Suppr超能文献

转移性分化型甲状腺癌的生存率不受碘给药准备方式的影响。

Metastatic Differentiated Thyroid Cancer Survival Is Unaffected by Mode of Preparation for I Administration.

作者信息

Gomes-Lima Cristiane J, Chittimoju Sanjita, Wehbeh Leen, Dia Sunita, Pagadala Prathyusha, Al-Jundi Mohammad, Jhawar Sakshi, Tefera Eshetu, Mete Mihriye, Klubo-Gwiezdzinska Joanna, Van Nostrand Douglas, Jonklaas Jacqueline, Wartofsky Leonard, Burman Kenneth D

机构信息

MedStar Clinical Research Center, MedStar Health Research Institute (MHRI), Hyattsville 20782-2031, Maryland, USA.

Section of Endocrinology, MedStar Washington Hospital Center, Washington, District of Columbia 20010, USA.

出版信息

J Endocr Soc. 2022 Mar 2;6(5):bvac032. doi: 10.1210/jendso/bvac032. eCollection 2022 May 1.

Abstract

CONTEXT

Recombinant human thyrotropin (rhTSH) is currently not Food and Drug Administration approved for the treatment of high-risk patients with differentiated thyroid cancer (DTC).

OBJECTIVE

The goal of our study was to compare the outcomes in higher-risk patients with metastatic DTC prepared for radioiodine (RAI) therapy with rhTSH vs thyroid hormone withdrawal (THW).

METHODS

A retrospective chart review was performed of patients with metastatic DTC in follow-up at MedStar Washington Hospital Center and MedStar Georgetown University Hospital from 2009 to 2017. Patients were divided according to their preparation for RAI therapy, with assessment of progression-free survival (PFS) and overall survival (OS).

RESULTS

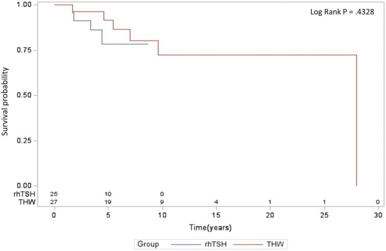
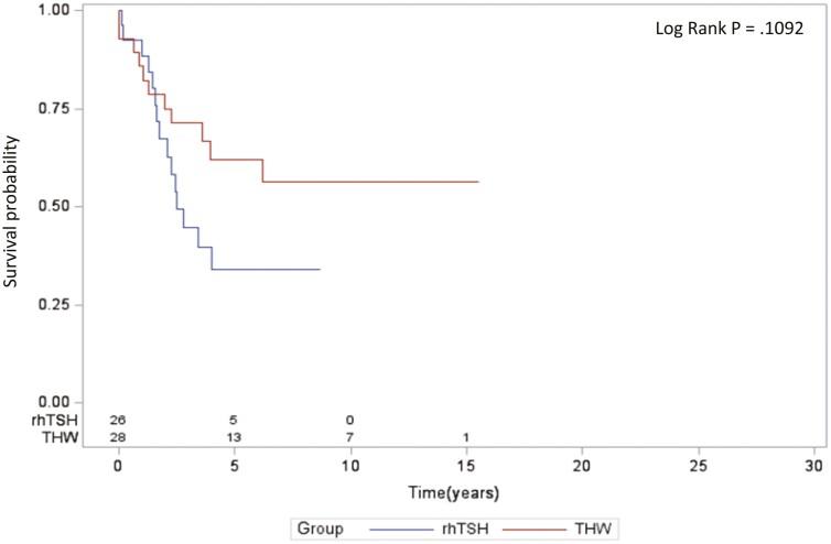
Fifty-five patients with distant metastases (16 men, 39 women) were prepared for RAI therapy exclusively either with rhTSH (n = 27) or with THW (n = 28). There were no statistically significant differences between the groups regarding clinicopathological features and history of RAI therapies. The median follow-up time for patients with rhTSH-aided therapies was 4.2 years (range, 3.3-5.5 years) and for patients with THW-aided therapies was 6.8 years (range, 4.2-11.6 years) ( = .002). Multivariate analysis showed that the method of thyrotropin stimulation was not associated with a difference in PFS or OS.

CONCLUSION

As has been shown previously for low-risk DTC, this study indicates that the mode of preparation for RAI therapy does not appear to influence the outcomes of patients with metastatic DTC. PFS and OS were similar for patients with THW-aided or rhTSH-aided RAI therapies.

摘要

背景

重组人促甲状腺素(rhTSH)目前尚未获得美国食品药品监督管理局批准用于治疗高危分化型甲状腺癌(DTC)患者。

目的

我们研究的目的是比较使用rhTSH与甲状腺激素撤减(THW)为接受放射性碘(RAI)治疗做准备的高危转移性DTC患者的结局。

方法

对2009年至2017年在MedStar华盛顿医院中心和MedStar乔治敦大学医院接受随访的转移性DTC患者进行回顾性病历审查。根据患者接受RAI治疗的准备方式进行分组,并评估无进展生存期(PFS)和总生存期(OS)。

结果

55例有远处转移的患者(16例男性,39例女性)仅使用rhTSH(n = 27)或THW(n = 28)为RAI治疗做准备。两组在临床病理特征和RAI治疗史方面无统计学显著差异。接受rhTSH辅助治疗的患者中位随访时间为4.2年(范围3.3 - 5.5年),接受THW辅助治疗的患者中位随访时间为6.8年(范围4.2 - 11.6年)(P = 0.002)。多变量分析显示促甲状腺素刺激方法与PFS或OS的差异无关。

结论

正如先前在低危DTC中所显示的那样,本研究表明RAI治疗的准备方式似乎不会影响转移性DTC患者的结局。接受THW辅助或rhTSH辅助RAI治疗的患者PFS和OS相似。

https://cdn.ncbi.nlm.nih.gov/pmc/blobs/1318/8962448/31c7210865f1/bvac032f0001.jpg

文献检索

告别复杂PubMed语法,用中文像聊天一样搜索,搜遍4000万医学文献。AI智能推荐,让科研检索更轻松。

立即免费搜索

文件翻译

保留排版,准确专业,支持PDF/Word/PPT等文件格式,支持 12+语言互译。

免费翻译文档

深度研究

AI帮你快速写综述,25分钟生成高质量综述,智能提取关键信息,辅助科研写作。

立即免费体验