Suppr超能文献

在局部晚期胰腺癌患者中使用纳米白蛋白结合型紫杉醇加吉西他滨,随后进行大分割断层放疗并同步整合加量放疗。

Use of Nab-Paclitaxel Plus Gemcitabine Followed by Hypofractionated Tomotherapy With Simultaneous Integrated Boost in Patients With Locally Advanced Pancreatic Cancer.

作者信息

Shi Zhan, Yang Ju, Kong Weiwei, Qiu Xin, Lu Changchang, Liu Juan, Liu Baorui, Du Juan

机构信息

The Comprehensive Cancer Centre of Drum Tower Hospital, Medical School of Nanjing University, Clinical Cancer Institute of Nanjing University, Nanjing, China.

The Comprehensive Cancer Center of Drum Tower Hospital, Clinical College of Traditional Chinese and Western Medicine, Nanjing University of Chinese Medicine, Nanjing, China.

出版信息

Front Oncol. 2022 Mar 1;12:782730. doi: 10.3389/fonc.2022.782730. eCollection 2022.

Abstract

BACKGROUND AND PURPOSE

A phase 2 study LAPACT indicated nab-paclitaxel plus gemcitabine (AG) improved outcomes of patients with locally advanced pancreatic cancer (LAPC). Conventional radiotherapy failed to show benefit, indicating high dose to volume with high risk of recurrence is needed. The high dose can be delivered through hypofractionated tomotherapy with simultaneous integrated boost (SIB). However, there is a lack of such prospective trials and more data are needed to validate the role of AG plus hypofractionated tomotherapy with SIB in patients with LAPC.

MATERIALS AND METHODS

Patients with LAPC receiving AG plus tomotherapy at the Nanjing Drum Tower Hospital between 2018 and 2021 were retrospectively analyzed. The treatment was scheduled as follows: nab-paclitaxel 125 mg/m plus gemcitabine 1,000 mg/m on days 1 and 8 every three weeks for at least two cycles, followed by hypofractionated tomotherapy with SIB (high dose field: 50 Gy/10 fractions, the remainder: 30 Gy/10 fractions). Then patients were given AG until intolerance or disease progression.

RESULTS

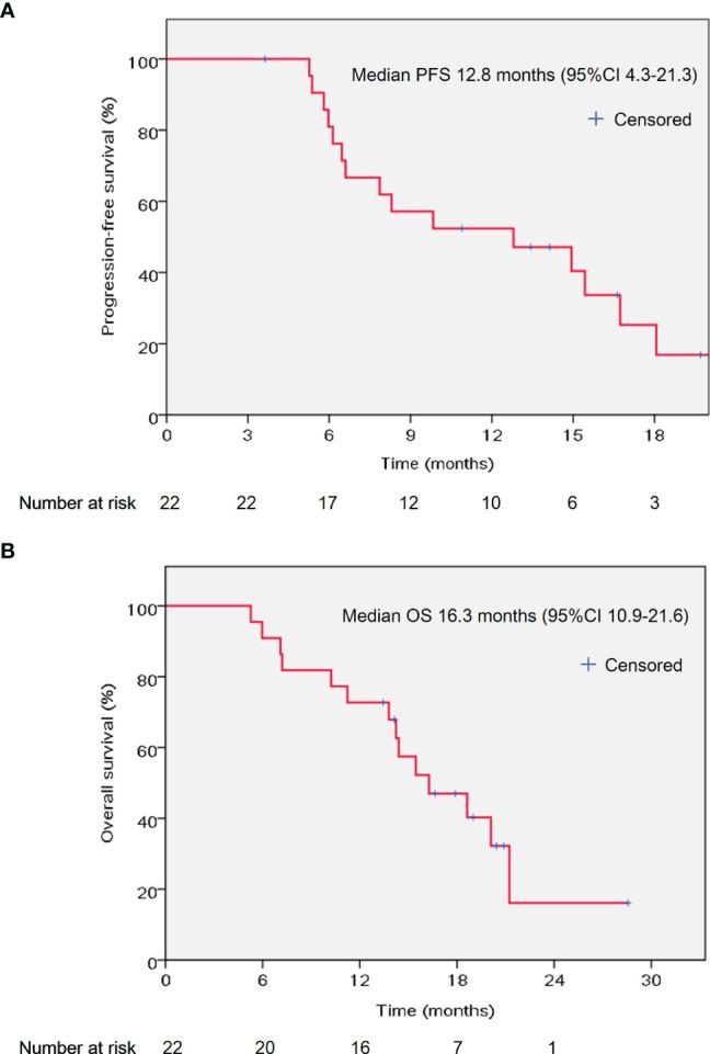
Overall, 22 patients completing the chemoradiotherapy were included. The median follow-up was 15.2 months. After the chemoradiotherapy, 5 patients achieved a partial response (PR), 15 had a stable disease (SD), and another 2 patients were with progressive disease (PD). The median progression-free survival (PFS) and overall survival (OS) were 12.8 months (95% confidence interval [CI] 4.3-21.3 months) and 16.3 months (95% CI 10.9-21.6 months), respectively. The optimal carbohydrate antigen (CA) 19-9 response and chemotherapy cycles ≥6 were correlated with favorable PFS and OS. The most common recurrent pattern was peritoneal dissemination (22.7%) and the locoregional recurrence rate was relatively low (4.5%). Treatments were well-tolerated. The most common grade ≥3 adverse event was thrombocytopenia (13.6%).

CONCLUSION

This study demonstrated the feasibility of AG followed by hypofractionated tomotherapy with SIB in patients with LAPC. The hypofractionated tomotherapy with SIB was safe and showed high local control rate. Further study with a larger population to validate our data is underway.

摘要

背景与目的

一项2期研究LAPACT表明,纳米白蛋白结合型紫杉醇联合吉西他滨(AG)可改善局部晚期胰腺癌(LAPC)患者的预后。传统放疗未显示出益处,这表明需要给予高剂量体积照射以降低复发风险。高剂量可通过同步整合加量的大分割断层放疗来实现。然而,目前缺乏此类前瞻性试验,需要更多数据来验证AG联合同步整合加量的大分割断层放疗在LAPC患者中的作用。

材料与方法

对2018年至2021年期间在南京鼓楼医院接受AG联合断层放疗的LAPC患者进行回顾性分析。治疗方案如下:纳米白蛋白结合型紫杉醇125mg/m²加吉西他滨1000mg/m²,每三周的第1天和第8天给药,至少两个周期,随后进行同步整合加量的大分割断层放疗(高剂量区:50Gy/10次,其余:30Gy/10次)。然后给予患者AG治疗,直至出现不耐受或疾病进展。

结果

总体而言,纳入了22例完成放化疗的患者。中位随访时间为15.2个月。放化疗后,5例患者达到部分缓解(PR),15例病情稳定(SD),另外2例患者疾病进展(PD)。中位无进展生存期(PFS)和总生存期(OS)分别为12.8个月(95%置信区间[CI]4.3 - 21.3个月)和16.3个月(95%CI 10.9 - 21.6个月)。最佳糖类抗原(CA)19 - 9反应和化疗周期≥6与良好的PFS和OS相关。最常见的复发模式是腹膜播散(22.7%),局部区域复发率相对较低(4.5%)。治疗耐受性良好。最常见的≥3级不良事件是血小板减少(13.6%)。

结论

本研究证明了AG序贯同步整合加量的大分割断层放疗在LAPC患者中的可行性。同步整合加量的大分割断层放疗安全且局部控制率高。正在进行更大规模人群的进一步研究以验证我们的数据。

https://cdn.ncbi.nlm.nih.gov/pmc/blobs/1786/8922029/c086b4c28e68/fonc-12-782730-g001.jpg

文献检索

告别复杂PubMed语法,用中文像聊天一样搜索,搜遍4000万医学文献。AI智能推荐,让科研检索更轻松。

立即免费搜索

文件翻译

保留排版,准确专业,支持PDF/Word/PPT等文件格式,支持 12+语言互译。

免费翻译文档

深度研究

AI帮你快速写综述,25分钟生成高质量综述,智能提取关键信息,辅助科研写作。

立即免费体验