Suppr超能文献

重力和压缩对下肢组织间液转运的影响。

The effects of gravity and compression on interstitial fluid transport in the lower limb.

机构信息

Department of Biomedical Engineering, Bucknell University, Lewisburg, PA, USA.

Department of Radiation Oncology, Massachusetts General Hospital and Harvard Medical School, Boston, MA, USA.

出版信息

Sci Rep. 2022 Mar 22;12(1):4890. doi: 10.1038/s41598-022-09028-9.

Abstract

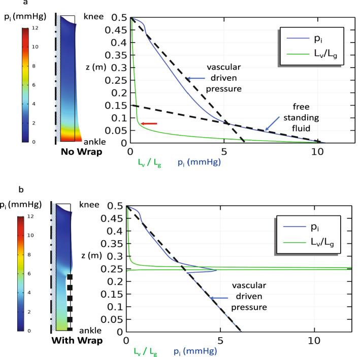
Edema in the limbs can arise from pathologies such as elevated capillary pressures due to failure of venous valves, elevated capillary permeability from local inflammation, and insufficient fluid clearance by the lymphatic system. The most common treatments include elevation of the limb, compression wraps and manual lymphatic drainage therapy. To better understand these clinical situations, we have developed a comprehensive model of the solid and fluid mechanics of a lower limb that includes the effects of gravity. The local fluid balance in the interstitial space includes a source from the capillaries, a sink due to lymphatic clearance, and movement through the interstitial space due to both gravity and gradients in interstitial fluid pressure (IFP). From dimensional analysis and numerical solutions of the governing equations we have identified several parameter groups that determine the essential length and time scales involved. We find that gravity can have dramatic effects on the fluid balance in the limb with the possibility that a positive feedback loop can develop that facilitates chronic edema. This process involves localized tissue swelling which increases the hydraulic conductivity, thus allowing the movement of interstitial fluid vertically throughout the limb due to gravity and causing further swelling. The presence of a compression wrap can interrupt this feedback loop. We find that only by modeling the complex interplay between the solid and fluid mechanics can we adequately investigate edema development and treatment in a gravity dependent limb.

摘要

肢体水肿可由多种病理因素引起,如静脉瓣膜功能不全导致的毛细血管压力升高、局部炎症导致的毛细血管通透性增加,以及淋巴系统清除能力不足。最常见的治疗方法包括抬高肢体、使用压缩绷带和手动淋巴引流疗法。为了更好地理解这些临床情况,我们开发了一个包含重力影响的下肢固液力学综合模型。间质空间中的局部流体平衡包括来自毛细血管的源、由于淋巴清除而形成的汇,以及由于重力和间质流体压力梯度导致的间质空间中的运动。通过对控制方程的维度分析和数值解,我们确定了几个决定基本长度和时间尺度的参数组。我们发现,重力对肢体中的流体平衡可能产生显著影响,并且可能会形成一个正反馈回路,从而促进慢性水肿的形成。这个过程涉及局部组织肿胀,增加了液压传导性,从而允许间质液在重力作用下沿垂直方向在整个肢体中移动,并导致进一步的肿胀。使用压缩绷带可以阻断这种反馈回路。我们发现,只有通过对固液力学之间的复杂相互作用进行建模,我们才能充分研究依赖重力的肢体中的水肿发展和治疗。

https://cdn.ncbi.nlm.nih.gov/pmc/blobs/2ab6/8941011/0003fabf831f/41598_2022_9028_Fig1_HTML.jpg

文献AI研究员

20分钟写一篇综述,助力文献阅读效率提升50倍。

立即体验

用中文搜PubMed

大模型驱动的PubMed中文搜索引擎

马上搜索

文档翻译

学术文献翻译模型,支持多种主流文档格式。

立即体验