Suppr超能文献

院外心脏骤停后的院内死亡模式。

In-hospital mode of death after out-of-hospital cardiac arrest.

作者信息

Wittwer Melanie R, Armstrong Thomas, Conway Jordan, Ruknuddeen Mohammed Ishaq, Zeitz Chris, Beltrame John F, Arstall Margaret A

机构信息

Adelaide Medical School, University of Adelaide, Adelaide, South Australia, Australia.

Northern Adelaide Local Health Network, Elizabeth Vale, South Australia, Australia.

出版信息

Resusc Plus. 2022 Mar 31;10:100229. doi: 10.1016/j.resplu.2022.100229. eCollection 2022 Jun.

Abstract

INTRODUCTION

Factors associated with in-hospital mortality after out-of-hospital cardiac arrest (OHCA), such as mode of death and withdrawal of life-sustaining treatment (WLST), are not well established. This study aimed to compare clinical characteristics, timing of WLST and death, and precipitating aetiology between modes of death for OHCAs treated at hospital within a local health network.

METHODS

Retrospective cohort study of adult non-traumatic OHCAs included in a hospital based OHCA registry between 2011 and 2016 and deceased at hospital discharge, excluding cases retrieved to external hospitals. Mode of death was defined as (1) cardiovascular instability, (2) non-neurological WLST, (3) neurological WLST, and (4) formal brain death. Relevant data were extracted from the registry and stratified according to mode of death and timing of death as early (within the emergency department) or late (after admission).

RESULTS

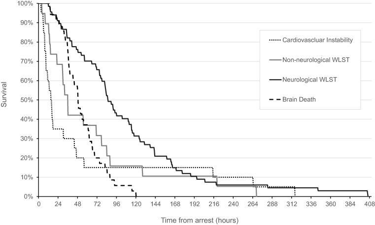
Mode of death data was available for 69 early and 144 late deaths. Cardiovascular instability was the primary mode for 75% of early deaths, while 72% of late deaths were attributed to neurological injury (47% neurological WLST and 24% brain death, combined). Cardiovascular instability was associated with cardiac aetiology, brain death was associated with younger age and highest rates of organ donation, and neurological WLST was associated with highest rates of targeted temperature management, and longest time from arrest to death ( < 0.05).

CONCLUSIONS

This is the first study to compare clinical characteristics of adult patients resuscitated from OHCA according to in-hospital mode of death. A consensus on the definition of mode of death with standardised classification is needed.

摘要

引言

院外心脏骤停(OHCA)后院内死亡的相关因素,如死亡方式和维持生命治疗的撤除(WLST),尚未完全明确。本研究旨在比较当地卫生网络内医院治疗的OHCA患者不同死亡方式之间的临床特征、WLST和死亡时间,以及诱发病因。

方法

对2011年至2016年间纳入医院OHCA登记处且出院时死亡的成年非创伤性OHCA患者进行回顾性队列研究,排除转至外部医院的病例。死亡方式定义为:(1)心血管功能不稳定;(2)非神经学原因的WLST;(3)神经学原因的WLST;(4)正式脑死亡。从登记处提取相关数据,并根据死亡方式和死亡时间(早期[在急诊科内]或晚期[入院后])进行分层。

结果

有69例早期死亡和144例晚期死亡的死亡方式数据。心血管功能不稳定是75%早期死亡的主要方式,而72%的晚期死亡归因于神经损伤(47%为神经学原因的WLST和24%为脑死亡,两者合计)。心血管功能不稳定与心脏病因相关,脑死亡与较年轻的年龄和最高的器官捐献率相关,神经学原因的WLST与最高的目标体温管理率以及从心脏骤停到死亡的最长时间相关(P<0.05)。

结论

这是第一项根据院内死亡方式比较OHCA复苏成年患者临床特征的研究。需要就死亡方式的定义达成共识并进行标准化分类。

https://cdn.ncbi.nlm.nih.gov/pmc/blobs/ce04/8971337/22684bb2cd30/gr1.jpg

文献AI研究员

20分钟写一篇综述,助力文献阅读效率提升50倍。

立即体验

用中文搜PubMed

大模型驱动的PubMed中文搜索引擎

马上搜索

文档翻译

学术文献翻译模型,支持多种主流文档格式。

立即体验