Suppr超能文献

分子系统中的非共价相互作用:氨基醚和氨基醇中氢键强度的热力学评估。

Non-Covalent Interactions in Molecular Systems: Thermodynamic Evaluation of the Hydrogen-Bond Strength in Amino-Ethers and Amino-Alcohols.

机构信息

Department of Physical Chemistry and Faculty of Interdisciplinary Research, Competence Centre CALOR, University of Rostock, 18059, Rostock, Germany.

Nikolaev Institute of Inorganic Chemistry of Siberian Branch of Russian Academy of Sciences, 630090, Novosibirsk, Russia.

出版信息

Chemistry. 2022 May 11;28(27):e202200080. doi: 10.1002/chem.202200080. Epub 2022 Apr 1.

Abstract

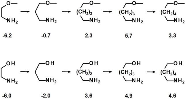
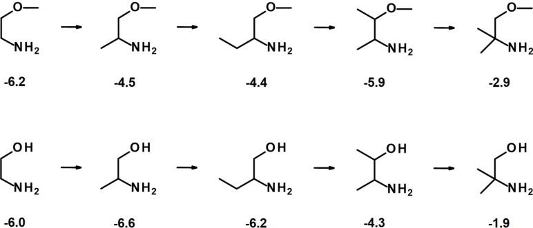
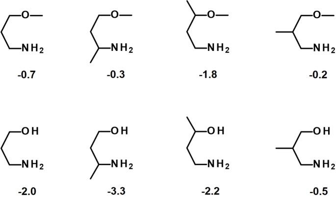
The intramolecular hydrogen bond (intra-HB) is one of the best-known examples of non-covalent interactions in molecules. Among the different types of intramolecular hydrogen bonding, the NH⋅⋅⋅O hydrogen bond in amino-alcohols and amino-ethers is one of the weakest. In contrast to the strong OH⋅⋅⋅N intramolecular hydrogen bond, the strength of the NH⋅⋅⋅O bond can hardly be measured with conventional spectroscopic methods, even for simple amino-alcohols, since the band belonging to the NH⋅⋅⋅O conformer merges with the free OH band. In this work, we developed a combination of G4 calculations, and a method based on experimental vaporization enthalpies to determine the NH⋅⋅⋅O hydrogen bonding strength. The archetypal compounds for this study are 2-amino-1-ethanol and 3-amino-1-propanol as well as their respective methoxy analogs. Based on these molecules, different series were studied to investigate various factors influencing NH⋅⋅⋅O intra-HB strength. In the first series, the influence of alkylation near the hydroxy or methoxy group and the amino group in sterically hindered aminoalcohols was examined. In the second series, the influence of alkylation of the amino-group was investigated. In the third series, the effect of extending the alkyl chain between functional groups was studied.

摘要

分子内氢键(intra-HB)是分子中非共价相互作用的最著名例子之一。在不同类型的分子内氢键中,氨基酸醇和氨基酸醚中的 NH⋅⋅⋅O 氢键是最弱的之一。与强的 OH⋅⋅⋅N 分子内氢键相比,即使对于简单的氨基酸醇,NH⋅⋅⋅O 键的强度也很难用常规光谱方法测量,因为属于 NH⋅⋅⋅O 构象的带与游离 OH 带合并。在这项工作中,我们开发了 G4 计算和基于实验汽化焓的方法相结合,以确定 NH⋅⋅⋅O 氢键的强度。这项研究的典型化合物是 2-氨基-1-乙醇和 3-氨基-1-丙醇及其相应的甲氧基类似物。基于这些分子,研究了不同系列以研究影响 NH⋅⋅⋅O 内氢键强度的各种因素。在第一个系列中,研究了在羟基或甲氧基附近以及在空间位阻氨基酸醇中氨基的烷基化的影响。在第二个系列中,研究了氨基烷基化的影响。在第三个系列中,研究了在官能团之间延长烷基链的效果。

https://cdn.ncbi.nlm.nih.gov/pmc/blobs/6f45/9325416/0b4c554f848b/CHEM-28-0-g008.jpg

文献AI研究员

20分钟写一篇综述,助力文献阅读效率提升50倍。

立即体验

用中文搜PubMed

大模型驱动的PubMed中文搜索引擎

马上搜索

文档翻译

学术文献翻译模型,支持多种主流文档格式。

立即体验