• 文献检索
  • 文档翻译
  • 深度研究
  • 学术资讯
  • Suppr Zotero 插件Zotero 插件
  • 邀请有礼
  • 套餐&价格
  • 历史记录
应用&插件
Suppr Zotero 插件Zotero 插件浏览器插件Mac 客户端Windows 客户端微信小程序
定价
高级版会员购买积分包购买API积分包
服务
文献检索文档翻译深度研究API 文档MCP 服务
关于我们
关于 Suppr公司介绍联系我们用户协议隐私条款
关注我们

Suppr 超能文献

核心技术专利:CN118964589B侵权必究
粤ICP备2023148730 号-1Suppr @ 2026

文献检索

告别复杂PubMed语法,用中文像聊天一样搜索,搜遍4000万医学文献。AI智能推荐,让科研检索更轻松。

立即免费搜索

文件翻译

保留排版,准确专业,支持PDF/Word/PPT等文件格式,支持 12+语言互译。

免费翻译文档

深度研究

AI帮你快速写综述,25分钟生成高质量综述,智能提取关键信息,辅助科研写作。

立即免费体验

掺铌铋钠钛基陶瓷具有高电致伸缩性能和储能性能,且热稳定性优异。

High electrostrictive properties and energy storage performances with excellent thermal stability in Nb-doped BiNaTiO-based ceramics.

作者信息

Wu Yichen, Wang Genshui, Jiao Zheng, Fan Yuzhu, Peng Ping, Dong Xianlin

机构信息

School of Environmental and Chemical Engineering, Shanghai University Shanghai 200444 China.

Key Laboratory of Inorganic Functional Materials and Devices, Shanghai Institute of Ceramics, Chinese Academy of Sciences Shanghai 200050 China

出版信息

RSC Adv. 2019 Jul 10;9(37):21355-21362. doi: 10.1039/c9ra04069b. eCollection 2019 Jul 5.

DOI:10.1039/c9ra04069b
PMID:35521336
原文链接:https://pmc.ncbi.nlm.nih.gov/articles/PMC9066180/
Abstract

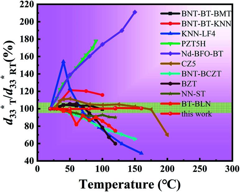
As a promising candidate material replacing Pb(ZrTi)O (PZT), the lead-free BiNaTiO (BNT) system exhibits outstanding piezoelectric and ferroelectric properties. However, the weak thermal stability of these electric properties hampers its practical applications. In this work, we designed and prepared novel Nb-doped 0.76BiNaTiO-0.24BiKTiO (BNT-BKT) ceramics with superior temperature stability of electric properties. Both strain as well as discharging properties of 5% Nb-doped BNT-BKT ceramics varied less than 3% and 12.5% respectively from room temperature to 160 °C, ascribed to the enlarged gap between the depolarized temperature ( or ) and the maximum dielectric temperature ( ). In addition, we investigated the impacts of Nb doping on the phase transition, dielectric, piezoelectric and ferroelectric behaviors of BNT-BKT ceramics in detail. Temperature dependent dielectric spectrums indicated that decreased below room temperature with Nb modifying, revealing that the phase structure transformed from ferroelectric into ergodic relaxor. Accordingly, the maximum strain value of 0.21% and recoverable energy storage of 1.2 J cm were simultaneously acquired at the critical composition of 5% Nb incorporation. Our results provide an effective means of obtaining BNT-based ceramics with simultaneously thermally stable strain and discharge properties for wide temperature actuator and capacitor applications.

摘要

作为一种有望替代铅基锆钛酸铅(PZT)的候选材料,无铅铋钠钛酸盐(BNT)体系展现出优异的压电和铁电性能。然而,这些电学性能较弱的热稳定性阻碍了其实际应用。在本工作中,我们设计并制备了具有优异电学性能温度稳定性的新型铌掺杂0.76BiNaTiO-0.24BiKTiO(BNT-BKT)陶瓷。5%铌掺杂的BNT-BKT陶瓷的应变和放电性能从室温到160°C分别变化小于3%和12.5%,这归因于去极化温度(或)与最大介电温度()之间的间隙增大。此外,我们详细研究了铌掺杂对BNT-BKT陶瓷的相变、介电、压电和铁电行为的影响。温度依赖的介电谱表明,随着铌的改性,在室温以下降低,表明相结构从铁电体转变为遍历弛豫体。相应地,在铌掺入量为5%的临界组成下,同时获得了0.21%的最大应变值和1.2 J cm的可恢复储能。我们的结果提供了一种有效的方法,可获得具有同时热稳定应变和放电性能的BNT基陶瓷,用于宽温度范围的致动器和电容器应用。

https://cdn.ncbi.nlm.nih.gov/pmc/blobs/cb3c/9066180/37b3fe36bf3b/c9ra04069b-f9.jpg
https://cdn.ncbi.nlm.nih.gov/pmc/blobs/cb3c/9066180/ecd94f1d8f20/c9ra04069b-f1.jpg
https://cdn.ncbi.nlm.nih.gov/pmc/blobs/cb3c/9066180/d68268406179/c9ra04069b-f2.jpg
https://cdn.ncbi.nlm.nih.gov/pmc/blobs/cb3c/9066180/198d4736229d/c9ra04069b-f3.jpg
https://cdn.ncbi.nlm.nih.gov/pmc/blobs/cb3c/9066180/ef9620d73260/c9ra04069b-f4.jpg
https://cdn.ncbi.nlm.nih.gov/pmc/blobs/cb3c/9066180/6a7e523a79a2/c9ra04069b-f5.jpg
https://cdn.ncbi.nlm.nih.gov/pmc/blobs/cb3c/9066180/3ced732505b2/c9ra04069b-f6.jpg
https://cdn.ncbi.nlm.nih.gov/pmc/blobs/cb3c/9066180/bc39844f7b14/c9ra04069b-f7.jpg
https://cdn.ncbi.nlm.nih.gov/pmc/blobs/cb3c/9066180/a8010904149e/c9ra04069b-f8.jpg
https://cdn.ncbi.nlm.nih.gov/pmc/blobs/cb3c/9066180/37b3fe36bf3b/c9ra04069b-f9.jpg
https://cdn.ncbi.nlm.nih.gov/pmc/blobs/cb3c/9066180/ecd94f1d8f20/c9ra04069b-f1.jpg
https://cdn.ncbi.nlm.nih.gov/pmc/blobs/cb3c/9066180/d68268406179/c9ra04069b-f2.jpg
https://cdn.ncbi.nlm.nih.gov/pmc/blobs/cb3c/9066180/198d4736229d/c9ra04069b-f3.jpg
https://cdn.ncbi.nlm.nih.gov/pmc/blobs/cb3c/9066180/ef9620d73260/c9ra04069b-f4.jpg
https://cdn.ncbi.nlm.nih.gov/pmc/blobs/cb3c/9066180/6a7e523a79a2/c9ra04069b-f5.jpg
https://cdn.ncbi.nlm.nih.gov/pmc/blobs/cb3c/9066180/3ced732505b2/c9ra04069b-f6.jpg
https://cdn.ncbi.nlm.nih.gov/pmc/blobs/cb3c/9066180/bc39844f7b14/c9ra04069b-f7.jpg
https://cdn.ncbi.nlm.nih.gov/pmc/blobs/cb3c/9066180/a8010904149e/c9ra04069b-f8.jpg
https://cdn.ncbi.nlm.nih.gov/pmc/blobs/cb3c/9066180/37b3fe36bf3b/c9ra04069b-f9.jpg

相似文献

1
High electrostrictive properties and energy storage performances with excellent thermal stability in Nb-doped BiNaTiO-based ceramics.掺铌铋钠钛基陶瓷具有高电致伸缩性能和储能性能,且热稳定性优异。
RSC Adv. 2019 Jul 10;9(37):21355-21362. doi: 10.1039/c9ra04069b. eCollection 2019 Jul 5.
2
Enhanced Ferroelectric and Dielectric Properties of Niobium-Doped Lead-Free Piezoceramics.铌掺杂无铅压电陶瓷的增强铁电和介电性能
Materials (Basel). 2023 Jan 4;16(2):477. doi: 10.3390/ma16020477.
3
Superior Thermal Stability of High Energy Density and Power Density in Domain-Engineered BiNaTiO-NaTaO Relaxor Ferroelectrics.畴工程 BiNaTiO-NaTaO 弛豫铁电体中具有高能量密度和功率密度的优越热稳定性。
ACS Appl Mater Interfaces. 2019 Nov 20;11(46):43107-43115. doi: 10.1021/acsami.9b13215. Epub 2019 Nov 11.
4
Dielectric and Ferroelectric Properties of SrTiO-BiNaTiO-BaAlNbO Lead-Free Ceramics for High-Energy-Storage Applications.用于高储能应用的 SrTiO-BiNaTiO-BaAlNbO 无铅陶瓷的介电和铁电性能
Inorg Chem. 2017 Nov 6;56(21):13510-13516. doi: 10.1021/acs.inorgchem.7b02181.
5
Improved Non-Piezoelectric Electric Properties Based on La Modulated Ferroelectric-Ergodic Relaxor Transition in (BiNa)TiO-Ba(Ti, Zr)O Ceramics.基于La调制的(BiNa)TiO-Ba(Ti,Zr)O陶瓷中铁电-遍历弛豫转变的改进非压电电学性能
Materials (Basel). 2021 Nov 5;14(21):6666. doi: 10.3390/ma14216666.
6
Composition- and temperature-driven phase transition characteristics and associated electromechanical properties in Bi0.5Na0.5TiO3-based lead-free ceramics.Bi0.5Na0.5TiO3基无铅陶瓷中成分和温度驱动的相变特性及相关机电性能
Dalton Trans. 2016 May 17;45(20):8573-86. doi: 10.1039/c6dt00906a.
7
Composite Scheme for Deferred Thermal Depolarization of Lead-Free BiNaTiO-Based Piezoelectric Ceramics.无铅铋钠钛基压电陶瓷的延迟热去极化复合方案
ACS Appl Mater Interfaces. 2024 Jul 3;16(26):33771-33779. doi: 10.1021/acsami.4c04805. Epub 2024 Jun 18.
8
Enhancing Energy Storage Performance of 0.85BiNaTiO-0.15LaFeO Lead-Free Ferroelectric Ceramics via Buried Sintering.通过埋烧法提高0.85BiNaTiO-0.15LaFeO无铅铁电陶瓷的储能性能
Materials (Basel). 2024 Aug 13;17(16):4019. doi: 10.3390/ma17164019.
9
Tailoring frequency-insensitive large field-induced strain and energy storage properties in (BaCa)(ZrTi)O-modified (BiNa)TiO lead-free ceramics.在(BaCa)(ZrTi)O改性的(BiNa)TiO无铅陶瓷中定制频率不敏感的大场诱导应变和储能性能。
Dalton Trans. 2019 Jul 21;48(27):10160-10173. doi: 10.1039/c9dt01738k. Epub 2019 Jun 12.
10
Superior Energy-Storage Properties in BiNaTiO-Based Lead-Free Ceramics via Simultaneously Manipulating Multiscale Structure and Field-Induced Structure Transition.通过同时调控多尺度结构和场致结构转变实现铋钠钛基无铅陶瓷优异的储能性能
ACS Appl Mater Interfaces. 2022 Sep 7;14(35):40043-40051. doi: 10.1021/acsami.2c11318. Epub 2022 Aug 25.

引用本文的文献

1
Enhanced Ferroelectric and Dielectric Properties of Niobium-Doped Lead-Free Piezoceramics.铌掺杂无铅压电陶瓷的增强铁电和介电性能
Materials (Basel). 2023 Jan 4;16(2):477. doi: 10.3390/ma16020477.

本文引用的文献

1
Enhanced temperature stability in the R-T phase boundary with dominating intrinsic contribution.具有主导本征贡献的 R-T 相界中的增强温度稳定性。
Phys Chem Chem Phys. 2018 Aug 1;20(30):20149-20159. doi: 10.1039/c8cp02891e.
2
Giant Strains in Non-Textured (Bi1/2 Na1/2 )TiO3 -Based Lead-Free Ceramics.无纹理(Bi1/2 Na1/2 )TiO3 基无铅陶瓷中的大应变。
Adv Mater. 2016 Jan 20;28(3):574-8. doi: 10.1002/adma.201503768. Epub 2015 Nov 24.
3
Semiconductor/relaxor 0-3 type composites without thermal depolarization in Bi₀.₅Na₀.₅TiO₃-based lead-free piezoceramics.
基于 Bi₀.₅Na₅TiO₃ 的无热去极化的弛豫铁电半导体/0-3 型复合材料
Nat Commun. 2015 Mar 19;6:6615. doi: 10.1038/ncomms7615.