• 文献检索
  • 文档翻译
  • 深度研究
  • 学术资讯
  • Suppr Zotero 插件Zotero 插件
  • 邀请有礼
  • 套餐&价格
  • 历史记录
应用&插件
Suppr Zotero 插件Zotero 插件浏览器插件Mac 客户端Windows 客户端微信小程序
定价
高级版会员购买积分包购买API积分包
服务
文献检索文档翻译深度研究API 文档MCP 服务
关于我们
关于 Suppr公司介绍联系我们用户协议隐私条款
关注我们

Suppr 超能文献

核心技术专利:CN118964589B侵权必究
粤ICP备2023148730 号-1Suppr @ 2026

文献检索

告别复杂PubMed语法,用中文像聊天一样搜索,搜遍4000万医学文献。AI智能推荐,让科研检索更轻松。

立即免费搜索

文件翻译

保留排版,准确专业,支持PDF/Word/PPT等文件格式,支持 12+语言互译。

免费翻译文档

深度研究

AI帮你快速写综述,25分钟生成高质量综述,智能提取关键信息,辅助科研写作。

立即免费体验

血清尿酸作为类风湿关节炎相关间质性肺病的诊断生物标志物。

Serum Uric Acid as a Diagnostic Biomarker for Rheumatoid Arthritis-Associated Interstitial Lung Disease.

机构信息

Department of Rheumatology and Immunology, The Second Affiliated Hospital of Nanjing Medical University, Nanjing, People's Republic of China.

Department of Rheumatology and Immunology, Shanghai Tongji Hospital, Shanghai, China.

出版信息

Inflammation. 2022 Aug;45(4):1800-1814. doi: 10.1007/s10753-022-01661-w. Epub 2022 Mar 22.

DOI:10.1007/s10753-022-01661-w
PMID:35314903
原文链接:https://pmc.ncbi.nlm.nih.gov/articles/PMC9197871/
Abstract

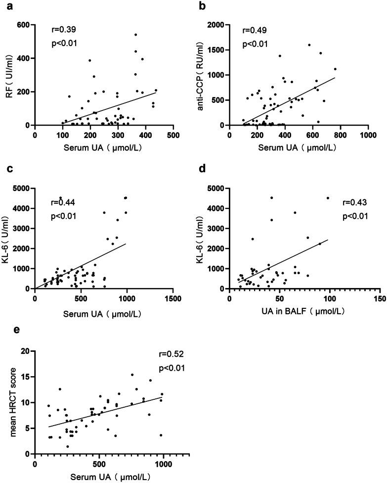
Previous studies have suggested a correlation between uric acid (UA) and lung lesion in some diseases. However, it remains unknown whether UA contributes to the lung injury in rheumatoid arthritis (RA). Our study aimed to investigate the clinical value of the UA level in the severity of rheumatoid arthritis-associated interstitial lung disease (RA-ILD). We measured UA in serum and bronchoalveolar lavage fluid (BALF), and UA levels of subjects were compared. As for the role of UA on ILD, we incubated A549 cells with UA and the expression of EMT markers was measured by immunofluorescence staining. The concentrations and messenger RNA expression of IL-1, IL-6, and transforming growth factor-β (TGF-β) were measured by ELISA and RT-PCR, respectively. We observed that serum UA levels in RA were significantly higher than those in controls. And, higher UA was measured in both serum and BALF of patients with RA-ILD, particularly those with interstitial pneumonia (UIP) pattern. Additionally, the correlation of the serum and BALF UA levels with serum KL-6, a biomarker of ILDs, in RA was significant (r = 0.44, p < 0.01; r = 0.43, p < 0.01). And, the negative correlations of UA, in both serum and BALF, with forced vital capacity (r =  -0.61, p < 0.01; r =  -0.34, p < 0.01) and diffusing capacity for carbon monoxide (r =  -0.43, p < 0.01; r =  -0.30, p < 0.01) were measured in patients. In the ROC curve analysis, the AUC value of UA for RA-ILD was 0.744 (95% CI: 0.69-0.80; p < 0.01), and the AUC of serum UA for predicting UIP pattern of patients with RA-ILD was 0.845 (95% CI: 0.78-0.91; p < 0.01), which showed the significance of the UA in clinical settings. Also, the in vitro experiment showed that UA induced epithelial-to-mesenchymal transition (EMT) and production of IL-1, IL-6, and TGF-β in A549 cells. Therefore, the elevated UA levels may be a diagnostic marker in RA-ILD, particularly RA-UIP.

摘要

先前的研究表明,在某些疾病中尿酸(UA)与肺部病变之间存在相关性。然而,UA 是否导致类风湿关节炎(RA)中的肺损伤仍不清楚。我们的研究旨在探讨 UA 水平在类风湿关节炎相关间质性肺病(RA-ILD)严重程度中的临床价值。我们测量了血清和支气管肺泡灌洗液(BALF)中的 UA 水平,并比较了受试者的 UA 水平。至于 UA 对ILD 的作用,我们用 UA 孵育 A549 细胞,并通过免疫荧光染色测量 EMT 标志物的表达。通过 ELISA 和 RT-PCR 分别测量白细胞介素-1(IL-1)、白细胞介素-6(IL-6)和转化生长因子-β(TGF-β)的浓度和信使 RNA 表达。我们观察到 RA 患者的血清 UA 水平明显高于对照组。并且,RA-ILD 患者的血清和 BALF 中均测量到较高的 UA,尤其是间质性肺炎(UIP)模式的患者。此外,RA 患者血清和 BALF UA 水平与血清 KL-6(ILD 的生物标志物)之间的相关性具有统计学意义(r=0.44,p<0.01;r=0.43,p<0.01)。并且,在患者中,血清和 BALF 中 UA 的水平与用力肺活量(r=-0.61,p<0.01;r=-0.34,p<0.01)和一氧化碳弥散量(r=-0.43,p<0.01;r=-0.30,p<0.01)呈负相关。在 ROC 曲线分析中,UA 对 RA-ILD 的 AUC 值为 0.744(95%CI:0.69-0.80;p<0.01),血清 UA 对预测 RA-ILD 患者 UIP 模式的 AUC 值为 0.845(95%CI:0.78-0.91;p<0.01),这表明 UA 在临床环境中的重要性。此外,体外实验表明 UA 诱导 A549 细胞上皮-间充质转化(EMT)和白细胞介素-1(IL-1)、白细胞介素-6(IL-6)和转化生长因子-β(TGF-β)的产生。因此,UA 水平升高可能是 RA-ILD 的诊断标志物,特别是 RA-UIP。

https://cdn.ncbi.nlm.nih.gov/pmc/blobs/11e2/9197871/bcc424e4563a/10753_2022_1661_Fig5_HTML.jpg
https://cdn.ncbi.nlm.nih.gov/pmc/blobs/11e2/9197871/8abbba6437d4/10753_2022_1661_Fig1_HTML.jpg
https://cdn.ncbi.nlm.nih.gov/pmc/blobs/11e2/9197871/a3219f8081ef/10753_2022_1661_Fig2_HTML.jpg
https://cdn.ncbi.nlm.nih.gov/pmc/blobs/11e2/9197871/f42007d94791/10753_2022_1661_Fig3_HTML.jpg
https://cdn.ncbi.nlm.nih.gov/pmc/blobs/11e2/9197871/b83a2b8db02e/10753_2022_1661_Fig4_HTML.jpg
https://cdn.ncbi.nlm.nih.gov/pmc/blobs/11e2/9197871/bcc424e4563a/10753_2022_1661_Fig5_HTML.jpg
https://cdn.ncbi.nlm.nih.gov/pmc/blobs/11e2/9197871/8abbba6437d4/10753_2022_1661_Fig1_HTML.jpg
https://cdn.ncbi.nlm.nih.gov/pmc/blobs/11e2/9197871/a3219f8081ef/10753_2022_1661_Fig2_HTML.jpg
https://cdn.ncbi.nlm.nih.gov/pmc/blobs/11e2/9197871/f42007d94791/10753_2022_1661_Fig3_HTML.jpg
https://cdn.ncbi.nlm.nih.gov/pmc/blobs/11e2/9197871/b83a2b8db02e/10753_2022_1661_Fig4_HTML.jpg
https://cdn.ncbi.nlm.nih.gov/pmc/blobs/11e2/9197871/bcc424e4563a/10753_2022_1661_Fig5_HTML.jpg

相似文献

1
Serum Uric Acid as a Diagnostic Biomarker for Rheumatoid Arthritis-Associated Interstitial Lung Disease.血清尿酸作为类风湿关节炎相关间质性肺病的诊断生物标志物。
Inflammation. 2022 Aug;45(4):1800-1814. doi: 10.1007/s10753-022-01661-w. Epub 2022 Mar 22.
2
Plasma IL-36α and IL-36γ as Potential Biomarkers in Interstitial Lung Disease Associated with Rheumatoid Arthritis: a Pilot Study in the Chinese Population.血浆白细胞介素-36α和白细胞介素-36γ作为类风湿关节炎相关间质性肺疾病的潜在生物标志物:一项中国人群的初步研究
Inflammation. 2023 Feb;46(1):285-296. doi: 10.1007/s10753-022-01733-x. Epub 2022 Aug 31.
3
Soluble programmed death molecule 1 (sPD-1) as a predictor of interstitial lung disease in rheumatoid arthritis.可溶性程序性死亡分子 1(sPD-1)作为类风湿关节炎间质性肺病的预测因子。
BMC Immunol. 2021 Oct 15;22(1):69. doi: 10.1186/s12865-021-00460-6.
4
Human epididymis protein 4 as a new diagnostic biomarker for rheumatoid arthritis-associated interstitial lung disease.人附睾蛋白 4 作为类风湿关节炎相关间质性肺疾病的新型诊断生物标志物。
Clin Exp Rheumatol. 2022 Nov;40(11):2167-2174. doi: 10.55563/clinexprheumatol/zy6hbf. Epub 2022 Mar 23.
5
Fragmented gelsolins are increased in rheumatoid arthritis-associated interstitial lung disease with usual interstitial pneumonia pattern.在类风湿关节炎相关的具有普通间质性肺炎模式的间质性肺疾病中,片段化凝溶胶蛋白增加。
Allergol Int. 2016 Jan;65(1):88-95. doi: 10.1016/j.alit.2015.08.002. Epub 2015 Sep 26.
6
Serum sCD25 is an indicator for rheumatoid arthritis-associated interstitial lung disease.血清 sCD25 是类风湿关节炎相关间质性肺疾病的一个指标。
Clin Exp Rheumatol. 2024 Mar;42(3):633-641. doi: 10.55563/clinexprheumatol/3iqvk3. Epub 2023 Sep 22.
7
The serum level and significance of lysyl oxidase-like 2 in patients with rheumatoid arthritis-associated interstitial lung disease.类风湿关节炎相关间质性肺疾病患者赖氨酰氧化酶样蛋白 2 的血清水平及意义。
Clin Rheumatol. 2018 Jan;37(1):193-198. doi: 10.1007/s10067-017-3878-0. Epub 2017 Oct 19.
8
Increased circulating Wnt5a protein in patients with rheumatoid arthritis-associated interstitial pneumonia (RA-ILD).类风湿关节炎相关间质性肺病(RA-ILD)患者循环 Wnt5a 蛋白增加。
Immunobiology. 2019 Jul;224(4):551-559. doi: 10.1016/j.imbio.2019.04.006. Epub 2019 Apr 30.
9
Expression and diagnostic value of interleukin-22 in rheumatoid arthritis-associated interstitial lung disease.白细胞介素-22 在类风湿关节炎相关间质性肺疾病中的表达及诊断价值。
Int Immunopharmacol. 2024 Jun 15;134:112173. doi: 10.1016/j.intimp.2024.112173. Epub 2024 May 9.
10
Multidimensional biomarker approach integrating tumor markers, inflammatory indicators, and disease activity indicators may improve prediction of rheumatoid arthritis-associated interstitial lung disease.整合肿瘤标志物、炎症指标和疾病活动指标的多维生物标志物方法可能会改善类风湿关节炎相关间质性肺病的预测。
Clin Rheumatol. 2024 Jun;43(6):1855-1863. doi: 10.1007/s10067-024-06984-7. Epub 2024 May 5.

引用本文的文献

1
Serum uric acid predictive value and prognostic impact in rheumatoid arthritis' associated interstitial lung disease.血清尿酸在类风湿关节炎相关间质性肺疾病中的预测价值及预后影响
Front Med (Lausanne). 2025 Aug 5;12:1623557. doi: 10.3389/fmed.2025.1623557. eCollection 2025.
2
Development and Validation of a Cost-Effective Machine Learning Model for Screening Potential Rheumatoid Arthritis in Primary Healthcare Clinics.一种用于基层医疗诊所筛查潜在类风湿性关节炎的经济高效机器学习模型的开发与验证
J Inflamm Res. 2025 Feb 3;18:1511-1522. doi: 10.2147/JIR.S487595. eCollection 2025.
3
Biomarkers of rheumatoid arthritis-associated interstitial lung disease: a systematic review and meta-analysis.

本文引用的文献

1
EMT and interstitial lung disease: a mysterious relationship.急诊医疗技术员(EMT)和间质性肺病:一种神秘的关系。
Curr Opin Pulm Med. 2012 Sep;18(5):517-23. doi: 10.1097/MCP.0b013e3283566721.
类风湿关节炎相关间质性肺疾病的生物标志物:系统评价和荟萃分析。
Front Immunol. 2024 Oct 29;15:1455346. doi: 10.3389/fimmu.2024.1455346. eCollection 2024.
4
Gout comorbidities: results from the Korean National Health and Nutrition Examination Survey.痛风合并症:来自韩国国家健康和营养检查调查的结果。
Adv Rheumatol. 2024 Sep 27;64(1):76. doi: 10.1186/s42358-024-00413-8.
5
A Systematic Review on Biomarkers: Are There Reliable Molecular Biomarkers in Patients With Rheumatoid Arthritis-Associated Interstitial Lung Disease?关于生物标志物的系统评价:类风湿关节炎相关间质性肺疾病患者中是否存在可靠的分子生物标志物?
Cureus. 2024 Aug 8;16(8):e66422. doi: 10.7759/cureus.66422. eCollection 2024 Aug.
6
Association of serum uric acid with right cardiac chamber remodeling assessed by cardiovascular magnetic resonance feature tracking in patients with connective tissue disease.血清尿酸与心血管磁共振特征追踪评估的结缔组织病患者右心腔重构的相关性。
Front Endocrinol (Lausanne). 2024 Mar 22;15:1351197. doi: 10.3389/fendo.2024.1351197. eCollection 2024.
7
A Systematic Review and Meta-Analysis of the Association between Uric Acid and Allantoin and Rheumatoid Arthritis.尿酸与尿囊素和类风湿关节炎之间关联的系统评价与荟萃分析
Antioxidants (Basel). 2023 Aug 5;12(8):1569. doi: 10.3390/antiox12081569.
8
The Interplay between Cardiovascular Risk, Cardiovascular Events, and Disease Activity in Primary Sjögren's Syndrome: Is Uric Acid the Missing Link?原发性干燥综合征中心血管风险、心血管事件与疾病活动的相互作用:尿酸是缺失的环节吗?
Nutrients. 2023 Mar 23;15(7):1563. doi: 10.3390/nu15071563.
9
Inflammatory Biomarkers in the Diagnosis and Prognosis of Rheumatoid Arthritis-Associated Interstitial Lung Disease.类风湿关节炎相关间质性肺病的诊断和预后的炎症生物标志物。
Int J Mol Sci. 2023 Apr 5;24(7):6800. doi: 10.3390/ijms24076800.
10
Unmet needs and perspectives in rheumatoid arthritis-associated interstitial lung disease: A critical review.类风湿关节炎相关间质性肺疾病的未满足需求与展望:一项批判性综述
Front Med (Lausanne). 2023 Mar 16;10:1129939. doi: 10.3389/fmed.2023.1129939. eCollection 2023.