Suppr超能文献

具有抗增殖活性的紫铆因衍生物以及这类植物代谢产物的相关性

Jacaranone Derivatives with Antiproliferative Activity from and Relevance of This Group of Plant Metabolites.

作者信息

Dávid Csilla Zsuzsanna, Kúsz Norbert, Pinke Gyula, Kulmány Ágnes, Zupkó István, Hohmann Judit, Vasas Andrea

机构信息

Department of Pharmacognosy, Interdisciplinary Excellence Centre, University of Szeged, Eötvös u. 6, 6720 Szeged, Hungary.

Department of Water and Environmental Sciences, Faculty of Agricultural and Food Sciences, Széchenyi István University, Var Square 2, 9200 Mosonmagyaróvár, Hungary.

出版信息

Plants (Basel). 2022 Mar 16;11(6):782. doi: 10.3390/plants11060782.

Abstract

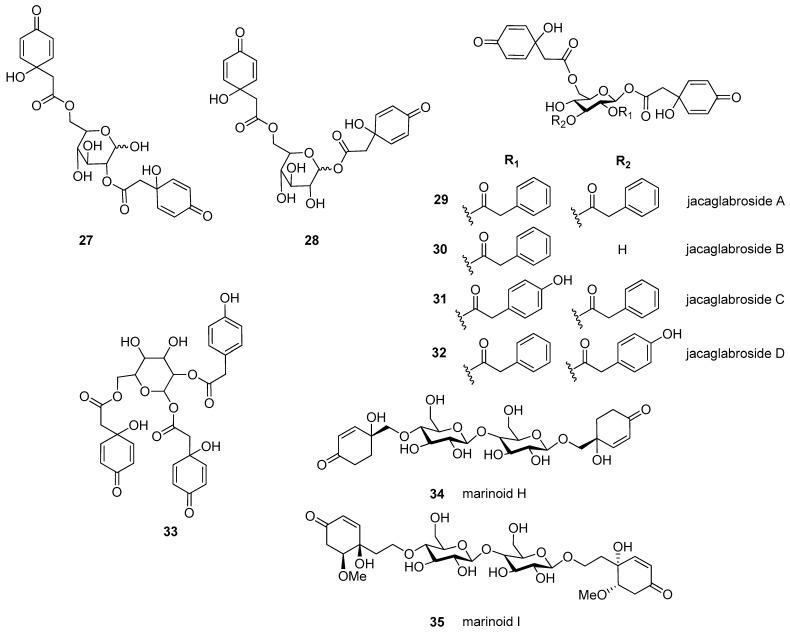
Jacaranones are a small group of specific plant metabolites with promising biological activities. The occurrence of jacaranones is limited to only a few plant families, with Asteraceae being the most abundant source of these compounds. Therefore, jacaranones can also serve as chemotaxonomic markers. Our phytochemical investigation of L. (Asteraceae) resulted in three jacaranone derivatives (jacaranone, 2,3-dihydro-2-hydroxyjacaranone, 2,3-dihydro-2-methoxyjacaranone), and (6,9)-3-oxo-α-ionol--d-glucopyranoside, fulgidic acid, 12,15-octadecadienoic acid methyl ester, scopoletin and apigenin-7---d-glucoside. This is the first report on the isolation of jacaranones from a species belonging to the Cichorioideae subfamily of Asteraceae. Jacaranone derivatives were subjected to an in vitro antiproliferative assay against a panel of human cancer cell lines (MCF-7, MDA-MB-231, HeLa, and C33A), revealing high or moderate activities, with IC values ranging from 6.3 to 26.5 μM.

摘要

紫铆因是一小类具有潜在生物活性的特定植物代谢产物。紫铆因仅存在于少数植物科中,菊科是这些化合物最丰富的来源。因此,紫铆因也可作为化学分类学标记。我们对菊科莴苣属植物进行的植物化学研究得到了三种紫铆因衍生物(紫铆因、2,3-二氢-2-羟基紫铆因、2,3-二氢-2-甲氧基紫铆因),以及(6,9)-3-氧代-α-紫罗兰醇-β-D-吡喃葡萄糖苷、富尔吉酸、12,15-十八碳二烯酸甲酯、东莨菪素和芹菜素-7-β-D-葡萄糖苷。这是首次从菊科莴苣亚科的一个物种中分离出紫铆因的报道。对紫铆因衍生物针对一组人类癌细胞系(MCF-7、MDA-MB-231、HeLa和C33A)进行了体外抗增殖试验,结果显示其具有高活性或中等活性,IC值范围为6.3至26.5μM。

https://cdn.ncbi.nlm.nih.gov/pmc/blobs/a28f/8955310/5af1701ab6ec/plants-11-00782-g001.jpg

文献检索

告别复杂PubMed语法,用中文像聊天一样搜索,搜遍4000万医学文献。AI智能推荐,让科研检索更轻松。

立即免费搜索

文件翻译

保留排版,准确专业,支持PDF/Word/PPT等文件格式,支持 12+语言互译。

免费翻译文档

深度研究

AI帮你快速写综述,25分钟生成高质量综述,智能提取关键信息,辅助科研写作。

立即免费体验