Suppr超能文献

TBP-烷烃-Pd(NO)体系γ辐照后钯物种的表征

Characterization of palladium species after γ-irradiation of a TBP-alkane-Pd(NO) system.

作者信息

Simon Bénédicte, Bouyer Christine, De Sio Stéphanie, Berthon Claude, Boubals Nathalie, Miserque Frédéric, Brackx Emmanuelle, Raymond Nicole, Chagnes Alexandre, Berthon Laurence

机构信息

CEA Marcoule, Nuclear Energy Division, Research Department on Mining and Fuel Recycling Processes (DMRC) BP17171, 30207 Bagnols-sur-Cèze Cedex France

ORANO Cycle 1 Place Jean Millier, 92084 Paris La Défense France.

出版信息

RSC Adv. 2018 Jun 12;8(38):21513-21527. doi: 10.1039/c8ra02695e. eCollection 2018 Jun 8.

Abstract

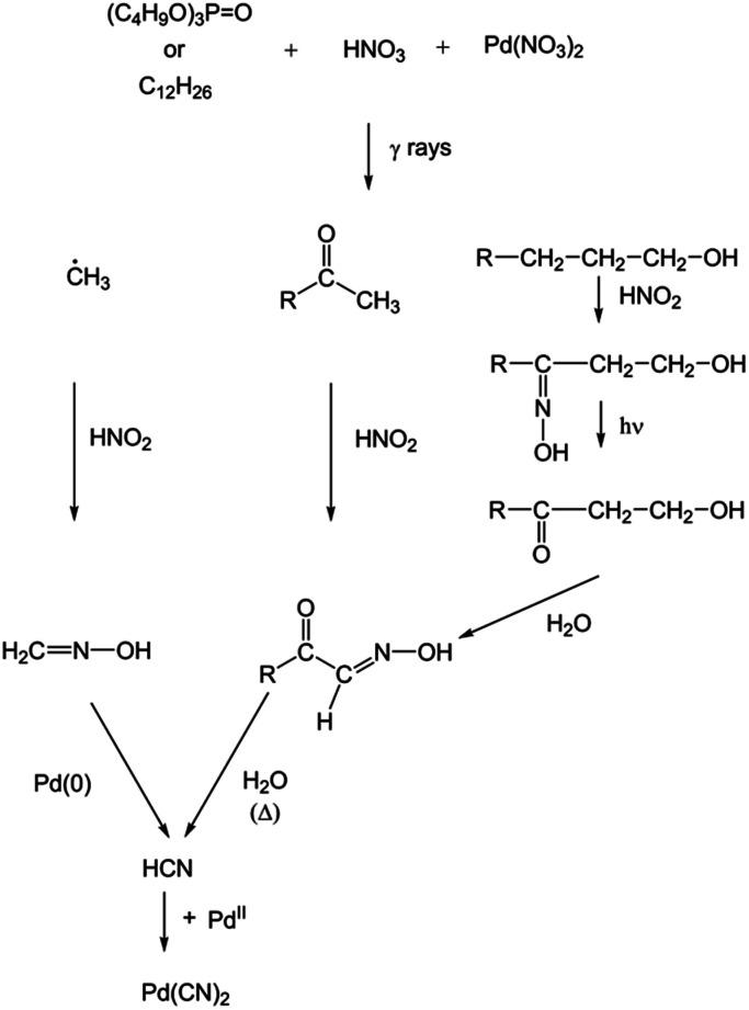
The γ-irradiation of a biphasic system composed of tri--butylphosphate in tetrapropylene hydrogen (TPH) in contact with palladium(ii) nitrate in nitric acid aqueous solution led to the formation of two precipitates. A thorough characterization of these solids was performed by means of various analytical techniques including X-Ray Diffraction (XRD), Thermal Gravimetric Analysis coupled with a Differential Scanning Calorimeter (TGA-DSC), X-ray Photoelectron Spectroscopy (XPS), InfraRed (IR), RAMAN and Nuclear Magnetic Resonance (NMR) Spectroscopy, and ElectroSpray Ionization Mass Spectrometry (ESI-MS). Investigations showed that the two precipitates exhibit quite similar structures. They are composed at least of two compounds: palladium cyanide and palladium species containing ammonium, phosphorous or carbonyl groups. Several mechanisms are proposed to explain the formation of Pd(CN).

摘要

对由磷酸三丁酯在四聚丙烯氢化液(TPH)中与硝酸钯(II)在硝酸水溶液中接触构成的双相体系进行γ辐照,导致形成两种沉淀。通过包括X射线衍射(XRD)、热重分析联用差示扫描量热仪(TGA-DSC)、X射线光电子能谱(XPS)、红外(IR)、拉曼和核磁共振(NMR)光谱以及电喷雾电离质谱(ESI-MS)等各种分析技术,对这些固体进行了全面表征。研究表明,这两种沉淀表现出相当相似的结构。它们至少由两种化合物组成:氰化钯和含有铵、磷或羰基的钯物种。提出了几种机制来解释Pd(CN)的形成。

https://cdn.ncbi.nlm.nih.gov/pmc/blobs/df8d/9080922/67564f06c55f/c8ra02695e-f1.jpg

文献AI研究员

20分钟写一篇综述,助力文献阅读效率提升50倍。

立即体验

用中文搜PubMed

大模型驱动的PubMed中文搜索引擎

马上搜索

文档翻译

学术文献翻译模型,支持多种主流文档格式。

立即体验