 Suppr公司介绍联系我们用户协议隐私条款
关注我们

Suppr 超能文献

核心技术专利:CN118964589B侵权必究
粤ICP备2023148730 号-1Suppr @ 2026

文献检索

告别复杂PubMed语法,用中文像聊天一样搜索,搜遍4000万医学文献。AI智能推荐,让科研检索更轻松。

立即免费搜索

文件翻译

保留排版,准确专业,支持PDF/Word/PPT等文件格式,支持 12+语言互译。

免费翻译文档

深度研究

AI帮你快速写综述,25分钟生成高质量综述,智能提取关键信息,辅助科研写作。

立即免费体验

微波烘焙条件对饼干品质的影响及美拉德反应中热加工危害的控制

The Effect of Microwave Baking Conditions on the Quality of Biscuits and the Control of Thermal Processing Hazards in the Maillard Reaction.

作者信息

Dong Lu, Qiu Caiyi, Wei Fan, Yu Zhenting, Zhang Yan, Wang Shuo

机构信息

Tianjin Key Laboratory of Food Science and Health, School of Medicine, Nankai University, Tianjin, China.

出版信息

Front Nutr. 2022 Feb 25;9:825365. doi: 10.3389/fnut.2022.825365. eCollection 2022.

DOI:10.3389/fnut.2022.825365
PMID:35284448
原文链接:https://pmc.ncbi.nlm.nih.gov/articles/PMC8914164/
Abstract

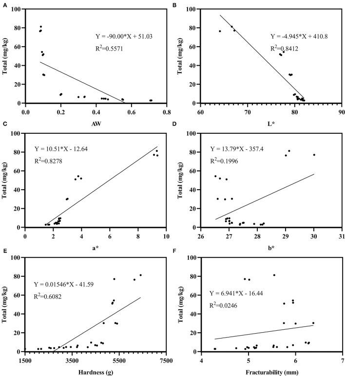
To reduce thermal processing hazards (TPHs), microwave baking has been extensively used in food thermal processing. In this study, the influence of microwave power and microwave time on the formation of TPHs and their precursors was explored in microwave-baked biscuits. The results indicated that the content of acrylamide, 5-hydroxymethylfurfural, methylglyoxal, and 3-deoxyglucosone increased linearly with the extension of microwave time (2, 2.5, and 3 min) and microwave power (440, 480, and 520 W). There was a significant correlation between the four TPHs. 3-Deoxyglucosone may directly or indirectly participate in the formation of the other three TPHs. The relationship between TPH levels with some heat-induced sensory characteristics was analyzed. The correlation between the sensory characteristics and the content of TPHs is L > a > hardness > Water activity (AW). The correlation coefficients between L value and the four TPHs are -0.950, -0.891, -0.803, and -0.985. Furthermore, the content of TPHs produced by traditional baking and microwave baking under the same texture level was compared. Compared with traditional baking (190°C, 7 min), microwave baking at 440 W for 3 min successfully decrease methylglyoxal, 3-Deoxyglucosone, acrylamide, and 5-hydroxymethylfurfural content by 60.75, 30.19, 30.87, and 61.28%, respectively. Traditionally baked biscuits, which had a more obvious color, as characterized by lower L value, larger a and b values, are more susceptible to the formation of TPHs. Therefore, microwave baking can reduce the generation of TPHs.

摘要

为降低热加工危害(TPHs),微波烘焙已广泛应用于食品热加工。本研究探讨了微波功率和微波时间对微波烘焙饼干中TPHs及其前体形成的影响。结果表明,丙烯酰胺、5-羟甲基糠醛、甲基乙二醛和3-脱氧葡萄糖醛酮的含量随微波时间(2、2.5和3分钟)和微波功率(440、480和520瓦)的延长呈线性增加。这四种TPHs之间存在显著相关性。3-脱氧葡萄糖醛酮可能直接或间接参与其他三种TPHs的形成。分析了TPHs水平与一些热诱导感官特性之间的关系。感官特性与TPHs含量的相关性为L>a>硬度>水分活度(AW)。L值与四种TPHs的相关系数分别为-0.950、-0.891、-0.803和-0.985。此外,比较了相同质地水平下传统烘焙和微波烘焙产生的TPHs含量。与传统烘焙(190℃,7分钟)相比,440瓦微波烘焙3分钟成功地使甲基乙二醛、3-脱氧葡萄糖醛酮、丙烯酰胺和5-羟甲基糠醛含量分别降低了60.75%、30.19%、30.87%和61.28%。传统烘焙的饼干颜色更明显,其特征是L值较低,a和b值较大,更容易形成TPHs。因此,微波烘焙可以减少TPHs的产生。

https://cdn.ncbi.nlm.nih.gov/pmc/blobs/dc98/8914164/32c1b63d9f99/fnut-09-825365-g0003.jpg
https://cdn.ncbi.nlm.nih.gov/pmc/blobs/dc98/8914164/102b6e5272cc/fnut-09-825365-g0001.jpg
https://cdn.ncbi.nlm.nih.gov/pmc/blobs/dc98/8914164/64127865f070/fnut-09-825365-g0002.jpg
https://cdn.ncbi.nlm.nih.gov/pmc/blobs/dc98/8914164/32c1b63d9f99/fnut-09-825365-g0003.jpg
https://cdn.ncbi.nlm.nih.gov/pmc/blobs/dc98/8914164/102b6e5272cc/fnut-09-825365-g0001.jpg
https://cdn.ncbi.nlm.nih.gov/pmc/blobs/dc98/8914164/64127865f070/fnut-09-825365-g0002.jpg
https://cdn.ncbi.nlm.nih.gov/pmc/blobs/dc98/8914164/32c1b63d9f99/fnut-09-825365-g0003.jpg

相似文献

1
The Effect of Microwave Baking Conditions on the Quality of Biscuits and the Control of Thermal Processing Hazards in the Maillard Reaction.微波烘焙条件对饼干品质的影响及美拉德反应中热加工危害的控制
Front Nutr. 2022 Feb 25;9:825365. doi: 10.3389/fnut.2022.825365. eCollection 2022.
2
Quality Formation of Adzuki Bean Baked: From Acrylamide to Volatiles under Microwave Heating and Drum Roasting.小豆烘焙品质形成:微波加热和滚筒烘焙条件下从丙烯酰胺到挥发性物质的变化
Foods. 2021 Nov 10;10(11):2762. doi: 10.3390/foods10112762.
3
Dielectric properties, optimum formulation and microwave baking conditions of chickpea cakes.鹰嘴豆饼的介电特性、最佳配方及微波烘焙条件
J Food Sci Technol. 2017 Mar;54(4):944-953. doi: 10.1007/s13197-016-2371-0. Epub 2016 Dec 17.
4
Investigation of variations in the acrylamide and N(ε) -(carboxymethyl) lysine contents in cookies during baking.烘焙过程中饼干中丙烯酰胺和N(ε)-(羧甲基)赖氨酸含量变化的研究。
J Food Sci. 2014 May;79(5):T1030-8. doi: 10.1111/1750-3841.12450. Epub 2014 Apr 15.
5
Acrylamide formation in biscuits made of different wholegrain flours depending on their free asparagine content and baking conditions.不同全麦粉制成的饼干中丙烯酰胺的形成情况取决于其游离天冬酰胺含量和烘焙条件。
Food Res Int. 2020 Jun;132:109109. doi: 10.1016/j.foodres.2020.109109. Epub 2020 Feb 19.
6
Formation of 3-MCPD and glycidyl esters in biscuits produced using soybean oil-based diacylglycerol stearin-shortening blends: Impacts of different baking temperatures and blending ratios.在使用基于大豆油的二酰基甘油硬脂精-起酥油混合物生产的饼干中形成 3-MCPD 和缩水甘油酯:不同烘焙温度和混合比例的影响。
Food Res Int. 2022 Dec;162(Pt B):112055. doi: 10.1016/j.foodres.2022.112055. Epub 2022 Oct 20.
7
Influence of final baking technologies in partially baked frozen gluten-free bread quality.最终烘焙技术对部分烘焙冷冻无麸质面包品质的影响。
J Food Sci. 2015 Mar;80(3):E619-26. doi: 10.1111/1750-3841.12784. Epub 2015 Feb 5.
8
Investigation of dielectric properties, total phenolic content and optimum formulation of microwave baked gluten-free cakes.微波烘焙无麸质蛋糕的介电特性、总酚含量及最佳配方研究
J Food Sci Technol. 2019 Mar;56(3):1530-1540. doi: 10.1007/s13197-019-03647-3. Epub 2019 Feb 18.
9
Influence of baking conditions and formulation on furanic derivatives, 3-methylbutanal and hexanal and other quality characteristics of lab-made and commercial biscuits.烘焙条件和配方对实验室自制和商业饼干中呋喃衍生物、3-甲基丁醛和己醛及其他质量特性的影响。
Food Chem. 2024 Mar 30;437(Pt 1):137791. doi: 10.1016/j.foodchem.2023.137791. Epub 2023 Oct 20.
10
Development and performance evaluation of an improved electric baking oven for baked products.一种改良型烘焙产品电烤炉的研制与性能评估
Food Sci Nutr. 2023 Mar 17;11(6):3057-3066. doi: 10.1002/fsn3.3287. eCollection 2023 Jun.

引用本文的文献

1
Maillard Reaction in Flour Product Processing: Mechanism, Impact on Quality, and Mitigation Strategies of Harmful Products.面粉制品加工中的美拉德反应:机制、对品质的影响及有害产物的缓解策略
Foods. 2025 Aug 3;14(15):2721. doi: 10.3390/foods14152721.
2
Potential of Hyperthermophilic L-Asparaginase from to Mitigate Dietary Acrylamide Assessed Using a Simplified Food System.利用简化食品体系评估嗜热栖热菌来源的嗜热L-天冬酰胺酶减轻膳食丙烯酰胺的潜力。
Foods. 2025 May 12;14(10):1720. doi: 10.3390/foods14101720.
3
Strategies to reduce neurotoxic acrylamide in biscuits, a systematic review.

本文引用的文献

1
Influence of different cooking methods on the nutritional and potentially harmful components of peanuts.不同烹饪方法对花生营养成分和潜在有害成分的影响。
Food Chem. 2020 Jun 30;316:126269. doi: 10.1016/j.foodchem.2020.126269. Epub 2020 Jan 21.
2
Investigation of dielectric properties, total phenolic content and optimum formulation of microwave baked gluten-free cakes.微波烘焙无麸质蛋糕的介电特性、总酚含量及最佳配方研究
J Food Sci Technol. 2019 Mar;56(3):1530-1540. doi: 10.1007/s13197-019-03647-3. Epub 2019 Feb 18.
3
Mitigation of 3-deoxyglucosone and 5-hydroxymethylfurfural in brown fermented milk via an alternative browning process based on the hydrolysis of endogenous lactose.
减少饼干中神经毒性丙烯酰胺的策略:一项系统综述
Toxicol Rep. 2024 Sep 24;13:101751. doi: 10.1016/j.toxrep.2024.101751. eCollection 2024 Dec.
4
Characterization of Plant-Based Meat Treated with Hot Air and Microwave Heating.热风和微波加热处理的植物基肉制品特性研究
Foods. 2024 Aug 26;13(17):2697. doi: 10.3390/foods13172697.
5
Formation and metabolism of 6-(1-acetol)-8-(1-acetol)-rutin in foods and , and their cytotoxicity.食品中6-(1-乙酰氧基)-8-(1-乙酰氧基)-芦丁的形成、代谢及其细胞毒性
Front Nutr. 2022 Aug 2;9:973048. doi: 10.3389/fnut.2022.973048. eCollection 2022.
6
Mitigation of Acrylamide Content in Biscuits through Combined Physical and Chemical Strategies.通过物理和化学联合策略降低饼干中丙烯酰胺的含量
Foods. 2022 Aug 5;11(15):2343. doi: 10.3390/foods11152343.
7
Effects of Air Frying on French Fries: The Indication Role of Physicochemical Properties on the Formation of Maillard Hazards, and the Changes of Starch Digestibility.空气炸制对薯条的影响:物理化学性质在美拉德危害形成中的指示作用以及淀粉消化率的变化
Front Nutr. 2022 Apr 27;9:889901. doi: 10.3389/fnut.2022.889901. eCollection 2022.
通过基于内源性乳糖水解的替代美拉德反应过程来减轻棕色发酵乳中的 3-脱氧葡萄糖和 5-羟甲基糠醛。
Food Funct. 2019 Apr 17;10(4):2022-2029. doi: 10.1039/c8fo02023j.
4
Structural modification and digestibility change of β-lactoglobulin modified by methylglyoxal with the simulated reheating of dairy products.美拉德反应产物对β-乳球蛋白结构与消化性能的影响及其在乳制品模拟再热中的变化。
Food Chem. 2019 Aug 1;288:276-282. doi: 10.1016/j.foodchem.2019.03.021. Epub 2019 Mar 9.
5
Effect of formulation and baking conditions on the structure and development of non-enzymatic browning in biscuit models using images.使用图像研究配方和烘焙条件对饼干模型中非酶褐变的结构及发展的影响。
J Food Sci Technol. 2018 Apr;55(4):1234-1243. doi: 10.1007/s13197-017-3008-7. Epub 2018 Feb 20.
6
A Comparison Study of Frying Conditions on Furan Formation in 3 Potato Varieties.三种马铃薯品种中油炸条件对呋喃形成影响的比较研究
J Food Sci. 2016 Aug;81(8):T2114-21. doi: 10.1111/1750-3841.13386. Epub 2016 Jul 4.
7
Model studies on the role of 5-hydroxymethyl-2-furfural in acrylamide formation from asparagine.模型研究 5-羟甲基-2-糠醛在天冬酰胺形成丙烯酰胺中的作用。
Food Chem. 2012 May 1;132(1):168-74. doi: 10.1016/j.foodchem.2011.10.048. Epub 2011 Oct 19.
8
Correlation of methylglyoxal with acrylamide formation in fructose/asparagine Maillard reaction model system.甲基乙二醛与果糖/天冬酰胺美拉德反应模型体系中丙烯酰胺形成的相关性
Food Chem. 2008 Jun 1;108(3):885-90. doi: 10.1016/j.foodchem.2007.11.054. Epub 2007 Nov 29.
9
Acrylamide in Caribbean foods - residual levels and their relation to reducing sugar and asparagine content.加勒比地区食物中的丙烯酰胺——残留水平及其与还原糖和天冬酰胺含量的关系。
Food Chem. 2012 Jul 15;133(2):451-7. doi: 10.1016/j.foodchem.2012.01.067. Epub 2012 Jan 31.
10
Investigations on the Maillard reaction of dextrins during aging of Pilsner type beer.皮尔森型啤酒老化过程中糊精美拉德反应的研究。
J Agric Food Chem. 2014 Oct 8;62(40):9876-84. doi: 10.1021/jf503038c. Epub 2014 Sep 30.