Suppr超能文献

镧系元素介导的异三金属环辛四烯基多夹心自组装体中电子和磁性的调控

Lanthanide-mediated tuning of electronic and magnetic properties in heterotrimetallic cyclooctatetraenyl multidecker self-assemblies.

作者信息

Zhou Zheng, McNeely James, Greenough Joshua, Wei Zheng, Han Haixiang, Rouzières Mathieu, Rogachev Andrey Yu, Clérac Rodolphe, Petrukhina Marina A

机构信息

Department of Chemistry, University at Albany, State University of New York Albany NY 12222 USA

Department of Chemistry, Boston University Boston MA USA.

出版信息

Chem Sci. 2022 Mar 14;13(13):3864-3874. doi: 10.1039/d2sc00631f. eCollection 2022 Mar 30.

Abstract

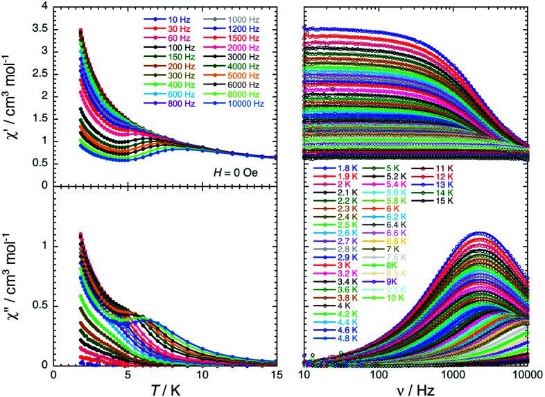
The synthesis of a novel family of homoleptic COT-based heterotrimetallic self-assemblies bearing the formula [LnKCa(COT)(THF)] (Ln(iii) = Gd, Tb, Dy, Ho, Er, Tm, and Yb) is reported followed by their X-ray crystallographic and magnetic characterization. All crystals conform to the monoclinic 2/ space group with a slight compression of the unit cell from 3396.4(2) Å to 3373.2(4) Å along the series. All complexes exhibit a triple-decker structure having the Ln(iii) and K(i) ions sandwiched by three COT ligands with an end-bound {Ca(THF)} moiety to form a non-linear (153.5°) arrangement of three different metals. The COT ligands act in a η-mode with respect to all metal centers. A detailed structural comparison of this unique set of heterotrimetallic complexes has revealed consistent trends along the series. From Gd to Yb, the Ln to ring-centroid distance decreases from 1.961(3) Å to 1.827(2) Å. In contrast, the separation of K(i) and Ca(ii) ions from the COT-centroid (2.443(3) and 1.914(3) Å, respectively) is not affected by the change of Ln(iii) ions. The magnetic property investigation of the [LnKCa(COT)(THF)] series (Ln(iii) = Gd, Tb, Dy, Ho, Er, and Tm) reveals that the Dy, Er, and Tm complexes display slow relaxation of their magnetization, in other words, single-molecule magnet (SMM) properties. This behaviour is dominated by thermally activated (Orbach-like) and quantum tunneling processes for [DyKCa(COT)(THF)] in contrast to [ErKCa(COT)(THF)], in which the thermally activated and Raman processes appear to be relevant. Details of the electronic structures and magnetic properties of these complexes are further clarified with the help of DFT and theoretical calculations.

摘要

报道了一类新型的同配型基于环辛四烯(COT)的异三金属自组装体的合成,其化学式为[LnKCa(COT)(THF)](Ln(iii) = Gd、Tb、Dy、Ho、Er、Tm和Yb),随后对其进行了X射线晶体学和磁性表征。所有晶体均符合单斜晶系2/空间群,沿该系列晶胞略有压缩,从3396.4(2) Å降至3373.2(4) Å。所有配合物均呈现三层结构,其中Ln(iii)和K(i)离子被三个COT配体夹在中间,带有一个端基配位的{Ca(THF)}部分,形成三种不同金属的非线性(153.5°)排列。COT配体相对于所有金属中心以η模式配位。对这组独特的异三金属配合物进行的详细结构比较揭示了该系列中的一致趋势。从Gd到Yb,Ln到环中心的距离从1.961(3) Å减小到1.827(2) Å。相比之下,K(i)和Ca(ii)离子与COT中心的间距(分别为2.443(3) 和1.914(3) Å)不受Ln(iii)离子变化的影响。对[LnKCa(COT)(THF)]系列(Ln(iii) = Gd、Tb、Dy、Ho、Er和Tm)的磁性研究表明,Dy、Er和Tm配合物表现出磁化强度的缓慢弛豫,换句话说,具有单分子磁体(SMM)性质。与[ErKCa(COT)(THF)]相比,[DyKCa(COT)(THF)]的这种行为主要由热激活(类奥尔巴赫)和量子隧穿过程主导,在[ErKCa(COT)(THF)]中,热激活和拉曼过程似乎起作用。借助密度泛函理论(DFT)和理论计算进一步阐明了这些配合物的电子结构和磁性细节。

https://cdn.ncbi.nlm.nih.gov/pmc/blobs/6bd9/8966735/a88cf8570714/d2sc00631f-s1.jpg

文献检索

告别复杂PubMed语法,用中文像聊天一样搜索,搜遍4000万医学文献。AI智能推荐,让科研检索更轻松。

立即免费搜索

文件翻译

保留排版,准确专业,支持PDF/Word/PPT等文件格式,支持 12+语言互译。

免费翻译文档

深度研究

AI帮你快速写综述,25分钟生成高质量综述,智能提取关键信息,辅助科研写作。

立即免费体验