• 文献检索
  • 文档翻译
  • 深度研究
  • 学术资讯
  • Suppr Zotero 插件Zotero 插件
  • 邀请有礼
  • 套餐&价格
  • 历史记录
应用&插件
Suppr Zotero 插件Zotero 插件浏览器插件Mac 客户端Windows 客户端微信小程序
定价
高级版会员购买积分包购买API积分包
服务
文献检索文档翻译深度研究API 文档MCP 服务
关于我们
关于 Suppr公司介绍联系我们用户协议隐私条款
关注我们

Suppr 超能文献

核心技术专利:CN118964589B侵权必究
粤ICP备2023148730 号-1Suppr @ 2026

文献检索

告别复杂PubMed语法,用中文像聊天一样搜索,搜遍4000万医学文献。AI智能推荐,让科研检索更轻松。

立即免费搜索

文件翻译

保留排版,准确专业,支持PDF/Word/PPT等文件格式,支持 12+语言互译。

免费翻译文档

深度研究

AI帮你快速写综述,25分钟生成高质量综述,智能提取关键信息,辅助科研写作。

立即免费体验

对类风湿关节炎常规合成改善病情抗风湿药治疗窗口机会的 10 年结局的积极影响:来自 ESPOIR 队列的结果。

Positive impact on 10-year outcome of the window of opportunity for conventional synthetic DMARDs in rheumatoid arthritis: results from the ESPOIR cohort.

机构信息

Institut Pierre Louis d'Epidémiologie et de Santé Publique (IPLESP), UMR S 1136, Sorbonne Université, Paris, France

APHP, Rheumatology Department, Hopital Universitaire Pitie Salpetriere, Paris, France.

出版信息

RMD Open. 2022 May;8(1). doi: 10.1136/rmdopen-2021-002040.

DOI:10.1136/rmdopen-2021-002040
PMID:35534053
原文链接:https://pmc.ncbi.nlm.nih.gov/articles/PMC9086647/
Abstract

OBJECTIVE

This study aimed to assess the impact of disease-modifying antirheumatic drugs (DMARDs) on 10-year outcomes in rheumatoid arthritis (RA).

METHODS

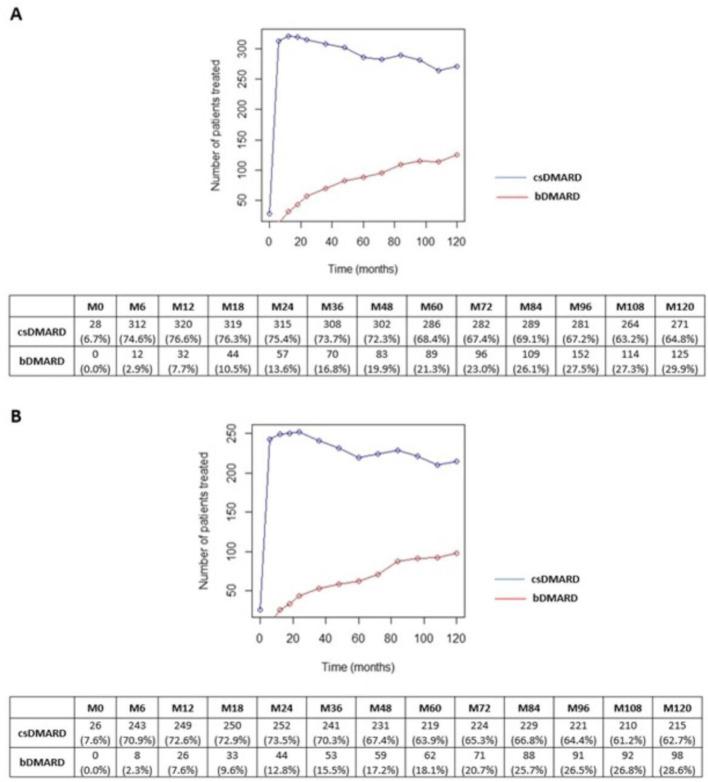
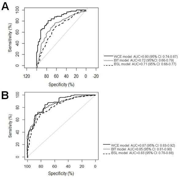
Patients with RA from the ESPOIR cohort with complete data on Disease Activity Score in 28 Joints (DAS28) and Health Assessment Questionnaire (HAQ) at 10 years (n=418) and complete radiographic data at baseline and 10 years (n=343) were included in this study. Outcomes were favourable outcome (FavOut) at 10 years, defined as DAS28 of <2.6 and HAQ score of <0.5 at 10 years, and absence of structural damage progression (AbsSDP) at 10 years, defined as change in Sharp-van der Heijde Score less than the smallest detectable change at 10 years (11.5 points). Three multivariate logistic regression models predicting 10-year outcome were built, considering (1) baseline variables only, (2) baseline variables and DMARD exposure (ever exposed, yes/no) and (3) baseline variables and DMARD exposure as weighted cumulative exposure (WCE) variables.

RESULTS

Overall, 196/418 (46.9%) patients showed FavOut and 252/343 (73.5%) AbsSDP. WCE models had the best predictive performance, with area under the curve=0.80 (95% CI 0.74 to 0.87) for FavOut and 0.87 (95% CI 0.83 to 0.92) for AbsSDP. In the WCE model, the odds of FavOut and AbsSDP were reduced with conventional synthetic disease-modifying antirheumatic drug (csDMARD) initiation at 12 months versus at baseline (OR 0.78, 95% CI 0.65 to 0.94, and OR 0.89, 95% CI 0.76 to 0.98, respectively). Early biologics initiation was not significantly associated with either outcome.

CONCLUSIONS

WCE models can identify and quantify the long-term benefit of early csDMARD initiation on 10-year functional and structural outcomes in patients with RA.

摘要

目的

本研究旨在评估疾病修饰抗风湿药物(DMARDs)对类风湿关节炎(RA)患者 10 年结局的影响。

方法

纳入 ESPOIR 队列中符合以下条件的 RA 患者:10 年时 DAS28 和健康评估问卷(HAQ)数据完整(n=418),且基线和 10 年时完整的放射学数据(n=343)。主要结局为 10 年时的良好结局(FavOut),定义为 10 年时 DAS28<2.6 和 HAQ 评分<0.5;次要结局为 10 年时无结构损伤进展(AbsSDP),定义为 10 年时 Sharp-van der Heijde 评分的变化小于最易检测变化(11.5 分)。建立了三个多变量逻辑回归模型来预测 10 年结局,考虑了(1)仅基线变量,(2)基线变量和 DMARD 暴露(既往暴露,是/否),(3)基线变量和 DMARD 暴露作为加权累积暴露(WCE)变量。

结果

共有 418 例患者中的 196 例(46.9%)达到 FavOut,343 例患者中的 252 例(73.5%)达到 AbsSDP。WCE 模型具有最佳的预测性能,FavOut 的曲线下面积为 0.80(95%CI 0.74 至 0.87),AbsSDP 的曲线下面积为 0.87(95%CI 0.83 至 0.92)。在 WCE 模型中,与基线相比,12 个月时开始使用传统合成 DMARD(csDMARD)治疗 FavOut 和 AbsSDP 的可能性降低(OR 0.78,95%CI 0.65 至 0.94 和 OR 0.89,95%CI 0.76 至 0.98)。早期生物制剂的起始与两种结局均无显著相关性。

结论

WCE 模型可以识别和量化早期 csDMARD 起始治疗对 RA 患者 10 年功能和结构结局的长期获益。

https://cdn.ncbi.nlm.nih.gov/pmc/blobs/46cf/9086647/584d01eefe40/rmdopen-2021-002040f06.jpg
https://cdn.ncbi.nlm.nih.gov/pmc/blobs/46cf/9086647/394246526281/rmdopen-2021-002040f01.jpg
https://cdn.ncbi.nlm.nih.gov/pmc/blobs/46cf/9086647/a7566e7b1b4b/rmdopen-2021-002040f02.jpg
https://cdn.ncbi.nlm.nih.gov/pmc/blobs/46cf/9086647/66924605e2b7/rmdopen-2021-002040f03.jpg
https://cdn.ncbi.nlm.nih.gov/pmc/blobs/46cf/9086647/af14b08cebff/rmdopen-2021-002040f04.jpg
https://cdn.ncbi.nlm.nih.gov/pmc/blobs/46cf/9086647/11625850db37/rmdopen-2021-002040f05.jpg
https://cdn.ncbi.nlm.nih.gov/pmc/blobs/46cf/9086647/584d01eefe40/rmdopen-2021-002040f06.jpg
https://cdn.ncbi.nlm.nih.gov/pmc/blobs/46cf/9086647/394246526281/rmdopen-2021-002040f01.jpg
https://cdn.ncbi.nlm.nih.gov/pmc/blobs/46cf/9086647/a7566e7b1b4b/rmdopen-2021-002040f02.jpg
https://cdn.ncbi.nlm.nih.gov/pmc/blobs/46cf/9086647/66924605e2b7/rmdopen-2021-002040f03.jpg
https://cdn.ncbi.nlm.nih.gov/pmc/blobs/46cf/9086647/af14b08cebff/rmdopen-2021-002040f04.jpg
https://cdn.ncbi.nlm.nih.gov/pmc/blobs/46cf/9086647/11625850db37/rmdopen-2021-002040f05.jpg
https://cdn.ncbi.nlm.nih.gov/pmc/blobs/46cf/9086647/584d01eefe40/rmdopen-2021-002040f06.jpg

相似文献

1
Positive impact on 10-year outcome of the window of opportunity for conventional synthetic DMARDs in rheumatoid arthritis: results from the ESPOIR cohort.对类风湿关节炎常规合成改善病情抗风湿药治疗窗口机会的 10 年结局的积极影响:来自 ESPOIR 队列的结果。
RMD Open. 2022 May;8(1). doi: 10.1136/rmdopen-2021-002040.
2
Predictors of good response to conventional synthetic DMARDs in early seronegative rheumatoid arthritis: data from the ESPOIR cohort.早期血清阴性类风湿关节炎中对常规合成 DMARDs 反应良好的预测因素:来自 ESPOIR 队列的数据。
Arthritis Res Ther. 2019 Nov 15;21(1):243. doi: 10.1186/s13075-019-2020-x.
3
Matrix to predict rapid radiographic progression of early rheumatoid arthritis patients from the community treated with methotrexate or leflunomide: results from the ESPOIR cohort.预测接受甲氨蝶呤或来氟米特治疗的社区早期类风湿关节炎患者影像学快速进展的模型:ESPOIR队列研究结果
Arthritis Res Ther. 2012 Nov 19;14(6):R249. doi: 10.1186/ar4092.
4
Five-year favorable outcome of patients with early rheumatoid arthritis in the 2000s: data from the ESPOIR cohort.21 世纪初早期类风湿关节炎患者的 5 年良好预后:来自 ESPOIR 队列的数据。
J Rheumatol. 2013 Oct;40(10):1650-7. doi: 10.3899/jrheum.121515. Epub 2013 Aug 15.
5
Effect of cumulative exposure to corticosteroid and DMARD on radiographic progression in rheumatoid arthritis: results from the ESPOIR cohort.累积皮质类固醇和 DMARD 暴露对类风湿关节炎放射学进展的影响:来自 ESPOIR 队列的结果。
Rheumatology (Oxford). 2018 Sep 1;57(9):1563-1573. doi: 10.1093/rheumatology/key122.
6
Biologics or tofacitinib for people with rheumatoid arthritis unsuccessfully treated with biologics: a systematic review and network meta-analysis.生物制剂或托法替布用于生物制剂治疗类风湿关节炎失败的患者:一项系统评价和网状Meta分析
Cochrane Database Syst Rev. 2017 Mar 10;3(3):CD012591. doi: 10.1002/14651858.CD012591.
7
Joint damage progression in patients with rheumatoid arthritis in clinical remission: do biologics perform better than synthetic antirheumatic drugs?类风湿关节炎临床缓解患者的关节损伤进展:生物制剂比合成抗风湿药物效果更好吗?
J Rheumatol. 2014 Aug;41(8):1576-82. doi: 10.3899/jrheum.130767. Epub 2014 Jul 15.
8
Evaluating relationships between symptom duration and persistence of rheumatoid arthritis: does a window of opportunity exist? Results on the Leiden early arthritis clinic and ESPOIR cohorts.评估类风湿关节炎症状持续时间与持续性之间的关系:是否存在机会之窗?莱顿早期关节炎诊所和 ESPOIR 队列的研究结果。
Ann Rheum Dis. 2015 May;74(5):806-12. doi: 10.1136/annrheumdis-2014-206047. Epub 2015 Jan 5.
9
Association Between Vitamin D Deficiency and Disease Activity, Disability, and Radiographic Progression in Early Rheumatoid Arthritis: The ESPOIR Cohort.维生素 D 缺乏与早期类风湿关节炎的疾病活动度、残疾和放射学进展的关系:ESPOIR 队列研究。
J Rheumatol. 2020 Nov 1;47(11):1624-1628. doi: 10.3899/jrheum.190795. Epub 2019 Dec 15.
10
Comparison of the long-term outcome for patients with rheumatoid arthritis with persistent moderate disease activity or disease remission during the first year after diagnosis: data from the ESPOIR cohort.比较诊断后第一年持续存在中度疾病活动或疾病缓解的类风湿关节炎患者的长期结局:来自 ESPOIR 队列的数据。
Ann Rheum Dis. 2015 Apr;74(4):724-9. doi: 10.1136/annrheumdis-2013-204178. Epub 2014 Jan 7.

引用本文的文献

1
Incidence of rheumatoid arthritis in Austria: a prospective population-based cohort study in a federal province.奥地利类风湿关节炎的发病率:在一个联邦州进行的基于人群的前瞻性队列研究。
RMD Open. 2025 Feb 23;11(1):e005331. doi: 10.1136/rmdopen-2024-005331.
2
On difficulties to define prognostic factors for clinical practice in rheumatoid arthritis.关于类风湿关节炎临床实践中预后因素定义的困难。
RMD Open. 2024 Sep 28;10(3):e004472. doi: 10.1136/rmdopen-2024-004472.
3
The weighted cumulative exposure method and its application to pharmacoepidemiology: A narrative review.

本文引用的文献

1
Referring early arthritis patients within 6 weeks versus 12 weeks after symptom onset: an observational cohort study.症状出现后6周内与12周内转诊早期关节炎患者:一项观察性队列研究。
Lancet Rheumatol. 2020 Jun;2(6):e332-e338. doi: 10.1016/S2665-9913(20)30061-8. Epub 2020 Apr 28.
2
Time to initiation of biologic disease-modifying antirheumatic drugs in the French cohort ESPOIR.法国 ESPOIR 队列中生物疾病修正抗风湿药物的起始时间。
Joint Bone Spine. 2021 Jan;88(1):105060. doi: 10.1016/j.jbspin.2020.07.009. Epub 2020 Aug 2.
3
EULAR recommendations for the management of rheumatoid arthritis with synthetic and biological disease-modifying antirheumatic drugs: 2019 update.
加权累积暴露法及其在药物流行病学中的应用:叙述性综述。
Pharmacoepidemiol Drug Saf. 2024 Jan;33(1):e5701. doi: 10.1002/pds.5701. Epub 2023 Sep 25.
EULAR 推荐的类风湿关节炎治疗策略:2019 年更新版(使用合成和生物疾病修正抗风湿药物)
Ann Rheum Dis. 2020 Jun;79(6):685-699. doi: 10.1136/annrheumdis-2019-216655. Epub 2020 Jan 22.
4
Disease activity measures at baseline predict structural damage progression: data from the randomized, controlled AMPLE and AVERT trials.基线时的疾病活动度测量可预测结构损伤进展:来自随机对照 AMPLE 和 AVERT 试验的数据。
Rheumatology (Oxford). 2020 Aug 1;59(8):2090-2098. doi: 10.1093/rheumatology/kez455.
5
Predictors of good response to conventional synthetic DMARDs in early seronegative rheumatoid arthritis: data from the ESPOIR cohort.早期血清阴性类风湿关节炎中对常规合成 DMARDs 反应良好的预测因素:来自 ESPOIR 队列的数据。
Arthritis Res Ther. 2019 Nov 15;21(1):243. doi: 10.1186/s13075-019-2020-x.
6
Window of opportunity in rheumatoid arthritis - definitions and supporting evidence: from old to new perspectives.类风湿关节炎的治疗窗口——定义与支持证据:从旧到新的观点。
RMD Open. 2019 Apr 3;5(1):e000870. doi: 10.1136/rmdopen-2018-000870. eCollection 2019.
7
Effect of cumulative exposure to corticosteroid and DMARD on radiographic progression in rheumatoid arthritis: results from the ESPOIR cohort.累积皮质类固醇和 DMARD 暴露对类风湿关节炎放射学进展的影响:来自 ESPOIR 队列的结果。
Rheumatology (Oxford). 2018 Sep 1;57(9):1563-1573. doi: 10.1093/rheumatology/key122.
8
Effects of biologic disease-modifying anti-rheumatic drugs on the radiographic progression of rheumatoid arthritis: a systematic literature review.生物制剂类改善病情抗风湿药物对类风湿关节炎放射学进展的影响:系统文献回顾。
Clin Exp Rheumatol. 2018 Jul-Aug;36(4):658-667. Epub 2018 Mar 20.
9
Twenty-Year Outcome and Association Between Early Treatment and Mortality and Disability in an Inception Cohort of Patients With Rheumatoid Arthritis: Results From the Norfolk Arthritis Register.类风湿关节炎起始队列患者的 20 年结局和早期治疗与死亡率及残疾的相关性:来自诺福克关节炎登记处的结果。
Arthritis Rheumatol. 2017 Aug;69(8):1566-1575. doi: 10.1002/art.40090. Epub 2017 Jul 10.
10
Multireader assessment as an alternative to reference assessment to improve the detection of radiographic progression in a large longitudinal cohort of rheumatoid arthritis (ESPOIR).在类风湿性关节炎大型纵向队列(ESPOIR)中,多阅片者评估作为参考评估的替代方法,以改善对影像学进展的检测。
RMD Open. 2017 Jan 4;3(1):e000343. doi: 10.1136/rmdopen-2016-000343. eCollection 2017.