Suppr超能文献

局部可切除性子宫平滑肌肉瘤的辅助治疗回顾性分析。

Retrospective analysis of adjuvant treatment for localized, operable uterine leiomyosarcoma.

机构信息

Division of Hematology-Oncology, Department of Medicine, University of California, Los Angeles, California, USA.

Division of Medical Oncology, Department of Medicine, Siriraj Hospital, Mahidol University, Bangkok, Thailand.

出版信息

Cancer Med. 2022 Aug;11(15):2906-2912. doi: 10.1002/cam4.4665. Epub 2022 Mar 20.

Abstract

OBJECTIVE

Currently, there is no standard adjuvant treatment protocol for localized uterine leiomyosarcoma (uLMS) as clinical trials to address this question have been retrospective, underpowered, or undermined by slow accrual rates. The aim of this study is to determine the benefit of adjuvant chemotherapy for uLMS.

METHODS

We reviewed the medical records of localized uLMS patients who had underwent adjuvant therapy after upfront surgery between 2000 and 2020. The cases were blinded for review. We evaluated the influence of various clinical characteristics and different types of adjuvant therapies on specific outcomes.

RESULTS

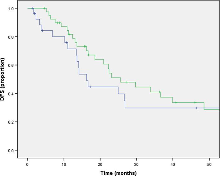
Sixty-eight patients (median age: 50 years) were included for analysis. Forty of 68 (58.8%) patients received adjuvant chemotherapy +/- radiation therapy and 25 patients (38.6%) did not receive any adjuvant therapy. At a median follow-up time of 43.3 months, 45 patients (66.1%) had relapsed disease. The median disease-free survival (mDFS) for all patients was 23.1 months. Patients who received any adjuvant treatment (chemotherapy and/or radiation) trended toward a longer mDFS compared with those who did not receive any adjuvant therapy (29.7 vs. 14.1 months, p = 0.26). Patients who received adjuvant chemotherapy alone had a longer, but nonstatistically significant mDFS compared with those who did not receive any adjuvant treatment (22.2 vs. 14.1 months, p = 0.18). Additionally, univariate analysis found that tumor size large than 10 cm, and a mitotic rate >10/10hpf were independent prognostic factors for worse DFS.

CONCLUSIONS

Though DFS was more favorable among those who received adjuvant therapy, it was not statistically significant, and thus based on this data adjuvant therapy for resected uLMS is still in question.

摘要

目的

目前,对于局限性子宫平滑肌肉瘤(uLMS)尚无标准的辅助治疗方案,因为针对这一问题的临床试验都是回顾性的,并且效力不足,或者由于入组速度缓慢而受到影响。本研究旨在确定辅助化疗对 uLMS 的益处。

方法

我们回顾了 2000 年至 2020 年期间接受初始手术治疗后接受辅助治疗的局限性 uLMS 患者的病历。对这些病例进行了盲法审查。我们评估了各种临床特征和不同类型的辅助治疗对特定结局的影响。

结果

共有 68 例患者(中位年龄:50 岁)纳入分析。68 例患者中有 40 例(58.8%)接受了辅助化疗+/-放疗,25 例(38.6%)未接受任何辅助治疗。在中位随访时间为 43.3 个月时,45 例(66.1%)患者出现疾病复发。所有患者的中位无疾病生存时间(mDFS)为 23.1 个月。接受任何辅助治疗(化疗和/或放疗)的患者的 mDFS 趋势长于未接受任何辅助治疗的患者(29.7 与 14.1 个月,p=0.26)。接受单独辅助化疗的患者的 mDFS 较长,但无统计学意义(22.2 与 14.1 个月,p=0.18)。此外,单因素分析发现肿瘤直径大于 10cm 和核分裂率>10/10hpf 是 DFS 更差的独立预后因素。

结论

尽管接受辅助治疗的患者的 DFS 更有利,但无统计学意义,因此基于这些数据,对于切除的 uLMS 进行辅助治疗仍存在疑问。

https://cdn.ncbi.nlm.nih.gov/pmc/blobs/0c07/9359871/17c26f9ef912/CAM4-11-2906-g001.jpg

文献检索

告别复杂PubMed语法,用中文像聊天一样搜索,搜遍4000万医学文献。AI智能推荐,让科研检索更轻松。

立即免费搜索

文件翻译

保留排版,准确专业,支持PDF/Word/PPT等文件格式,支持 12+语言互译。

免费翻译文档

深度研究

AI帮你快速写综述,25分钟生成高质量综述,智能提取关键信息,辅助科研写作。

立即免费体验