Suppr超能文献

具有实际相图的晶格气体中的凝聚和晶核形成

Condensation and Crystal Nucleation in a Lattice Gas with a Realistic Phase Diagram.

作者信息

Prestipino Santi, Costa Gabriele

机构信息

Dipartimento di Scienze Matematiche ed Informatiche, Scienze Fisiche e Scienze della Terra, Università degli Studi di Messina, Viale F. Stagno d'Alcontres 31, 98166 Messina, Italy.

出版信息

Entropy (Basel). 2022 Mar 17;24(3):419. doi: 10.3390/e24030419.

Abstract

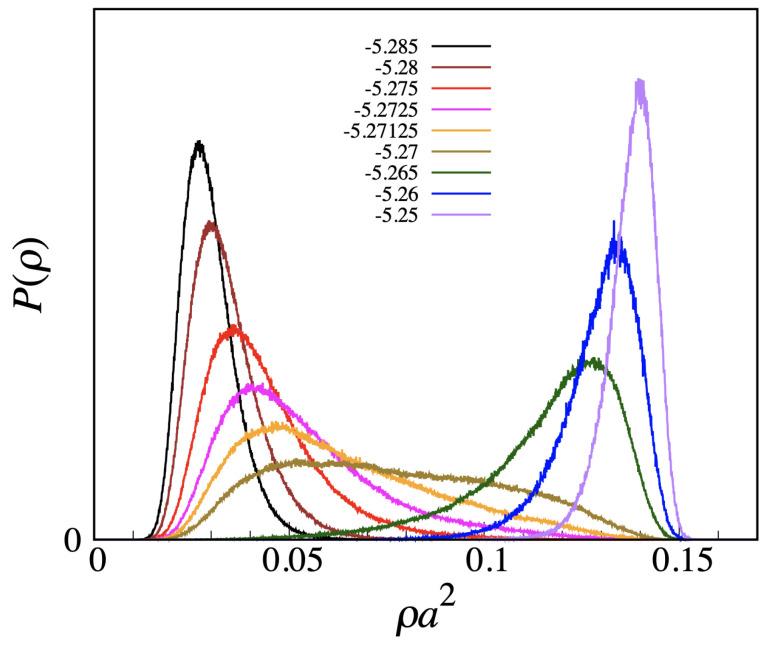
We reconsider model II of Orban et al. (J. Chem. Phys. 1968, 49, 1778−1783), a two-dimensional lattice-gas system featuring a crystalline phase and two distinct fluid phases (liquid and vapor). In this system, a particle prevents other particles from occupying sites up to third neighbors on the square lattice, while attracting (with decreasing strength) particles sitting at fourth- or fifth-neighbor sites. To make the model more realistic, we assume a finite repulsion at third-neighbor distance, with the result that a second crystalline phase appears at higher pressures. However, the similarity with real-world substances is only partial: Upon closer inspection, the alleged liquid−vapor transition turns out to be a continuous (albeit sharp) crossover, even near the putative triple point. Closer to the standard picture is instead the freezing transition, as we show by computing the free-energy barrier relative to crystal nucleation from the “liquid”.

摘要

我们重新审视了奥尔班等人(《化学物理杂志》,1968年,第49卷,1778 - 1783页)的模型II,这是一个二维晶格气体系统,具有一个晶相和两个不同的流体相(液相和气相)。在这个系统中,一个粒子会阻止其他粒子占据方格晶格上直至第三近邻的位置,同时吸引(强度逐渐减弱)处于第四或第五近邻位置的粒子。为了使模型更符合实际,我们假设在第三近邻距离处存在有限的排斥力,结果是在更高压力下会出现第二个晶相。然而,与真实物质的相似性只是部分的:仔细观察会发现,所谓的液 - 气转变实际上是一个连续的(尽管很尖锐)交叉转变,即使在假定的三相点附近也是如此。相比之下,更接近标准图像的是凝固转变,正如我们通过计算相对于从“液相”形成晶体的自由能垒所表明的那样。

https://cdn.ncbi.nlm.nih.gov/pmc/blobs/df67/8953323/b8701cdad832/entropy-24-00419-g001.jpg

文献AI研究员

20分钟写一篇综述,助力文献阅读效率提升50倍。

立即体验

用中文搜PubMed

大模型驱动的PubMed中文搜索引擎

马上搜索

文档翻译

学术文献翻译模型,支持多种主流文档格式。

立即体验