• 文献检索
  • 文档翻译
  • 深度研究
  • 学术资讯
  • Suppr Zotero 插件Zotero 插件
  • 邀请有礼
  • 套餐&价格
  • 历史记录
应用&插件
Suppr Zotero 插件Zotero 插件浏览器插件Mac 客户端Windows 客户端微信小程序
定价
高级版会员购买积分包购买API积分包
服务
文献检索文档翻译深度研究API 文档MCP 服务
关于我们
关于 Suppr公司介绍联系我们用户协议隐私条款
关注我们

Suppr 超能文献

核心技术专利:CN118964589B侵权必究
粤ICP备2023148730 号-1Suppr @ 2026

文献检索

告别复杂PubMed语法,用中文像聊天一样搜索,搜遍4000万医学文献。AI智能推荐,让科研检索更轻松。

立即免费搜索

文件翻译

保留排版,准确专业,支持PDF/Word/PPT等文件格式,支持 12+语言互译。

免费翻译文档

深度研究

AI帮你快速写综述,25分钟生成高质量综述,智能提取关键信息,辅助科研写作。

立即免费体验

心力衰竭中的心室-血管解偶联:静息和运动时动脉压力反射诱发的交感神经兴奋的影响

Ventricular-Vascular Uncoupling in Heart Failure: Effects of Arterial Baroreflex-Induced Sympathoexcitation at Rest and During Exercise.

作者信息

Mannozzi Joseph, Al-Hassan Mohamed-Hussein, Kaur Jasdeep, Lessanework Beruk, Alvarez Alberto, Massoud Louis, Bhatti Tauheed, O'Leary Donal S

机构信息

Department of Physiology, Wayne State University School of Medicine, Detroit, MI, United States.

Department of Kinesiology and Health Education, University of Texas at Austin, Austin, TX, United States.

出版信息

Front Physiol. 2022 Apr 5;13:835951. doi: 10.3389/fphys.2022.835951. eCollection 2022.

DOI:10.3389/fphys.2022.835951
PMID:35450162
原文链接:https://pmc.ncbi.nlm.nih.gov/articles/PMC9016757/
Abstract

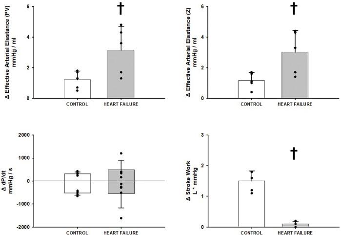
Autonomic alterations in blood pressure are primarily a result of arterial baroreflex modulation of systemic vascular resistance and cardiac output on a beat-by-beat basis. The combined central and peripheral control by the baroreflex likely acts to maintain efficient energy transfer from the heart to the systemic vasculature; termed ventricular-vascular coupling. This level of control is maintained whether at rest or during exercise in healthy subjects. During heart failure, the ventricular-vascular relationship is uncoupled and baroreflex dysfunction is apparent. We investigated if baroreflex dysfunction in heart failure exacerbated ventricular-vascular uncoupling at rest, and during exercise in response to baroreceptor unloading by performing bilateral carotid occlusions in chronically instrumented conscious canines. We observed in healthy subjects that baroreceptor unloading caused significant increases in effective arterial elastance (Ea) at rest (1.2 ± 0.3 mmHg/ml) and during exercise (1.3 ± 0.2 mmHg/ml) that coincided with significant increases in stroke work (SW) (1.5 ± 0.2 mmHg/ml) and (1.6 ± 0.2 mmHg/ml) suggesting maintained ventricular-vascular coupling. Heart Failure significantly increased the effect of baroreceptor unloading on Ea at rest (3.1 ± 0.7 mmHg/ml) and during exercise (2.3 ± 0.5 mmHg/ml) whereas no significant increases in stroke work occurred, thus signifying further ventricular-vascular uncoupling. We believe that the enhanced ventricular-vascular uncoupling observed during baroreceptor unloading only worsens the already challenged orthostatic and exercise tolerance and thereby contributes to poor exercise performance and quality of life for heart failure patients.

摘要

血压的自主神经改变主要是由于动脉压力反射在逐搏基础上对全身血管阻力和心输出量进行调节的结果。压力反射的中枢和外周联合控制可能起到维持从心脏到全身血管系统有效能量传递的作用;这被称为心室-血管耦合。在健康受试者中,无论处于静息状态还是运动期间,这种控制水平都会维持。在心力衰竭期间,心室-血管关系解耦,压力反射功能障碍明显。我们通过对长期植入仪器的清醒犬进行双侧颈动脉闭塞,研究心力衰竭时的压力反射功能障碍是否会在静息时以及运动期间因压力感受器卸载而加剧心室-血管解耦。我们观察到,在健康受试者中,压力感受器卸载会导致静息时(1.2±0.3 mmHg/ml)和运动期间(1.3±0.2 mmHg/ml)有效动脉弹性(Ea)显著增加,这与每搏功(SW)显著增加(1.5±0.2 mmHg/ml)和(1.6±0.2 mmHg/ml)同时出现,表明心室-血管耦合得以维持。心力衰竭显著增加了压力感受器卸载对静息时(3.1±0.7 mmHg/ml)和运动期间(2.3±0.5 mmHg/ml)Ea的影响,而每搏功没有显著增加,从而表明心室-血管进一步解耦。我们认为,在压力感受器卸载期间观察到的增强的心室-血管解耦只会使已经受到挑战的直立耐受性和运动耐受性恶化,从而导致心力衰竭患者运动能力差和生活质量低。

https://cdn.ncbi.nlm.nih.gov/pmc/blobs/44d1/9016757/d65f5d6e19cd/fphys-13-835951-g004.jpg
https://cdn.ncbi.nlm.nih.gov/pmc/blobs/44d1/9016757/e64fc889d927/fphys-13-835951-g001.jpg
https://cdn.ncbi.nlm.nih.gov/pmc/blobs/44d1/9016757/5ec178ff0e79/fphys-13-835951-g002.jpg
https://cdn.ncbi.nlm.nih.gov/pmc/blobs/44d1/9016757/07d984733d6a/fphys-13-835951-g003.jpg
https://cdn.ncbi.nlm.nih.gov/pmc/blobs/44d1/9016757/d65f5d6e19cd/fphys-13-835951-g004.jpg
https://cdn.ncbi.nlm.nih.gov/pmc/blobs/44d1/9016757/e64fc889d927/fphys-13-835951-g001.jpg
https://cdn.ncbi.nlm.nih.gov/pmc/blobs/44d1/9016757/5ec178ff0e79/fphys-13-835951-g002.jpg
https://cdn.ncbi.nlm.nih.gov/pmc/blobs/44d1/9016757/07d984733d6a/fphys-13-835951-g003.jpg
https://cdn.ncbi.nlm.nih.gov/pmc/blobs/44d1/9016757/d65f5d6e19cd/fphys-13-835951-g004.jpg

相似文献

1
Ventricular-Vascular Uncoupling in Heart Failure: Effects of Arterial Baroreflex-Induced Sympathoexcitation at Rest and During Exercise.心力衰竭中的心室-血管解偶联:静息和运动时动脉压力反射诱发的交感神经兴奋的影响
Front Physiol. 2022 Apr 5;13:835951. doi: 10.3389/fphys.2022.835951. eCollection 2022.
2
Arterial Baroreflex Inhibits Muscle Metaboreflex Induced Increases in Effective Arterial Elastance: Implications for Ventricular-Vascular Coupling.动脉压力反射抑制肌肉代谢反射引起的有效动脉弹性增加:对心室-血管耦合的影响。
Front Physiol. 2022 Mar 25;13:841076. doi: 10.3389/fphys.2022.841076. eCollection 2022.
3
Muscle metaboreflex-induced increases in effective arterial elastance: effect of heart failure.肌肉代谢反射引起的有效动脉弹性增加:心力衰竭的影响。
Am J Physiol Regul Integr Comp Physiol. 2020 Jul 1;319(1):R1-R10. doi: 10.1152/ajpregu.00040.2020. Epub 2020 Apr 29.
4
Interaction between the muscle metaboreflex and the arterial baroreflex in control of arterial pressure and skeletal muscle blood flow.在控制动脉血压和骨骼肌血流方面,肌肉代谢反射与动脉压力反射之间的相互作用。
Am J Physiol Heart Circ Physiol. 2016 Nov 1;311(5):H1268-H1276. doi: 10.1152/ajpheart.00501.2016. Epub 2016 Sep 9.
5
Altered arterial baroreflex-muscle metaboreflex interaction in heart failure.心力衰竭时动脉压力感受性反射-肌肉代谢性感受性反射相互作用的改变。
Am J Physiol Heart Circ Physiol. 2018 Nov 1;315(5):H1383-H1392. doi: 10.1152/ajpheart.00338.2018. Epub 2018 Aug 3.
6
Effects of head-up tilting on baroreceptor control in subjects with different tolerances to orthostatic stress.头高位倾斜对不同体位性应激耐受性受试者压力感受器控制的影响。
Clin Sci (Lond). 2002 Sep;103(3):221-6. doi: 10.1042/cs1030221.
7
Effects of Prolonged Head-Down Bed Rest on Cardiac and Vascular Baroreceptor Modulation and Orthostatic Tolerance in Healthy Individuals.长期头低位卧床休息对健康个体心脏和血管压力感受器调节及直立耐力的影响。
Front Physiol. 2019 Aug 23;10:1061. doi: 10.3389/fphys.2019.01061. eCollection 2019.
8
Prolonged latency in the baroreflex mediated vascular resistance response in subjects with postural related syncope.体位性相关晕厥患者压力反射介导的血管阻力反应存在延迟延长。
Clin Auton Res. 2005 Jun;15(3):207-12. doi: 10.1007/s10286-005-0273-8.
9
Hypertension depresses arterial baroreflex control of both heart rate and cardiac output during rest, exercise, and metaboreflex activation.高血压在休息、运动和代谢反射激活期间抑制动脉压力感受器反射对心率和心输出量的控制。
Am J Physiol Regul Integr Comp Physiol. 2022 Nov 1;323(5):R720-R727. doi: 10.1152/ajpregu.00093.2022. Epub 2022 Sep 19.
10
Right Ventricular-Arterial Uncoupling During Exercise in Heart Failure With Preserved Ejection Fraction: Role of Pulmonary Vascular Dysfunction.右心室-动脉解偶联在射血分数保留的心力衰竭中的运动:肺血管功能障碍的作用。
Chest. 2019 Nov;156(5):933-943. doi: 10.1016/j.chest.2019.04.109. Epub 2019 May 16.

引用本文的文献

1
Mechanisms mediating muscle metaboreflex control of cardiac output during exercise: Impaired regulation in heart failure.运动期间介导肌肉代谢性反射对心输出量控制的机制:心力衰竭时的调节受损。
Exp Physiol. 2025 May;110(5):675-685. doi: 10.1113/EP091752. Epub 2024 Mar 9.
2
Muscle metaboreflex stimulates the cardiac sympathetic afferent reflex causing positive feedback amplification of sympathetic activity: effect of heart failure.肌肉代谢反射刺激心脏交感传入反射,导致交感活动的正反馈放大:心力衰竭的影响。
Am J Physiol Regul Integr Comp Physiol. 2024 Feb 1;326(2):R110-R120. doi: 10.1152/ajpregu.00235.2023. Epub 2023 Nov 27.
3

本文引用的文献

1
Ventricular contraction and relaxation rates during muscle metaboreflex activation in heart failure: are they coupled?心力衰竭时肌肉代谢反射激活期间心室收缩和舒张速率:它们是否相关?
Exp Physiol. 2021 Feb;106(2):401-411. doi: 10.1113/EP089053. Epub 2020 Dec 9.
2
Muscle metaboreflex-induced increases in effective arterial elastance: effect of heart failure.肌肉代谢反射引起的有效动脉弹性增加:心力衰竭的影响。
Am J Physiol Regul Integr Comp Physiol. 2020 Jul 1;319(1):R1-R10. doi: 10.1152/ajpregu.00040.2020. Epub 2020 Apr 29.
3
Sex differences in baroreflex function in health and disease.
Augmented sympathoexcitation slows postexercise heart rate recovery.
增强的交感神经兴奋会减缓运动后心率的恢复。
J Appl Physiol (1985). 2023 Dec 1;135(6):1300-1311. doi: 10.1152/japplphysiol.00549.2023. Epub 2023 Oct 26.
4
Blood flow restriction training activates the muscle metaboreflex during low-intensity sustained exercise.血流限制训练在低强度持续运动中激活肌肉代谢反射。
J Appl Physiol (1985). 2023 Aug 1;135(2):260-270. doi: 10.1152/japplphysiol.00274.2023. Epub 2023 Jun 22.
5
Arterial Elastance: A Predictor of Hypotension Due to Anesthesia Induction.动脉弹性:麻醉诱导所致低血压的预测指标。
J Clin Med. 2023 Apr 27;12(9):3155. doi: 10.3390/jcm12093155.
6
Arterial Baroreflex Dysfunction Promotes Neuroinflammation by Activating the Platelet CD40L/Nuclear Factor Kappa B Signaling Pathway in Microglia and Astrocytes.动脉压力感受反射功能障碍通过激活小胶质细胞和星形胶质细胞中的血小板 CD40L/核因子 κB 信号通路促进神经炎症。
Neurochem Res. 2023 Jun;48(6):1691-1706. doi: 10.1007/s11064-022-03852-1. Epub 2023 Jan 2.
健康与疾病中的压力反射功能的性别差异。
J Physiol Sci. 2019 Nov;69(6):851-859. doi: 10.1007/s12576-019-00727-z. Epub 2019 Nov 12.
4
Altered arterial baroreflex-muscle metaboreflex interaction in heart failure.心力衰竭时动脉压力感受性反射-肌肉代谢性感受性反射相互作用的改变。
Am J Physiol Heart Circ Physiol. 2018 Nov 1;315(5):H1383-H1392. doi: 10.1152/ajpheart.00338.2018. Epub 2018 Aug 3.
5
Identifying the role of group III/IV muscle afferents in the carotid baroreflex control of mean arterial pressure and heart rate during exercise.确定 III/IV 组肌梭传入纤维在运动时颈动脉压力反射对平均动脉压和心率控制中的作用。
J Physiol. 2018 Apr 15;596(8):1373-1384. doi: 10.1113/JP275465. Epub 2018 Mar 2.
6
The carotid baroreflex modifies the pressor threshold of the muscle metaboreflex in humans.颈动脉压力反射可改变人体肌肉代谢反射的升压阈值。
Am J Physiol Heart Circ Physiol. 2017 Sep 1;313(3):H650-H657. doi: 10.1152/ajpheart.00816.2016. Epub 2017 Jul 7.
7
Arterial Stiffening With Exercise in Patients With Heart Failure and Preserved Ejection Fraction.射血分数保留的心力衰竭患者运动时的动脉僵硬度
J Am Coll Cardiol. 2017 Jul 11;70(2):136-148. doi: 10.1016/j.jacc.2017.05.029.
8
Arterial-ventricular coupling and parameters of vascular stiffness in hypertensive patients: Role of gender.高血压患者的动室耦合与血管僵硬度参数:性别作用
JRSM Cardiovasc Dis. 2017 Feb 1;6:2048004017692277. doi: 10.1177/2048004017692277. eCollection 2017 Jan-Dec.
9
Interaction between the muscle metaboreflex and the arterial baroreflex in control of arterial pressure and skeletal muscle blood flow.在控制动脉血压和骨骼肌血流方面,肌肉代谢反射与动脉压力反射之间的相互作用。
Am J Physiol Heart Circ Physiol. 2016 Nov 1;311(5):H1268-H1276. doi: 10.1152/ajpheart.00501.2016. Epub 2016 Sep 9.
10
Reflex control of the circulation during exercise.运动期间循环系统的反射控制。
Scand J Med Sci Sports. 2015 Dec;25 Suppl 4:74-82. doi: 10.1111/sms.12600.