Suppr超能文献

在不同盐水中老化的聚合物凝胶相对于凝胶剂的脱水收缩行为

Syneresis Behavior of Polymer Gels Aged in Different Brines from Gelants.

作者信息

Guo Hongbin, Ge Jijiang, Wu Qianhui, He Ziyu, Wang Wei, Cao Guojuan

机构信息

School of Petroleum Engineering, China University of Petroleum (East China), Qingdao 266580, China.

Research Institute of Exploration and Development, Tarim Oilfield Company, PetroChina, Korla 841000, China.

出版信息

Gels. 2022 Mar 7;8(3):166. doi: 10.3390/gels8030166.

Abstract

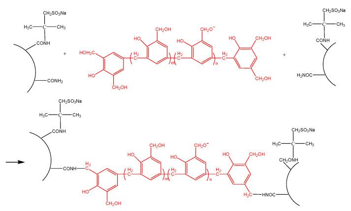
Gel syneresis is a common problem in gel treatment for oil recovery applications. In this study, a stable gel was prepared in a soft brine by using a water-soluble phenolic resin as a crosslinker, nanoparticles as a stabilizer, and partially hydrolyzed polyacrylamide (HPAM) or copolymers with different contents of 2-acrylamido-2-methylpropane sulfonic acid (AMPS) groups as polymers. The syneresis behavior of the gels formed in a soft brine was evaluated upon aging in hard brines. The results show that when the salinity of the hard brine is lower than 30,000 mg/L, the gel expands, and its strength decreases; when the salinity of the hard brine is higher than 50,000 mg/L, the gel exhibits syneresis, and its strength increases. The effects of various influencing factors on the gel syneresis behavior were also evaluated. It was found that optimizing the polymer structure and adding nanoparticles can effectively overcome gel syneresis and enhance gel stability. Based on the research described in this paper, some proposals for designing salt-resistant polymer gels are presented.

摘要

凝胶脱水收缩是油藏开采应用中凝胶处理过程中的常见问题。在本研究中,通过使用水溶性酚醛树脂作为交联剂、纳米颗粒作为稳定剂以及部分水解聚丙烯酰胺(HPAM)或含有不同含量2-丙烯酰胺基-2-甲基丙烷磺酸(AMPS)基团的共聚物作为聚合物,在软盐水中制备了一种稳定的凝胶。在硬盐水中老化后,评估了在软盐水中形成的凝胶的脱水收缩行为。结果表明,当硬盐水的盐度低于30000mg/L时,凝胶膨胀,强度降低;当硬盐水的盐度高于50000mg/L时,凝胶出现脱水收缩,强度增加。还评估了各种影响因素对凝胶脱水收缩行为的影响。研究发现,优化聚合物结构并添加纳米颗粒可以有效克服凝胶脱水收缩并提高凝胶稳定性。基于本文所述的研究,提出了一些设计耐盐聚合物凝胶的建议。

https://cdn.ncbi.nlm.nih.gov/pmc/blobs/720b/8953945/3f0313ff8251/gels-08-00166-g001.jpg

文献AI研究员

20分钟写一篇综述,助力文献阅读效率提升50倍。

立即体验

用中文搜PubMed

大模型驱动的PubMed中文搜索引擎

马上搜索

文档翻译

学术文献翻译模型,支持多种主流文档格式。

立即体验