• 文献检索
  • 文档翻译
  • 深度研究
  • 学术资讯
  • Suppr Zotero 插件Zotero 插件
  • 邀请有礼
  • 套餐&价格
  • 历史记录
应用&插件
Suppr Zotero 插件Zotero 插件浏览器插件Mac 客户端Windows 客户端微信小程序
定价
高级版会员购买积分包购买API积分包
服务
文献检索文档翻译深度研究API 文档MCP 服务
关于我们
关于 Suppr公司介绍联系我们用户协议隐私条款
关注我们

Suppr 超能文献

核心技术专利:CN118964589B侵权必究
粤ICP备2023148730 号-1Suppr @ 2026

文献检索

告别复杂PubMed语法,用中文像聊天一样搜索,搜遍4000万医学文献。AI智能推荐,让科研检索更轻松。

立即免费搜索

文件翻译

保留排版,准确专业,支持PDF/Word/PPT等文件格式,支持 12+语言互译。

免费翻译文档

深度研究

AI帮你快速写综述,25分钟生成高质量综述,智能提取关键信息,辅助科研写作。

立即免费体验

利用表达数量性状基因座进行全基因组关联研究的二次分析。

Secondary analyses for genome-wide association studies using expression quantitative trait loci.

机构信息

Department of Biostatistics, Johns Hopkins Bloomberg School of Public Health, Baltimore, Maryland, USA.

Department of Medicine, Johns Hopkins University School of Medicine, Baltimore, Maryland, USA.

出版信息

Genet Epidemiol. 2022 Apr;46(3-4):170-181. doi: 10.1002/gepi.22448. Epub 2022 Mar 21.

DOI:10.1002/gepi.22448
PMID:35312098
原文链接:https://pmc.ncbi.nlm.nih.gov/articles/PMC9086181/
Abstract

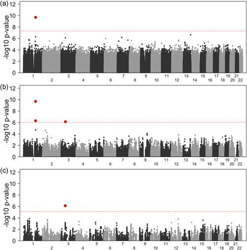
Genome-wide association studies (GWAS) have successfully identified thousands of single nucleotide polymorphisms (SNPs) associated with complex traits; however, the identified SNPs account for a fraction of trait heritability, and identifying the functional elements through which genetic variants exert their effects remains a challenge. Recent evidence suggests that SNPs associated with complex traits are more likely to be expression quantitative trait loci (eQTL). Thus, incorporating eQTL information can potentially improve power to detect causal variants missed by traditional GWAS approaches. Using genomic, transcriptomic, and platelet phenotype data from the Genetic Study of Atherosclerosis Risk family-based study, we investigated the potential to detect novel genomic risk loci by incorporating information from eQTL in the relevant target tissues (i.e., platelets and megakaryocytes) using established statistical principles in a novel way. Permutation analyses were performed to obtain family-wise error rates for eQTL associations, substantially lowering the genome-wide significance threshold for SNP-phenotype associations. In addition to confirming the well known association between PEAR1 and platelet aggregation, our eQTL-focused approach identified a novel locus (rs1354034) and gene (ARHGEF3) not previously identified in a GWAS of platelet aggregation phenotypes. A colocalization analysis showed strong evidence for a functional role of this eQTL.

摘要

全基因组关联研究(GWAS)已经成功地鉴定出了数千个与复杂性状相关的单核苷酸多态性(SNP);然而,所鉴定的 SNP 仅占性状遗传力的一小部分,并且确定遗传变异通过哪些功能元件发挥作用仍然是一个挑战。最近的证据表明,与复杂性状相关的 SNP 更有可能是表达数量性状基因座(eQTL)。因此,纳入 eQTL 信息有可能提高通过传统 GWAS 方法错过的因果变异的检测能力。利用动脉粥样硬化风险遗传研究的基于家族的基因组、转录组和血小板表型数据,我们采用既定的统计原理,以新颖的方式研究了通过纳入相关靶组织(即血小板和巨核细胞)中的 eQTL 信息来检测新的基因组风险位点的潜力。通过置换分析获得了 eQTL 关联的组间错误率,从而大大降低了 SNP-表型关联的全基因组显著性阈值。除了证实 PEAR1 与血小板聚集之间众所周知的关联外,我们的 eQTL 重点方法还确定了一个以前在血小板聚集表型的 GWAS 中未发现的新位点(rs1354034)和基因(ARHGEF3)。共定位分析表明该 eQTL 具有很强的功能作用。

https://cdn.ncbi.nlm.nih.gov/pmc/blobs/98ba/9541311/1fac15e23abc/GEPI-46-170-g002.jpg
https://cdn.ncbi.nlm.nih.gov/pmc/blobs/98ba/9541311/c02b8308d9d5/GEPI-46-170-g001.jpg
https://cdn.ncbi.nlm.nih.gov/pmc/blobs/98ba/9541311/1fac15e23abc/GEPI-46-170-g002.jpg
https://cdn.ncbi.nlm.nih.gov/pmc/blobs/98ba/9541311/c02b8308d9d5/GEPI-46-170-g001.jpg
https://cdn.ncbi.nlm.nih.gov/pmc/blobs/98ba/9541311/1fac15e23abc/GEPI-46-170-g002.jpg

相似文献

1
Secondary analyses for genome-wide association studies using expression quantitative trait loci.利用表达数量性状基因座进行全基因组关联研究的二次分析。
Genet Epidemiol. 2022 Apr;46(3-4):170-181. doi: 10.1002/gepi.22448. Epub 2022 Mar 21.
2
Endometrial vezatin and its association with endometriosis risk.子宫内膜 vezatin 及其与子宫内膜异位症风险的关联。
Hum Reprod. 2016 May;31(5):999-1013. doi: 10.1093/humrep/dew047. Epub 2016 Mar 22.
3
SNP eQTL status and eQTL density in the adjacent region of the SNP are associated with its statistical significance in GWA studies.SNP 的 eQTL 状态和 SNP 相邻区域的 eQTL 密度与其在 GWAS 研究中的统计学意义相关。
BMC Genet. 2019 Nov 12;20(1):85. doi: 10.1186/s12863-019-0786-0.
4
Association between Expression Quantitative Trait Loci and Metabolic Traits in Two Korean Populations.两个韩国人群中表达数量性状位点与代谢性状之间的关联。
PLoS One. 2014 Dec 10;9(12):e114128. doi: 10.1371/journal.pone.0114128. eCollection 2014.
5
iFunMed: Integrative functional mediation analysis of GWAS and eQTL studies.iFunMed:GWAS 和 eQTL 研究的综合功能中介分析。
Genet Epidemiol. 2019 Oct;43(7):742-760. doi: 10.1002/gepi.22217. Epub 2019 Jul 22.
6
How powerful are summary-based methods for identifying expression-trait associations under different genetic architectures?基于汇总数据的方法在不同遗传结构下识别表达性状关联的能力有多强?
Pac Symp Biocomput. 2018;23:228-239.
7
Expression quantitative trait loci analysis identifies associations between genotype and gene expression in human intestine.表达数量性状基因座分析鉴定了人类肠道中基因型与基因表达之间的关联。
Gastroenterology. 2013 Jun;144(7):1488-96, 1496.e1-3. doi: 10.1053/j.gastro.2013.03.001. Epub 2013 Mar 6.
8
Genetic control of gene expression at novel and established chronic obstructive pulmonary disease loci.新发和已确定的慢性阻塞性肺疾病基因座处基因表达的遗传控制。
Hum Mol Genet. 2015 Feb 15;24(4):1200-10. doi: 10.1093/hmg/ddu525. Epub 2014 Oct 14.
9
Exploring the Interplay between the Hologenome and Complex Traits in Bovine and Porcine Animals Using Genome-Wide Association Analysis.利用全基因组关联分析探索牛和猪动物的整体基因组与复杂性状之间的相互作用。
Int J Mol Sci. 2024 Jun 5;25(11):6234. doi: 10.3390/ijms25116234.
10
Integrating eQTL data with GWAS summary statistics in pathway-based analysis with application to schizophrenia.在基于通路的分析中将表达数量性状基因座(eQTL)数据与全基因组关联研究(GWAS)汇总统计数据相结合,并应用于精神分裂症研究。
Genet Epidemiol. 2018 Apr;42(3):303-316. doi: 10.1002/gepi.22110. Epub 2018 Feb 7.

引用本文的文献

1
Genetic basis of pregnancy-associated decreased platelet counts and gestational thrombocytopenia.妊娠相关血小板减少症和妊娠期血小板减少症的遗传基础。
Blood. 2024 Apr 11;143(15):1528-1538. doi: 10.1182/blood.2023021925.
2
Benchmarking statistical methods for analyzing parent-child dyads in genetic association studies.用于分析遗传关联研究中亲子对子的统计方法的基准测试。
Genet Epidemiol. 2022 Jul;46(5-6):266-284. doi: 10.1002/gepi.22453. Epub 2022 Apr 22.

本文引用的文献

1
From GWAS to Gene: Transcriptome-Wide Association Studies and Other Methods to Functionally Understand GWAS Discoveries.从全基因组关联研究到基因:转录组范围关联研究及其他功能性理解全基因组关联研究发现的方法。
Front Genet. 2021 Sep 30;12:713230. doi: 10.3389/fgene.2021.713230. eCollection 2021.
2
Genome sequencing unveils a regulatory landscape of platelet reactivity.基因组测序揭示了血小板反应性的调控图谱。
Nat Commun. 2021 Jun 15;12(1):3626. doi: 10.1038/s41467-021-23470-9.
3
Gene and protein expression in human megakaryocytes derived from induced pluripotent stem cells.
人诱导多能干细胞来源巨核细胞中的基因和蛋白表达。
J Thromb Haemost. 2021 Jul;19(7):1783-1799. doi: 10.1111/jth.15334. Epub 2021 May 6.
4
Sequencing of 53,831 diverse genomes from the NHLBI TOPMed Program.美国国立卫生研究院生物医学高级研究与发展局(NHLBI)TOPMed 项目中对 53831 个不同基因组进行测序。
Nature. 2021 Feb;590(7845):290-299. doi: 10.1038/s41586-021-03205-y. Epub 2021 Feb 10.
5
Transcriptional profile of platelets and iPSC-derived megakaryocytes from whole-genome and RNA sequencing.来自全基因组和RNA测序的血小板及诱导多能干细胞衍生巨核细胞的转录谱。
Blood. 2021 Feb 18;137(7):959-968. doi: 10.1182/blood.2020006115.
6
A unified framework for joint-tissue transcriptome-wide association and Mendelian randomization analysis.联合组织转录组全基因组关联和孟德尔随机化分析的统一框架。
Nat Genet. 2020 Nov;52(11):1239-1246. doi: 10.1038/s41588-020-0706-2. Epub 2020 Oct 5.
7
Bayesian Genome-wide TWAS Method to Leverage both cis- and trans-eQTL Information through Summary Statistics.贝叶斯全基因组 TWAS 方法,通过汇总统计数据利用 cis- 和 trans-eQTL 信息。
Am J Hum Genet. 2020 Oct 1;107(4):714-726. doi: 10.1016/j.ajhg.2020.08.022. Epub 2020 Sep 21.
8
PhenomeXcan: Mapping the genome to the phenome through the transcriptome.PhenomeXcan:通过转录组将基因组映射到表型组。
Sci Adv. 2020 Sep 10;6(37). doi: 10.1126/sciadv.aba2083. Print 2020 Sep.
9
The GTEx Consortium atlas of genetic regulatory effects across human tissues.GTEx 联盟人类组织遗传调控效应图谱
Science. 2020 Sep 11;369(6509):1318-1330. doi: 10.1126/science.aaz1776.
10
A mega-analysis of expression quantitative trait loci in retinal tissue.视网膜组织表达数量性状基因座的 mega 分析。
PLoS Genet. 2020 Sep 1;16(9):e1008934. doi: 10.1371/journal.pgen.1008934. eCollection 2020 Sep.