• 文献检索
  • 文档翻译
  • 深度研究
  • 学术资讯
  • Suppr Zotero 插件Zotero 插件
  • 邀请有礼
  • 套餐&价格
  • 历史记录
应用&插件
Suppr Zotero 插件Zotero 插件浏览器插件Mac 客户端Windows 客户端微信小程序
定价
高级版会员购买积分包购买API积分包
服务
文献检索文档翻译深度研究API 文档MCP 服务
关于我们
关于 Suppr公司介绍联系我们用户协议隐私条款
关注我们

Suppr 超能文献

核心技术专利:CN118964589B侵权必究
粤ICP备2023148730 号-1Suppr @ 2026

文献检索

告别复杂PubMed语法,用中文像聊天一样搜索,搜遍4000万医学文献。AI智能推荐,让科研检索更轻松。

立即免费搜索

文件翻译

保留排版,准确专业,支持PDF/Word/PPT等文件格式,支持 12+语言互译。

免费翻译文档

深度研究

AI帮你快速写综述,25分钟生成高质量综述,智能提取关键信息,辅助科研写作。

立即免费体验

用于不同工作温度的水性聚氨酯压敏胶粘剂的合理设计

Rational Design of Waterborne Polyurethane Pressure Sensitive Adhesives for Different Working Temperatures.

作者信息

Zhao Hui, Xu Ying, Luo Zhen, Gong Cui-Ran, Zheng Yang-Qing, Yu Li-Ming

机构信息

College of Chemistry & Materials Science, Fujian Normal University, Fuzhou 350007, China.

Key Laboratory of Coal to Ethylene Glycol and Its Related Technology, Fujian Institute of Research on the Structure of Matter, Chinese Academy of Sciences, Fuzhou 350000, China.

出版信息

Materials (Basel). 2022 Mar 8;15(6):2011. doi: 10.3390/ma15062011.

DOI:10.3390/ma15062011
PMID:35329462
原文链接:https://pmc.ncbi.nlm.nih.gov/articles/PMC8949434/
Abstract

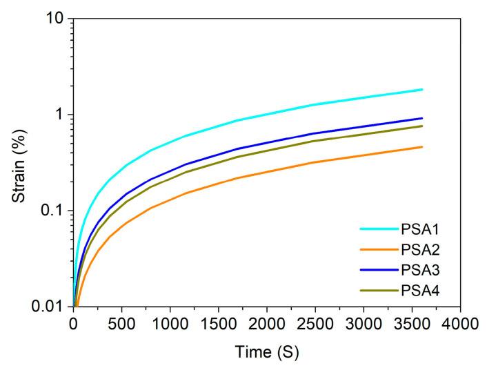
The appropriate pressure sensitive adhesion performances at working temperature are vital for the applications of waterborne polyurethane (WPU). Understanding the relationship among rheological behaviors, macromolecular structures and adhesive performances can be very useful to the rational design of waterborne polyurethane pressure sensitive adhesives (WPU-PSAs) for different operating temperatures, as well as other kinds of adhesives. In this study, four kinds of WPU-PSAs were prepared by reacting polypropylene glycol (PPG), hydrogenated hydroxyl-terminated polybutadiene (HHTPB), dimethyl alcohol propionic acid (DMPA), 1,6-hexamethylene diisocyanate (HDI) and four kinds of chain extenders. Gel permeation chromatography (GPC), swelling and rheology tests were used in parallel with an analysis of adhesive performances of the dried films of the adhesives. Results showed that, in addition to the nature of chain extenders playing a role on the rheological behaviors and adhesive performances of polymer, the gel content could be used to adjust the macromolecular structure and molecular weight distribution of polymer, thus distinctly affected the adhesive performances of PSA. The relationship among rheological behaviors, macromolecular structure and adhesive performances was investigated, and the rational design of WPU was achieved with appropriate pressure sensitive adhesion properties for different working temperatures of 25 and 60 °C.

摘要

水性聚氨酯(WPU)在工作温度下具有合适的压敏粘合性能对于其应用至关重要。了解流变行为、大分子结构和粘合性能之间的关系,对于合理设计适用于不同工作温度的水性聚氨酯压敏胶粘剂(WPU-PSA)以及其他类型的胶粘剂非常有用。在本研究中,通过使聚丙二醇(PPG)、氢化端羟基聚丁二烯(HHTPB)、二甲基乙醇丙酸(DMPA)、1,6-己二异氰酸酯(HDI)与四种扩链剂反应制备了四种WPU-PSA。凝胶渗透色谱法(GPC)、溶胀和流变学测试与胶粘剂干膜的粘合性能分析同时进行。结果表明,除了扩链剂的性质对聚合物的流变行为和粘合性能有影响外,凝胶含量可用于调节聚合物的大分子结构和分子量分布,从而显著影响PSA的粘合性能。研究了流变行为、大分子结构和粘合性能之间的关系,并实现了WPU的合理设计使其在25℃和60℃的不同工作温度下具有合适的压敏粘合性能。

https://cdn.ncbi.nlm.nih.gov/pmc/blobs/d444/8949434/3f144b5b8275/materials-15-02011-g009.jpg
https://cdn.ncbi.nlm.nih.gov/pmc/blobs/d444/8949434/274df3bbde20/materials-15-02011-g001.jpg
https://cdn.ncbi.nlm.nih.gov/pmc/blobs/d444/8949434/822cbc4fd443/materials-15-02011-g002.jpg
https://cdn.ncbi.nlm.nih.gov/pmc/blobs/d444/8949434/c55030ad192e/materials-15-02011-g003.jpg
https://cdn.ncbi.nlm.nih.gov/pmc/blobs/d444/8949434/b087601e9cf5/materials-15-02011-g004.jpg
https://cdn.ncbi.nlm.nih.gov/pmc/blobs/d444/8949434/d1331e802f7c/materials-15-02011-g005.jpg
https://cdn.ncbi.nlm.nih.gov/pmc/blobs/d444/8949434/55fa7fa54b16/materials-15-02011-g006.jpg
https://cdn.ncbi.nlm.nih.gov/pmc/blobs/d444/8949434/daa68a90e717/materials-15-02011-g007.jpg
https://cdn.ncbi.nlm.nih.gov/pmc/blobs/d444/8949434/17c414ab7723/materials-15-02011-g008.jpg
https://cdn.ncbi.nlm.nih.gov/pmc/blobs/d444/8949434/3f144b5b8275/materials-15-02011-g009.jpg
https://cdn.ncbi.nlm.nih.gov/pmc/blobs/d444/8949434/274df3bbde20/materials-15-02011-g001.jpg
https://cdn.ncbi.nlm.nih.gov/pmc/blobs/d444/8949434/822cbc4fd443/materials-15-02011-g002.jpg
https://cdn.ncbi.nlm.nih.gov/pmc/blobs/d444/8949434/c55030ad192e/materials-15-02011-g003.jpg
https://cdn.ncbi.nlm.nih.gov/pmc/blobs/d444/8949434/b087601e9cf5/materials-15-02011-g004.jpg
https://cdn.ncbi.nlm.nih.gov/pmc/blobs/d444/8949434/d1331e802f7c/materials-15-02011-g005.jpg
https://cdn.ncbi.nlm.nih.gov/pmc/blobs/d444/8949434/55fa7fa54b16/materials-15-02011-g006.jpg
https://cdn.ncbi.nlm.nih.gov/pmc/blobs/d444/8949434/daa68a90e717/materials-15-02011-g007.jpg
https://cdn.ncbi.nlm.nih.gov/pmc/blobs/d444/8949434/17c414ab7723/materials-15-02011-g008.jpg
https://cdn.ncbi.nlm.nih.gov/pmc/blobs/d444/8949434/3f144b5b8275/materials-15-02011-g009.jpg

相似文献

1
Rational Design of Waterborne Polyurethane Pressure Sensitive Adhesives for Different Working Temperatures.用于不同工作温度的水性聚氨酯压敏胶粘剂的合理设计
Materials (Basel). 2022 Mar 8;15(6):2011. doi: 10.3390/ma15062011.
2
New Waterborne Polyurethane-Urea Synthesized with Ether-Carbonate Copolymer and Amino-Alcohol Chain Extenders with Tailored Pressure-Sensitive Adhesion Properties.采用醚-碳酸酯共聚物和氨基醇扩链剂合成的具有定制压敏粘附性能的新型水性聚氨酯-脲
Materials (Basel). 2020 Jan 31;13(3):627. doi: 10.3390/ma13030627.
3
Rheological and Mechanical Behavior of Silk Fibroin Reinforced Waterborne Polyurethane.丝素蛋白增强水性聚氨酯的流变学和力学行为
Polymers (Basel). 2016 Mar 21;8(3):94. doi: 10.3390/polym8030094.
4
Synthesis and characterization of hydroxyl-terminated polybutadiene modified low temperature adaptive self-matting waterborne polyurethane.端羟基聚丁二烯改性低温自适应性自消光水性聚氨酯的合成与表征
RSC Adv. 2023 Mar 1;13(10):7020-7029. doi: 10.1039/d3ra00412k. eCollection 2023 Feb 21.
5
Role of the Soft and Hard Segments Structure in Modifying the Performance of Acrylic Adhesives Modified by Polyurethane Macromonomers.软硬链段结构在改性聚氨酯大分子单体丙烯酸胶粘剂性能中的作用
ACS Omega. 2024 Jul 17;9(30):32735-32744. doi: 10.1021/acsomega.4c02710. eCollection 2024 Jul 30.
6
pH-Responsive Pickering high internal phase emulsions stabilized by Waterborne polyurethane.由水性聚氨酯稳定的pH响应型皮克林高内相乳液
J Colloid Interface Sci. 2022 Mar 15;610:994-1004. doi: 10.1016/j.jcis.2021.11.156. Epub 2021 Nov 26.
7
Strong Thermo-tolerant Silicone-Modified Waterborne Polyurethane/Polyimide Pressure-Sensitive Adhesive.强耐温性有机硅改性水性聚氨酯/聚酰亚胺压敏胶粘剂
Langmuir. 2023 Dec 12;39(49):17611-17621. doi: 10.1021/acs.langmuir.3c01564. Epub 2023 Nov 28.
8
Preparation and characterization of PEG-modified polyurethane pressure-sensitive adhesives for transdermal drug delivery.聚乙二醇修饰的用于透皮给药的聚氨酯压敏胶的制备及性能表征。
Drug Dev Ind Pharm. 2009 Jun;35(6):704-11. doi: 10.1080/03639040802512235.
9
Tacky-Free Polyurethanes Pressure-Sensitive Adhesives by Molecular-Weight and HDI Trimer Design.通过分子量和六亚甲基二异氰酸酯三聚体设计制备无粘性聚氨酯压敏胶粘剂
Materials (Basel). 2021 Apr 23;14(9):2164. doi: 10.3390/ma14092164.
10
MoS₂ nanoplatelet fillers for enhancement of the properties of waterborne pressure-sensitive adhesives.用于增强水性压敏胶粘剂性能的二硫化钼纳米片填料
ACS Appl Mater Interfaces. 2014 Dec 24;6(24):22640-8. doi: 10.1021/am506726f. Epub 2014 Dec 2.

引用本文的文献

1
Emerging Wearable Ultrasound Technology.新兴可穿戴式超声技术。
IEEE Trans Ultrason Ferroelectr Freq Control. 2024 Jul;71(7):713-729. doi: 10.1109/TUFFC.2023.3327143. Epub 2024 Jul 9.

本文引用的文献

1
Abiotic Formation of an Amide Bond via Surface-Supported Direct Carboxyl-Amine Coupling.通过表面支撑的直接羧基-胺偶联反应实现酰胺键的非生物形成。
Angew Chem Int Ed Engl. 2022 Jan 26;61(5):e202113590. doi: 10.1002/anie.202113590. Epub 2021 Dec 15.
2
Predictive Mechanistic Model of Creep Response of Single-Layered Pressure-Sensitive Adhesive (PSA) Joints.单层压敏胶粘剂(PSA)接头蠕变响应的预测机理模型。
Materials (Basel). 2021 Jul 8;14(14):3815. doi: 10.3390/ma14143815.
3
Tacky-Free Polyurethanes Pressure-Sensitive Adhesives by Molecular-Weight and HDI Trimer Design.
通过分子量和六亚甲基二异氰酸酯三聚体设计制备无粘性聚氨酯压敏胶粘剂
Materials (Basel). 2021 Apr 23;14(9):2164. doi: 10.3390/ma14092164.
4
Addition of Graphene Oxide in Different Stages of the Synthesis of Waterborne Polyurethane-Urea Adhesives and Its Influence On Their Structure, Thermal, Viscoelastic and Adhesion Properties.氧化石墨烯在水性聚氨酯 - 脲胶粘剂合成不同阶段的添加及其对其结构、热性能、粘弹性和粘附性能的影响。
Materials (Basel). 2020 Jun 28;13(13):2899. doi: 10.3390/ma13132899.
5
New Waterborne Polyurethane-Urea Synthesized with Ether-Carbonate Copolymer and Amino-Alcohol Chain Extenders with Tailored Pressure-Sensitive Adhesion Properties.采用醚-碳酸酯共聚物和氨基醇扩链剂合成的具有定制压敏粘附性能的新型水性聚氨酯-脲
Materials (Basel). 2020 Jan 31;13(3):627. doi: 10.3390/ma13030627.
6
Deciphering How the Viscoelastic Properties of Mussel-Inspired Metal-Coordinate Transiently Cross-Linked Gels Dictate Their Tack Behavior.解析贻贝启发的金属配位瞬态交联水凝胶的黏弹性如何决定其粘性行为。
Langmuir. 2019 Dec 3;35(48):15979-15984. doi: 10.1021/acs.langmuir.9b02772. Epub 2019 Oct 24.
7
Balanced Viscoelastic Properties of Pressure Sensitive Adhesives Made with Thermoplastic Polyurethanes Blends.由热塑性聚氨酯共混物制成的压敏胶粘剂的平衡粘弹性特性
Polymers (Basel). 2019 Oct 3;11(10):1608. doi: 10.3390/polym11101608.
8
Solvent-Free Deposition of Ultrathin Copolymer Films with Tunable Viscoelasticity for Application to Pressure-Sensitive Adhesives.无溶剂沉积法制备具有可调黏弹性的超薄共聚物薄膜及其在压敏胶中的应用。
ACS Appl Mater Interfaces. 2018 Sep 26;10(38):32668-32677. doi: 10.1021/acsami.8b10009. Epub 2018 Sep 13.