Suppr超能文献

心肌梗死后患者现行和改良版巴西心脏保护性营养方案膳食指数(BALANCE DI)与美国心脏协会健康饮食评分(AHA-DS)的绝对和相对一致性。

Absolute and Relative Agreement between the Current and Modified Brazilian Cardioprotective Nutritional Program Dietary Index (BALANCE DI) and the American Heart Association Healthy Diet Score (AHA-DS) in Post Myocardial Infarction Patients.

机构信息

Graduate Program in Health Sciences (Cardiology), Instituto de Cardiologia do Rio Grande do Sul, Fundação Universitária de Cardiologia (IC/FUC), Princesa Isabel Avenue 395, Porto Alegre 90040-371, Brazil.

Department of Nutritional Sciences, Pennsylvania State University, 110 Chandlee Laboratory, University Park, State College, PA 16802, USA.

出版信息

Nutrients. 2022 Mar 25;14(7):1378. doi: 10.3390/nu14071378.

Abstract

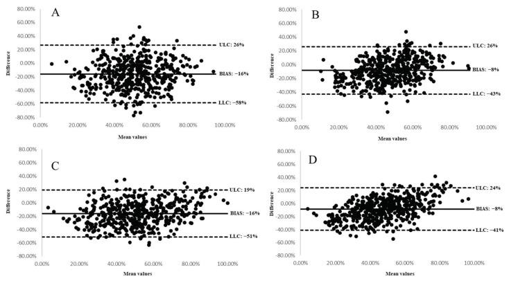
The American Heart Association Diet Score (AHA-DS) defines the cardiovascular health, and the Brazilian Cardioprotective Nutritional Program Dietary Index (BALANCE DI) was designed to evaluate diet quality in secondary cardiovascular prevention settings. Our aim was to assess the absolute and relative agreement between both tools in Brazilian adults after a myocardial infarction (MI). In this cross-sectional study, 473 individuals were included and had their diet assessed by a 24 h food recall and a semi-quantitative Food Frequency Questionnaire. The weighted Kappa between BALANCE DI and primary AHA-DS was 0.66 (95% CI: 0.08-0.21), and between BALANCE DI and total AHA-DS was 0.70 (95% CI: 0.20-0.32). To improve the agreement between the tools, modifications were made to the BALANCE DI scoring system. The weighted Kappa between New BALANCE DI and primary AHA-DS was 0.77 (95% CI: 0.36-0.48), and between BALANCE DI and total AHA-DS was 0.76 (95% CI: 0.34-0.46). The mean bias observed between the New BALANCE DI as compared to the primary and total AHA-DS was -16% (-51 to 19) and -8% (-41 to 24), respectively. Our results suggest that the New BALANCE DI may be a useful tool to evaluate diet quality in post MI patients.

摘要

美国心脏协会饮食评分(AHA-DS)定义了心血管健康,而巴西心脏保护营养计划饮食指数(BALANCE DI)旨在评估二级心血管预防环境中的饮食质量。我们的目的是评估这两种工具在巴西心肌梗死后成年人中的绝对和相对一致性。在这项横断面研究中,纳入了 473 名个体,并通过 24 小时食物回忆和半定量食物频率问卷评估了他们的饮食。BALANCE DI 和主要 AHA-DS 之间的加权 Kappa 值为 0.66(95%CI:0.08-0.21),BALANCE DI 和总 AHA-DS 之间的加权 Kappa 值为 0.70(95%CI:0.20-0.32)。为了提高工具之间的一致性,对 BALANCE DI 评分系统进行了修改。New BALANCE DI 和主要 AHA-DS 之间的加权 Kappa 值为 0.77(95%CI:0.36-0.48),BALANCE DI 和总 AHA-DS 之间的加权 Kappa 值为 0.76(95%CI:0.34-0.46)。与主要和总 AHA-DS 相比,New BALANCE DI 观察到的平均偏差分别为-16%(-51 至 19)和-8%(-41 至 24)。我们的结果表明,New BALANCE DI 可能是评估心肌梗死后患者饮食质量的有用工具。

https://cdn.ncbi.nlm.nih.gov/pmc/blobs/d99a/9002536/9043f06c0152/nutrients-14-01378-g001.jpg

文献检索

告别复杂PubMed语法,用中文像聊天一样搜索,搜遍4000万医学文献。AI智能推荐,让科研检索更轻松。

立即免费搜索

文件翻译

保留排版,准确专业,支持PDF/Word/PPT等文件格式,支持 12+语言互译。

免费翻译文档

深度研究

AI帮你快速写综述,25分钟生成高质量综述,智能提取关键信息,辅助科研写作。

立即免费体验