Suppr超能文献

第253号 左侧结直肠癌肝转移(CRLM)患者的淋巴结转移:发生率与预后

No.253 Lymph Nodes Metastasis in Left-Sided Colorectal Cancer Liver Metastasis (CRLM) Patients: Incidence and Prognosis.

作者信息

Chang Jiang, Mao Yihao, Feng Qingyang, Chen Yijiao, Wu Qi, Zheng Peng, Zhang Zhiyuan, Yu Shanchao, Jiang Yudong, Wei Ye, Xu Jianmin, He Guodong

机构信息

Colorectal Cancer Center, Zhongshan Hospital, Fudan University, Shanghai, People's Republic of China.

Department of General Surgery, Zhongshan Hospital, Fudan University, Shanghai, People's Republic of China.

出版信息

Clin Med Insights Oncol. 2022 Mar 22;16:11795549221084841. doi: 10.1177/11795549221084841. eCollection 2022.

Abstract

BACKGROUND

No.253 lymph node is the gateway to systemic metastasis for left-sided colorectal cancer. However, the value of D3 resection is still controversial. This study aimed to identify the incidence rate and prognostic value of 253LN metastasis in patients with left-sided colorectal cancer liver metastasis (CRLM) mainly through blood vessels and thus to provide theoretical basis for 253LN resection.

METHODS

From February 2012 to February 2019, a total of 281 patients who underwent curative resection for both primary and metastatic tumors were collected retrospectively. The clinicopathological and genetic characteristics were compared between 58 patients with positive 253LN and 223 patients with negative. Relapse-free survival (RFS) and overall survival (OS) were compared with Kaplan-Meier method. Cox regression analysis and a forest plot were conducted for RFS.

RESULTS

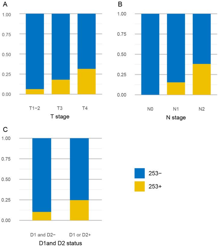
The incidence of 253LN metastasis in left-sided CRLM was 20.64% (58/281). Those with 253LN positive were T4 stage, N2 stage, and D1/D2 lymph nodes metastatic. About 10.3% (8/78) 253LN positive patients were D1/D2 negative. The 253LN metastasis was an independent risk factor for relapse after curative surgery, but not for OS. Patients with 253LN metastasis had worse RFS, especially in female, adenocarcinoma, poorly differentiated, pT3, preoperative serum CA199 < 37 U/mL, bilobar liver metastasis, without preoperative chemotherapy, , or wild type.

CONCLUSION

The incidence of 253LN metastasis in left-sided CRLM is 20.64%, and skip metastasis rate is 10.3%. The 253LN status is an independent prognostic risk factor for RFS but not for OS after curative surgery. Routine resection of 253LN should be applied in curative surgery of left-sided CRLM.

摘要

背景

第253组淋巴结是左侧结直肠癌发生全身转移的门户。然而,D3切除的价值仍存在争议。本研究旨在确定左侧结直肠癌肝转移(CRLM)患者中第253组淋巴结转移的发生率及其预后价值,主要通过血管转移情况进行分析,从而为第253组淋巴结切除提供理论依据。

方法

回顾性收集2012年2月至2019年2月期间共281例行原发肿瘤和转移瘤根治性切除的患者。比较58例第253组淋巴结阳性患者和223例阴性患者的临床病理及基因特征。采用Kaplan-Meier法比较无复发生存期(RFS)和总生存期(OS)。对RFS进行Cox回归分析并绘制森林图。

结果

左侧CRLM患者中第253组淋巴结转移发生率为20.64%(58/281)。第253组淋巴结阳性患者为T4期、N2期,且存在D1/D2组淋巴结转移。约10.3%(8/78)的第253组淋巴结阳性患者D1/D2组淋巴结阴性。第253组淋巴结转移是根治性手术后复发的独立危险因素,但不是总生存期的独立危险因素。第253组淋巴结转移患者的RFS较差,尤其是女性、腺癌、低分化、pT3、术前血清CA199<37 U/mL、双叶肝转移、未行术前化疗或野生型患者。

结论

左侧CRLM患者中第253组淋巴结转移发生率为20.64%,跳跃转移率为10.3%。第253组淋巴结状态是根治性手术后RFS的独立预后危险因素,但不是总生存期的独立预后危险因素。在左侧CRLM的根治性手术中应常规切除第253组淋巴结。

https://cdn.ncbi.nlm.nih.gov/pmc/blobs/b757/8943451/34525538d2e6/10.1177_11795549221084841-fig1.jpg

文献AI研究员

20分钟写一篇综述,助力文献阅读效率提升50倍。

立即体验

用中文搜PubMed

大模型驱动的PubMed中文搜索引擎

马上搜索

文档翻译

学术文献翻译模型,支持多种主流文档格式。

立即体验