Department of Animal Reproduction, Spanish National Institute for Agricultural and Food Research and Technology (INIA-CSIC), 28040 Madrid, Spain.
Department of Animal Medicine & Surgery, Faculty of Veterinary Medicine, Universidad Complutense de Madrid (UCM), 28040 Madrid, Spain.
Int J Mol Sci. 2022 Mar 8;23(6):2903. doi: 10.3390/ijms23062903.
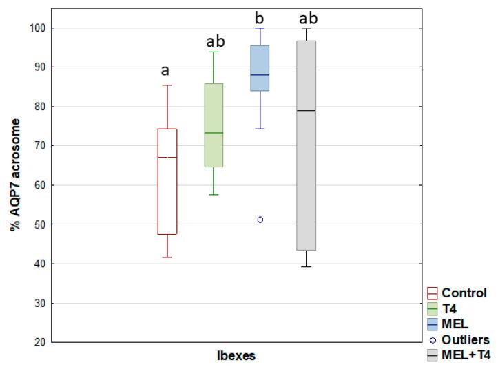
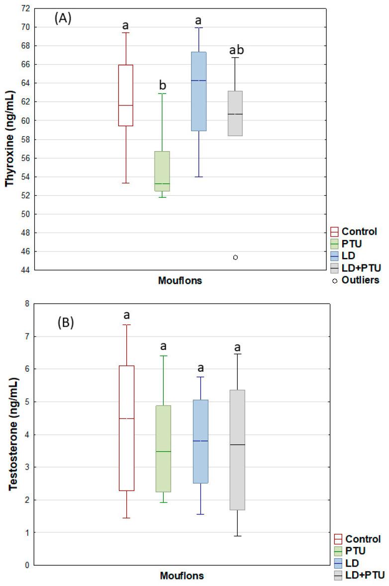
This work identified the presence of AQPs in frozen-thawed sperm of wild ruminants and assessed the influence of the interaction between photoperiod and thyroxine on AQP expression, and on testosterone secretion. Thyroxine and melatonin were administered to ibexes. In a second experiment, performed in mouflons, circulating thyroxine was reduced via treatment with propylthiouracil (PTU), and an artificial long day (LD) photoperiod established. In the ibexes, the melatonin treatment increased the blood plasma testosterone concentration, reduced the cryoresistance ratio (CR) for sperm viability and the presence of an intact acrosome, and increased the percentage of sperm with AQP7 in the acrosome and of AQP3 and AQP10 in the midpiece. In the mouflons, neither the PTU treatment, the LD, nor the combination of both affected the CR of any sperm variable. The percentage of sperm with AQP3 increased in the post-acrosome region but decreased in the tail in the LD+PTU group. The percentage of sperm with AQP10 in the principal piece and endpiece was lower in the PTU+LD group than in the control and LD groups. The influence of photoperiod/melatonin on AQP expression might be indirectly exerted through changes in the testosterone concentration, and thus ultimately affect sperm cryoresistance.
本研究鉴定了冷冻-解冻野生反刍动物精子中 AQPs 的存在,并评估了光周期和甲状腺素之间的相互作用对 AQP 表达和睾酮分泌的影响。给野山羊施用甲状腺素和褪黑素。在第二个实验中,在摩弗伦羊中,通过施用丙硫氧嘧啶 (PTU) 来降低循环甲状腺素,并建立人工长日 (LD) 光周期。在野山羊中,褪黑素处理增加了血浆睾酮浓度,降低了精子活力的冷冻抗性比 (CR) 和完整顶体的存在,并增加了顶体中 AQP7 和中段中 AQP3 和 AQP10 的精子比例。在摩弗伦羊中,PTU 处理、LD 或两者的组合均未影响任何精子变量的 CR。在 LD+PTU 组中,顶体后区的 AQP3 阳性精子比例增加,但尾部减少。PTU+LD 组的主段和末段的 AQP10 阳性精子比例低于对照组和 LD 组。光周期/褪黑素对 AQP 表达的影响可能通过睾酮浓度的变化间接发挥作用,从而最终影响精子的冷冻抗性。