• 文献检索
  • 文档翻译
  • 深度研究
  • 学术资讯
  • Suppr Zotero 插件Zotero 插件
  • 邀请有礼
  • 套餐&价格
  • 历史记录
应用&插件
Suppr Zotero 插件Zotero 插件浏览器插件Mac 客户端Windows 客户端微信小程序
定价
高级版会员购买积分包购买API积分包
服务
文献检索文档翻译深度研究API 文档MCP 服务
关于我们
关于 Suppr公司介绍联系我们用户协议隐私条款
关注我们

Suppr 超能文献

核心技术专利:CN118964589B侵权必究
粤ICP备2023148730 号-1Suppr @ 2026

文献检索

告别复杂PubMed语法,用中文像聊天一样搜索,搜遍4000万医学文献。AI智能推荐,让科研检索更轻松。

立即免费搜索

文件翻译

保留排版,准确专业,支持PDF/Word/PPT等文件格式,支持 12+语言互译。

免费翻译文档

深度研究

AI帮你快速写综述,25分钟生成高质量综述,智能提取关键信息,辅助科研写作。

立即免费体验

含酸功能化氧化石墨烯填料的聚苯并咪唑膜电解质在高温下的质子传导率增强

Proton Conductivity Enhancement at High Temperature on Polybenzimidazole Membrane Electrolyte with Acid-Functionalized Graphene Oxide Fillers.

作者信息

Sulaiman Raja Rafidah Raja, Walvekar Rashmi, Wong Wai Yin, Khalid Mohammad, Pang Ming Meng

机构信息

Faculty of Innovation and Technology, School of Computer Science and Engineering, Taylor's University, Subang Jaya 47500, Selangor, Malaysia.

Department of Chemical Engineering, School of New Energy and Chemical Engineering, Xiamen University Malaysia Campus, Jalan Sunsuria, Bandar Sunsuria, Sepang 43900, Selangor, Malaysia.

出版信息

Membranes (Basel). 2022 Mar 19;12(3):344. doi: 10.3390/membranes12030344.

DOI:10.3390/membranes12030344
PMID:35323819
原文链接:https://pmc.ncbi.nlm.nih.gov/articles/PMC8951258/
Abstract

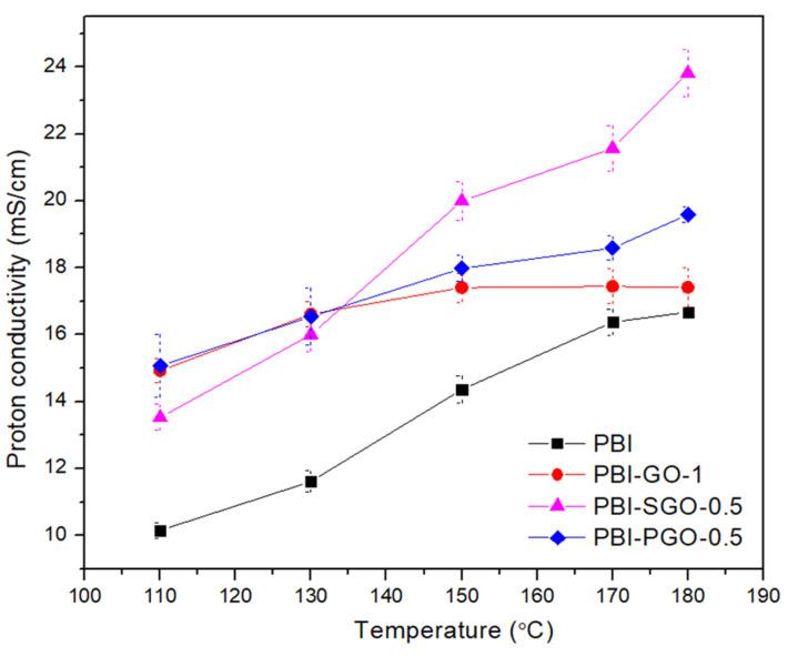
Graphene oxide (GO) and its acid-functionalized form are known to be effective in enhancing the proton transport properties of phosphoric-acid doped polybenzimidazole (PA-doped PBI) membranes utilized in high-temperature proton exchange membrane fuel cells (HTPEMFC) owing to the presence of proton-conducting functional groups. This work aims to provide a comparison between the different effects of GO with the sulfonated GO (SGO) and phosphonated GO (PGO) on the properties of PA-doped PBI, with emphasis given on proton conductivity to understand which functional groups are suitable for proton transfer under high temperature and anhydrous conditions. Each filler was synthesized following existing methods and introduced into PBI at loadings of 0.25, 0.5, and 1 wt.%. Characterizations were carried out on the overall thermal stability, acid doping level (ADL), dimensional swelling, and proton conductivity. SGO and PGO-containing PBI exhibit better conductivity than those with GO at 180 °C under anhydrous conditions, despite a slight reduction in ADL. PBI with 0.5 wt.% SGO exhibits the highest conductivity at 23.8 mS/cm, followed by PBI with 0.5 wt.% PGO at 19.6 mS/cm. However, the membrane with PGO required a smaller activation energy for proton conduction, thus less energy was needed to initiate fast proton transfer. Additionally, the PGO-containing membrane also displayed an advantage in its thermal stability aspect. Therefore, considering these properties, it is shown that PGO is a potential filler for improving PBI properties for HTPEMFC applications.

摘要

由于存在质子传导官能团,氧化石墨烯(GO)及其酸官能化形式在增强高温质子交换膜燃料电池(HTPEMFC)中使用的磷酸掺杂聚苯并咪唑(PA掺杂PBI)膜的质子传输性能方面是有效的。这项工作旨在比较GO与磺化GO(SGO)和膦酸化GO(PGO)对PA掺杂PBI性能的不同影响,重点是质子传导率,以了解哪些官能团在高温和无水条件下适合质子转移。每种填料均按照现有方法合成,并以0.25、0.5和1 wt.%的负载量引入到PBI中。对整体热稳定性、酸掺杂水平(ADL)、尺寸膨胀和质子传导率进行了表征。在无水条件下,含SGO和PGO的PBI在180°C时的电导率比含GO的PBI更好,尽管ADL略有降低。含0.5 wt.% SGO的PBI在23.8 mS/cm时表现出最高电导率,其次是含0.5 wt.% PGO的PBI,为19.6 mS/cm。然而,含PGO的膜质子传导所需的活化能较小,因此启动快速质子转移所需的能量较少。此外,含PGO的膜在热稳定性方面也显示出优势。因此,考虑到这些性能,结果表明PGO是一种用于改善HTPEMFC应用中PBI性能的潜在填料。

https://cdn.ncbi.nlm.nih.gov/pmc/blobs/63a0/8951258/ef5b940ab495/membranes-12-00344-g012.jpg
https://cdn.ncbi.nlm.nih.gov/pmc/blobs/63a0/8951258/f69d18a84eb3/membranes-12-00344-g001.jpg
https://cdn.ncbi.nlm.nih.gov/pmc/blobs/63a0/8951258/76bcac17b5ad/membranes-12-00344-g002.jpg
https://cdn.ncbi.nlm.nih.gov/pmc/blobs/63a0/8951258/5b269a3baba3/membranes-12-00344-g003a.jpg
https://cdn.ncbi.nlm.nih.gov/pmc/blobs/63a0/8951258/57e73dba4b56/membranes-12-00344-g004a.jpg
https://cdn.ncbi.nlm.nih.gov/pmc/blobs/63a0/8951258/54ac289ff368/membranes-12-00344-g005.jpg
https://cdn.ncbi.nlm.nih.gov/pmc/blobs/63a0/8951258/1269cfec1083/membranes-12-00344-g006.jpg
https://cdn.ncbi.nlm.nih.gov/pmc/blobs/63a0/8951258/669dcc2b82b4/membranes-12-00344-g007.jpg
https://cdn.ncbi.nlm.nih.gov/pmc/blobs/63a0/8951258/9056a648255a/membranes-12-00344-g008.jpg
https://cdn.ncbi.nlm.nih.gov/pmc/blobs/63a0/8951258/2c5ca343b417/membranes-12-00344-g009.jpg
https://cdn.ncbi.nlm.nih.gov/pmc/blobs/63a0/8951258/5f582c170d9b/membranes-12-00344-g010.jpg
https://cdn.ncbi.nlm.nih.gov/pmc/blobs/63a0/8951258/bd6aa7f840be/membranes-12-00344-g011.jpg
https://cdn.ncbi.nlm.nih.gov/pmc/blobs/63a0/8951258/ef5b940ab495/membranes-12-00344-g012.jpg
https://cdn.ncbi.nlm.nih.gov/pmc/blobs/63a0/8951258/f69d18a84eb3/membranes-12-00344-g001.jpg
https://cdn.ncbi.nlm.nih.gov/pmc/blobs/63a0/8951258/76bcac17b5ad/membranes-12-00344-g002.jpg
https://cdn.ncbi.nlm.nih.gov/pmc/blobs/63a0/8951258/5b269a3baba3/membranes-12-00344-g003a.jpg
https://cdn.ncbi.nlm.nih.gov/pmc/blobs/63a0/8951258/57e73dba4b56/membranes-12-00344-g004a.jpg
https://cdn.ncbi.nlm.nih.gov/pmc/blobs/63a0/8951258/54ac289ff368/membranes-12-00344-g005.jpg
https://cdn.ncbi.nlm.nih.gov/pmc/blobs/63a0/8951258/1269cfec1083/membranes-12-00344-g006.jpg
https://cdn.ncbi.nlm.nih.gov/pmc/blobs/63a0/8951258/669dcc2b82b4/membranes-12-00344-g007.jpg
https://cdn.ncbi.nlm.nih.gov/pmc/blobs/63a0/8951258/9056a648255a/membranes-12-00344-g008.jpg
https://cdn.ncbi.nlm.nih.gov/pmc/blobs/63a0/8951258/2c5ca343b417/membranes-12-00344-g009.jpg
https://cdn.ncbi.nlm.nih.gov/pmc/blobs/63a0/8951258/5f582c170d9b/membranes-12-00344-g010.jpg
https://cdn.ncbi.nlm.nih.gov/pmc/blobs/63a0/8951258/bd6aa7f840be/membranes-12-00344-g011.jpg
https://cdn.ncbi.nlm.nih.gov/pmc/blobs/63a0/8951258/ef5b940ab495/membranes-12-00344-g012.jpg

相似文献

1
Proton Conductivity Enhancement at High Temperature on Polybenzimidazole Membrane Electrolyte with Acid-Functionalized Graphene Oxide Fillers.含酸功能化氧化石墨烯填料的聚苯并咪唑膜电解质在高温下的质子传导率增强
Membranes (Basel). 2022 Mar 19;12(3):344. doi: 10.3390/membranes12030344.
2
Characterization of PBI/Graphene Oxide Composite Membranes for the SO Depolarized Electrolysis at High Temperature.用于高温SO去极化电解的PBI/氧化石墨烯复合膜的表征
Membranes (Basel). 2022 Jan 20;12(2):116. doi: 10.3390/membranes12020116.
3
Grafting of Amine End-Functionalized Side-Chain Polybenzimidazole Acid-Base Membrane with Enhanced Phosphoric Acid Retention Ability for High-Temperature Proton Exchange Membrane Fuel Cells.用于高温质子交换膜燃料电池的具有增强磷酸保留能力的胺端官能化侧链聚苯并咪唑酸碱膜的接枝
Molecules. 2024 Jan 10;29(2):340. doi: 10.3390/molecules29020340.
4
Phosphoric Acid Doped Polybenzimidazole (PBI)/Zeolitic Imidazolate Framework Composite Membranes with Significantly Enhanced Proton Conductivity under Low Humidity Conditions.磷酸掺杂聚苯并咪唑(PBI)/沸石咪唑酯骨架复合膜在低湿度条件下质子传导率显著提高
Nanomaterials (Basel). 2018 Sep 29;8(10):775. doi: 10.3390/nano8100775.
5
A Deep Insight into Different Acidic Additives as Doping Agents for Enhancing Proton Conductivity on Polybenzimidazole Membranes.深入了解不同酸性添加剂作为掺杂剂对提高聚苯并咪唑膜质子传导率的作用
Polymers (Basel). 2020 Jun 18;12(6):1374. doi: 10.3390/polym12061374.
6
Study of Innovative GO/PBI Composites as Possible Proton Conducting Membranes for Electrochemical Devices.新型氧化石墨烯/聚苯并咪唑复合材料作为电化学装置潜在质子传导膜的研究
Membranes (Basel). 2023 Apr 13;13(4):428. doi: 10.3390/membranes13040428.
7
Ionic Liquid Composite Polybenzimidazol Membranes for High Temperature PEMFC Applications.用于高温质子交换膜燃料电池应用的离子液体复合聚苯并咪唑膜
Polymers (Basel). 2019 Apr 22;11(4):732. doi: 10.3390/polym11040732.
8
Construction of High-Performance, High-Temperature Proton Exchange Membranes through Incorporating SiO Nanoparticles into Novel Cross-linked Polybenzimidazole Networks.通过将SiO纳米颗粒掺入新型交联聚苯并咪唑网络构建高性能高温质子交换膜
ACS Appl Mater Interfaces. 2019 Aug 28;11(34):30735-30746. doi: 10.1021/acsami.9b06808. Epub 2019 Aug 14.
9
Synthesis and Properties of Phosphoric-Acid-Doped Polybenzimidazole with Hyperbranched Cross-Linkers Decorated with Imidazolium Groups as High-Temperature Proton Exchange Membranes.以咪唑鎓基团修饰的超支化交联剂为高温质子交换膜的磷酸掺杂聚苯并咪唑的合成与性能
Polymers (Basel). 2020 Feb 27;12(3):515. doi: 10.3390/polym12030515.
10
Modifications on Promoting the Proton Conductivity of Polybenzimidazole-Based Polymer Electrolyte Membranes in Fuel Cells.用于促进燃料电池中聚苯并咪唑基聚合物电解质膜质子传导性的改性方法
Membranes (Basel). 2021 Oct 27;11(11):826. doi: 10.3390/membranes11110826.

引用本文的文献

1
Advances in the Application of Sulfonated Poly(Ether Ether Ketone) (SPEEK) and Its Organic Composite Membranes for Proton Exchange Membrane Fuel Cells (PEMFCs).磺化聚醚醚酮(SPEEK)及其有机复合膜在质子交换膜燃料电池(PEMFC)中的应用进展
Polymers (Basel). 2024 Oct 8;16(19):2840. doi: 10.3390/polym16192840.
2
Experimental investigation and comparison of PBI/MWCNT and PSF/MWCNT membranes for recovering water from RO reject of brackish water by FO.用于通过正向渗透从微咸水反渗透浓水中回收水的聚酰亚胺/多壁碳纳米管和聚砜/多壁碳纳米管膜的实验研究与比较
Heliyon. 2024 Mar 27;10(7):e28455. doi: 10.1016/j.heliyon.2024.e28455. eCollection 2024 Apr 15.
3

本文引用的文献

1
Recent Progress in the Development of Composite Membranes Based on Polybenzimidazole for High Temperature Proton Exchange Membrane (PEM) Fuel Cell Applications.基于聚苯并咪唑的复合膜用于高温质子交换膜(PEM)燃料电池应用的开发进展
Polymers (Basel). 2020 Aug 19;12(9):1861. doi: 10.3390/polym12091861.
2
Sulfonated graphene oxide and titanium dioxide coated with nanostructured polyaniline nanocomposites as an efficient cathode catalyst in microbial fuel cells.磺化石墨烯氧化物和二氧化钛涂覆有纳米结构聚苯胺纳米复合材料作为微生物燃料电池中的高效阴极催化剂。
Mater Sci Eng C Mater Biol Appl. 2020 Mar;108:110498. doi: 10.1016/j.msec.2019.110498. Epub 2019 Nov 28.
3
Study of Innovative GO/PBI Composites as Possible Proton Conducting Membranes for Electrochemical Devices.
新型氧化石墨烯/聚苯并咪唑复合材料作为电化学装置潜在质子传导膜的研究
Membranes (Basel). 2023 Apr 13;13(4):428. doi: 10.3390/membranes13040428.
4
Composite Proton-Conducting Membrane with Enhanced Phosphoric Acid Doping of Basic Films Radiochemically Grafted with Binary Vinyl Heterocyclic Monomer Mixtures.通过二元乙烯基杂环单体混合物放射化学接枝对碱性膜进行增强磷酸掺杂的复合质子传导膜。
Membranes (Basel). 2023 Jan 13;13(1):105. doi: 10.3390/membranes13010105.
5
Polymer Electrolyte Membranes Containing Functionalized Organic/Inorganic Composite for Polymer Electrolyte Membrane Fuel Cell Applications.含功能化有机/无机复合结构的聚合物电解质膜在聚合物电解质膜燃料电池中的应用
Int J Mol Sci. 2022 Nov 17;23(22):14252. doi: 10.3390/ijms232214252.
Fully scalable one-pot method for the production of phosphonic graphene derivatives.
用于制备膦酸石墨烯衍生物的完全可扩展单步方法。
Beilstein J Nanotechnol. 2017 May 18;8:1094-1103. doi: 10.3762/bjnano.8.111. eCollection 2017.
4
Sulfonated reduced graphene oxide as a highly efficient catalyst for direct amidation of carboxylic acids with amines using ultrasonic irradiation.磺化还原氧化石墨烯作为一种高效催化剂,用于在超声辐射下羧酸与胺的直接酰胺化反应。
Ultrason Sonochem. 2016 Mar;29:371-9. doi: 10.1016/j.ultsonch.2015.10.009. Epub 2015 Oct 22.
5
Materials and characterization techniques for high-temperature polymer electrolyte membrane fuel cells.高温聚合物电解质膜燃料电池的材料和特性技术。
Beilstein J Nanotechnol. 2015 Jan 7;6:68-83. doi: 10.3762/bjnano.6.8. eCollection 2015.
6
Structure and properties of polybenzimidazole/silica nanocomposite electrolyte membrane: influence of organic/inorganic interface.聚苯并咪唑/二氧化硅纳米复合电解质膜的结构与性能:有机/无机界面的影响。
ACS Appl Mater Interfaces. 2014 Dec 10;6(23):21286-96. doi: 10.1021/am506260j. Epub 2014 Nov 12.
7
A guideline for the identification of environmentally relevant, ionizable organic molecule species.环境相关的可离子化有机分子种类的鉴定指南。
Chemosphere. 2014 May;103:12-25. doi: 10.1016/j.chemosphere.2013.12.009. Epub 2014 Jan 8.
8
Binding affinity of surface functionalized gold nanoparticles to hydroxyapatite.表面功能化金纳米粒子与羟基磷灰石的结合亲和力。
J Biomed Mater Res A. 2011 Oct;99(1):58-66. doi: 10.1002/jbm.a.33165. Epub 2011 Jul 25.
9
State of understanding of nafion.对全氟磺酸离子交换膜的理解现状。
Chem Rev. 2004 Oct;104(10):4535-85. doi: 10.1021/cr0207123.