Suppr超能文献

解毒益智方通过抑制细胞焦亡改善A诱导的阿尔茨海默病大鼠模型的认知障碍

Jiedu-Yizhi Formula Improves Cognitive Impairment in an A -Induced Rat Model of Alzheimer's Disease by Inhibiting Pyroptosis.

作者信息

Wang Jiale, Zhu Xiaoting, Li Yuhui, Zhang Pengqi, Wang Tianye, Li Mingquan

机构信息

School of Integrated Chinese and Western Medicine, Changchun University of Chinese Medicine, Changchun 130117, Jilin, China.

School of Chinese Medicine, Changchun University of Chinese Medicine, Changchun 130117, Jilin, China.

出版信息

Evid Based Complement Alternat Med. 2022 Mar 16;2022:6091671. doi: 10.1155/2022/6091671. eCollection 2022.

Abstract

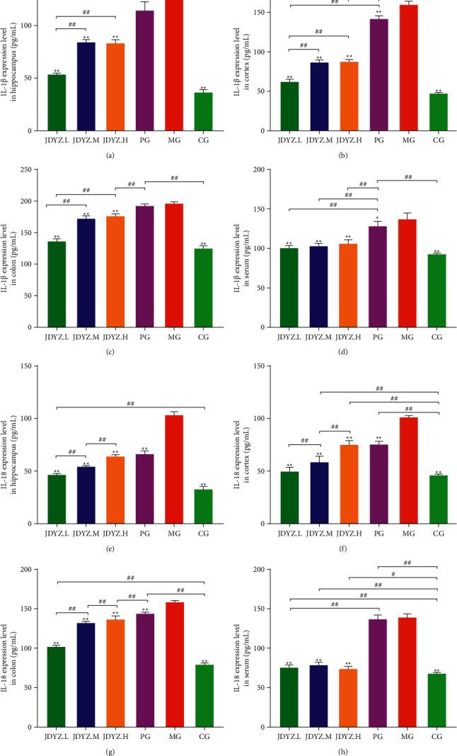
Jiedu-Yizhi formula (JDYZF) is prescribed for the treatment of Alzheimer's disease (AD) and was created by Jixue Ren, a master of traditional Chinese medicine, based on the "marrow deficiency and toxin damage" theory. In our clinic, this formula has been used for the treatment of AD for many years and has achieved good results. However, the mechanism by which JDYZF improves cognitive impairment has not been determined. In this study, we confirmed that orally administered JDYZF reversed the cognitive deficits in an A -induced rat model, increased the number of neurons in the hippocampal CA1 area, improved their structure, decreased the deposition of -amyloid (A), reduced the expression of proteins related to the NLRP3/Caspase-1/GSDMD and LPS/Caspase-11/GSDMD pyroptosis pathways, and reduced the levels of interleukin 1 (IL-1) and IL-18, thereby inhibiting the inflammatory response. In addition, JDYZF exerted no hepatotoxicity in rats. In short, these results provide scientific support for the clinical use of JDYZF to improve the cognitive function of patients with AD.

摘要

解毒益智方(JDYZF)用于治疗阿尔茨海默病(AD),由中医大师任继学根据“髓虚毒损”理论创制。在我们的临床中,该方已用于治疗AD多年并取得了良好疗效。然而,JDYZF改善认知障碍的机制尚未明确。在本研究中,我们证实口服JDYZF可逆转A诱导的大鼠模型中的认知缺陷,增加海马CA1区神经元数量,改善其结构,减少β-淀粉样蛋白(Aβ)沉积,降低与NLRP3/Caspase-1/GSDMD和LPS/Caspase-11/GSDMD焦亡途径相关蛋白的表达,并降低白细胞介素1(IL-1)和IL-18水平,从而抑制炎症反应。此外,JDYZF对大鼠无肝毒性。总之,这些结果为JDYZF临床用于改善AD患者认知功能提供了科学依据。

https://cdn.ncbi.nlm.nih.gov/pmc/blobs/913e/8942661/b262b6c218e5/ECAM2022-6091671.001.jpg

文献AI研究员

20分钟写一篇综述,助力文献阅读效率提升50倍。

立即体验

用中文搜PubMed

大模型驱动的PubMed中文搜索引擎

马上搜索

文档翻译

学术文献翻译模型,支持多种主流文档格式。

立即体验