• 文献检索
  • 文档翻译
  • 深度研究
  • 学术资讯
  • Suppr Zotero 插件Zotero 插件
  • 邀请有礼
  • 套餐&价格
  • 历史记录
应用&插件
Suppr Zotero 插件Zotero 插件浏览器插件Mac 客户端Windows 客户端微信小程序
定价
高级版会员购买积分包购买API积分包
服务
文献检索文档翻译深度研究API 文档MCP 服务
关于我们
关于 Suppr公司介绍联系我们用户协议隐私条款
关注我们

Suppr 超能文献

核心技术专利:CN118964589B侵权必究
粤ICP备2023148730 号-1Suppr @ 2026

文献检索

告别复杂PubMed语法,用中文像聊天一样搜索,搜遍4000万医学文献。AI智能推荐,让科研检索更轻松。

立即免费搜索

文件翻译

保留排版,准确专业,支持PDF/Word/PPT等文件格式,支持 12+语言互译。

免费翻译文档

深度研究

AI帮你快速写综述,25分钟生成高质量综述,智能提取关键信息,辅助科研写作。

立即免费体验

飞行昆虫物种中线粒体氧消耗和底物氧化的灵活热敏感性

Flexible Thermal Sensitivity of Mitochondrial Oxygen Consumption and Substrate Oxidation in Flying Insect Species.

作者信息

Menail Hichem A, Cormier Simon B, Ben Youssef Mariem, Jørgensen Lisa Bjerregaard, Vickruck Jess L, Morin Pier, Boudreau Luc H, Pichaud Nicolas

机构信息

New Brunswick Centre for Precision Medicine, Moncton, NB, Canada.

Department of Chemistry and Biochemistry, Université de Moncton, Moncton, NB, Canada.

出版信息

Front Physiol. 2022 Apr 25;13:897174. doi: 10.3389/fphys.2022.897174. eCollection 2022.

DOI:10.3389/fphys.2022.897174
PMID:35547573
原文链接:https://pmc.ncbi.nlm.nih.gov/articles/PMC9081799/
Abstract

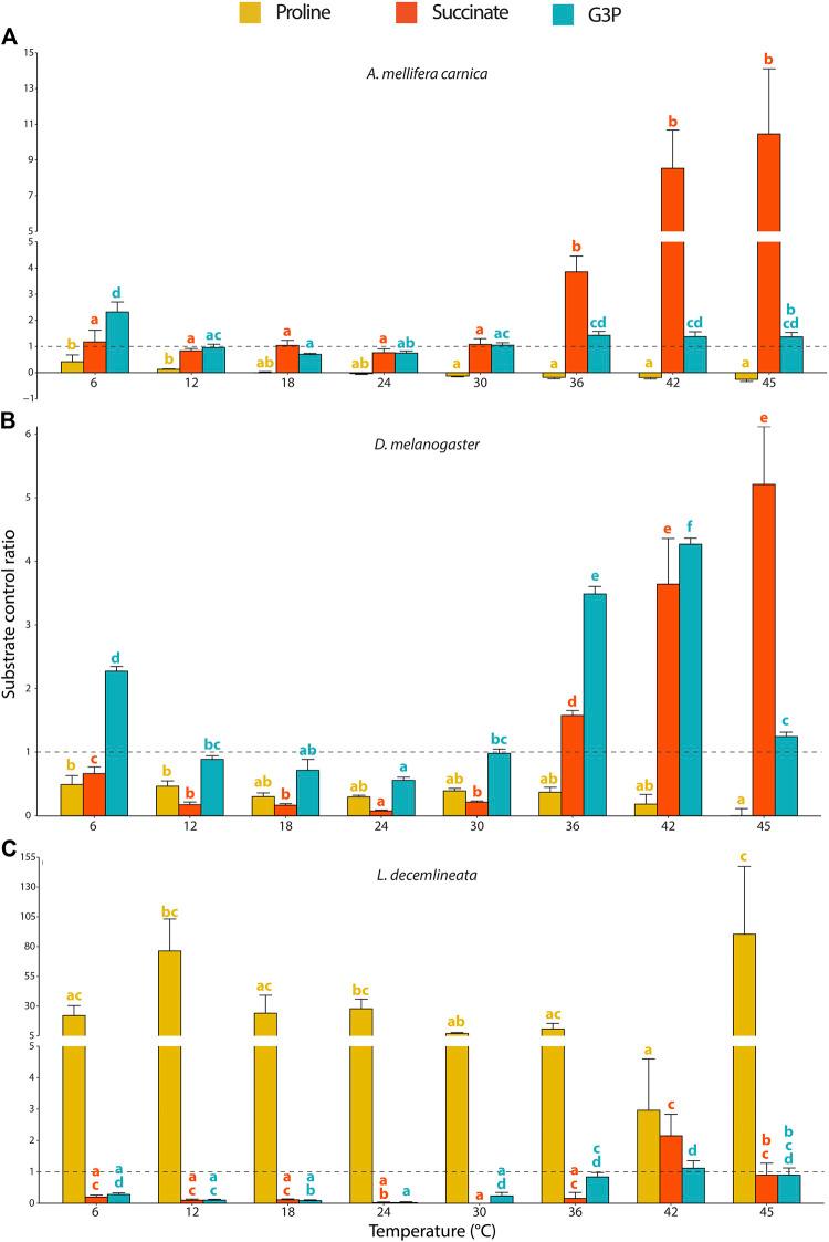
Mitochondria have been suggested to be paramount for temperature adaptation in insects. Considering the large range of environments colonized by this taxon, we hypothesized that species surviving large temperature changes would be those with the most flexible mitochondria. We thus investigated the responses of mitochondrial oxidative phosphorylation (OXPHOS) to temperature in three flying insects: the honeybee (), the fruit fly () and the Colorado potato beetle (). Specifically, we measured oxygen consumption in permeabilized flight muscles of these species at 6, 12, 18, 24, 30, 36, 42 and 45°C, sequentially using complex I substrates, proline, succinate, and glycerol-3-phosphate (G3P). Complex I respiration rates (CI-OXPHOS) were very sensitive to temperature in honeybees and fruit flies with high oxygen consumption at mid-range temperatures but a sharp decline at high temperatures. Proline oxidation triggers a major increase in respiration only in potato beetles, following the same pattern as CI-OXPHOS for honeybees and fruit flies. Moreover, both succinate and G3P oxidation allowed an important increase in respiration at high temperatures in honeybees and fruit flies (and to a lesser extent in potato beetles). However, when reaching 45°C, this G3P-induced respiration rate dropped dramatically in fruit flies. These results demonstrate that mitochondrial functions are more resilient to high temperatures in honeybees compared to fruit flies. They also indicate an important but species-specific mitochondrial flexibility for substrate oxidation to sustain high oxygen consumption levels at high temperatures and suggest previously unknown adaptive mechanisms of flying insects' mitochondria to temperature.

摘要

线粒体被认为对昆虫的温度适应至关重要。鉴于该类群所占据的环境范围广泛,我们推测能够在大幅度温度变化中存活的物种,其线粒体具有最大的灵活性。因此,我们研究了三种飞行昆虫:蜜蜂( )、果蝇( )和科罗拉多马铃薯甲虫( )的线粒体氧化磷酸化(OXPHOS)对温度的响应。具体而言,我们依次使用复合物I底物、脯氨酸、琥珀酸和甘油-3-磷酸(G3P),在6、12、18、24、30、36、42和45°C下测量这些物种透化飞行肌肉中的氧气消耗。复合物I呼吸速率(CI-OXPHOS)在蜜蜂和果蝇中对温度非常敏感,在中等温度下氧气消耗较高,但在高温下急剧下降。脯氨酸氧化仅在马铃薯甲虫中引发呼吸的大幅增加,其模式与蜜蜂和果蝇的CI-OXPHOS相同。此外,琥珀酸和G3P氧化在蜜蜂和果蝇的高温下均能使呼吸显著增加(在马铃薯甲虫中程度较小)。然而,当达到45°C时,果蝇中这种由G3P诱导的呼吸速率急剧下降。这些结果表明,与果蝇相比,蜜蜂的线粒体功能对高温更具弹性。它们还表明,底物氧化的线粒体灵活性在高温下维持高氧气消耗水平方面具有重要但物种特异性的作用,并暗示了飞行昆虫线粒体对温度的先前未知的适应性机制。

https://cdn.ncbi.nlm.nih.gov/pmc/blobs/6077/9081799/aaf792c9b45a/fphys-13-897174-g005.jpg
https://cdn.ncbi.nlm.nih.gov/pmc/blobs/6077/9081799/3cef5cf1cd67/fphys-13-897174-g001.jpg
https://cdn.ncbi.nlm.nih.gov/pmc/blobs/6077/9081799/8252a945cffa/fphys-13-897174-g002.jpg
https://cdn.ncbi.nlm.nih.gov/pmc/blobs/6077/9081799/4eeb8a31bc0d/fphys-13-897174-g003.jpg
https://cdn.ncbi.nlm.nih.gov/pmc/blobs/6077/9081799/1dceac5fee1a/fphys-13-897174-g004.jpg
https://cdn.ncbi.nlm.nih.gov/pmc/blobs/6077/9081799/aaf792c9b45a/fphys-13-897174-g005.jpg
https://cdn.ncbi.nlm.nih.gov/pmc/blobs/6077/9081799/3cef5cf1cd67/fphys-13-897174-g001.jpg
https://cdn.ncbi.nlm.nih.gov/pmc/blobs/6077/9081799/8252a945cffa/fphys-13-897174-g002.jpg
https://cdn.ncbi.nlm.nih.gov/pmc/blobs/6077/9081799/4eeb8a31bc0d/fphys-13-897174-g003.jpg
https://cdn.ncbi.nlm.nih.gov/pmc/blobs/6077/9081799/1dceac5fee1a/fphys-13-897174-g004.jpg
https://cdn.ncbi.nlm.nih.gov/pmc/blobs/6077/9081799/aaf792c9b45a/fphys-13-897174-g005.jpg

相似文献

1
Flexible Thermal Sensitivity of Mitochondrial Oxygen Consumption and Substrate Oxidation in Flying Insect Species.飞行昆虫物种中线粒体氧消耗和底物氧化的灵活热敏感性
Front Physiol. 2022 Apr 25;13:897174. doi: 10.3389/fphys.2022.897174. eCollection 2022.
2
Investigating the thermal sensitivity of key enzymes involved in the energetic metabolism of three insect species.研究三种昆虫物种能量代谢中关键酶的热敏感性。
J Exp Biol. 2024 May 15;227(10). doi: 10.1242/jeb.247221. Epub 2024 May 17.
3
Dramatic changes in mitochondrial substrate use at critically high temperatures: a comparative study using .在极高温度下线粒体底物利用的剧烈变化:使用 的比较研究。
J Exp Biol. 2021 Mar 19;224(Pt 6):jeb240960. doi: 10.1242/jeb.240960.
4
Substrate use and temperature effects in flight muscle mitochondria from an endothermic insect, the hawkmoth Manduca sexta.内温动物天蛾 Manduca sexta 飞行肌线粒体的基质利用和温度效应。
Comp Biochem Physiol A Mol Integr Physiol. 2023 Jul;281:111439. doi: 10.1016/j.cbpa.2023.111439. Epub 2023 Apr 27.
5
Balanced mitochondrial function at low temperature is linked to cold adaptation in Drosophila species.低温下平衡的线粒体功能与果蝇物种的耐寒性有关。
J Exp Biol. 2023 Apr 15;226(8). doi: 10.1242/jeb.245439. Epub 2023 Apr 14.
6
Flies on the rise: acclimation effect on mitochondrial oxidation capacity at normal and high temperatures in Drosophila melanogaster.果蝇中上升的苍蝇:在正常和高温下对果蝇线粒体氧化能力的驯化效应。
J Exp Biol. 2024 Jun 15;227(12). doi: 10.1242/jeb.247706. Epub 2024 Jun 25.
7
Succinate oxidation rescues mitochondrial ATP synthesis at high temperature in Drosophila melanogaster.琥珀酸氧化在高温下拯救黑腹果蝇的线粒体 ATP 合成。
FEBS Lett. 2023 Sep;597(17):2221-2229. doi: 10.1002/1873-3468.14701. Epub 2023 Jul 27.
8
Overwintering in North American domesticated honeybees (Apis mellifera) causes mitochondrial reprogramming while enhancing cellular immunity.在北美驯化的蜜蜂(Apis mellifera)中越冬会导致线粒体重编程,同时增强细胞免疫。
J Exp Biol. 2022 Aug 15;225(16). doi: 10.1242/jeb.244440. Epub 2022 Aug 23.
9
The development of thermotolerance protects blowfly flight muscle mitochondrial function from heat damage.耐热性的发展可保护丽蝇飞行肌线粒体功能免受热损伤。
J Exp Biol. 1995;198(Pt 11):2413-21. doi: 10.1242/jeb.198.11.2413.
10
Mechanisms of thermal stability during flight in the honeybee apis mellifera.蜜蜂飞行过程中的热稳定性机制。
J Exp Biol. 1999 Jun;202 (Pt 11):1523-33. doi: 10.1242/jeb.202.11.1523.

引用本文的文献

1
An evolving roadmap: using mitochondrial physiology to help guide conservation efforts.一个不断发展的路线图:利用线粒体生理学来指导保护工作。
Conserv Physiol. 2024 Sep 7;12(1):coae063. doi: 10.1093/conphys/coae063. eCollection 2024.
2
Insect Flight: State of the Field and Future Directions.昆虫飞行:研究现状与未来方向
Integr Comp Biol. 2024 Jul 9;64(2):533-55. doi: 10.1093/icb/icae106.
3
Minimally destructive hDNA extraction method for retrospective genetics of pinned historical Lepidoptera specimens.用于针插历史鳞翅目标本回溯遗传学的最小损伤 hDNA 提取方法。

本文引用的文献

1
Tissue- and substrate-dependent mitochondrial responses to acute hypoxia-reoxygenation stress in a marine bivalve (Crassostrea gigas).海洋双壳贝类(太平洋牡蛎)组织和基质对急性低氧-复氧应激的线粒体反应。
J Exp Biol. 2022 Jan 1;225(1). doi: 10.1242/jeb.243304. Epub 2022 Jan 11.
2
Proline as a Sparker Metabolite of Oxidative Metabolism during the Flight of the Bumblebee, .脯氨酸作为大黄蜂飞行过程中氧化代谢的激发性代谢产物
Metabolites. 2021 Aug 4;11(8):511. doi: 10.3390/metabo11080511.
3
Mitochondrial responses towards intermittent heat shocks in the eastern oyster, Crassostrea virginica.
Sci Rep. 2024 Jun 5;14(1):12875. doi: 10.1038/s41598-024-63587-7.
4
Insect Flight Energetics and the Evolution of Size, Form, and Function.昆虫飞行的能量学与体型、形态和功能的演化。
Integr Comp Biol. 2024 Sep 17;64(2):586-597. doi: 10.1093/icb/icae028.
5
Fasting as a precursor to high-fat diet enhances mitochondrial resilience in Drosophila melanogaster.禁食作为高脂饮食的前奏可增强黑腹果蝇的线粒体恢复力。
Insect Sci. 2024 Dec;31(6):1770-1788. doi: 10.1111/1744-7917.13355. Epub 2024 Mar 21.
6
Extracellular freezing induces a permeability transition in the inner membrane of muscle mitochondria of freeze-sensitive but not freeze-tolerant larvae.细胞外结冰会在对冷冻敏感而非耐冻的幼虫的肌肉线粒体内膜中引发通透性转变。
Front Physiol. 2024 Feb 7;15:1358190. doi: 10.3389/fphys.2024.1358190. eCollection 2024.
7
Pre-fertilization gamete thermal environment influences reproductive success, unmasking opposing sex-specific responses in Atlantic salmon ().受精前配子的热环境影响繁殖成功率,揭示了大西洋鲑鱼中相反的性别特异性反应。
R Soc Open Sci. 2023 Dec 13;10(12):231427. doi: 10.1098/rsos.231427. eCollection 2023 Dec.
8
Mitochondrial phosphagen kinases support the volatile power demands of motor nerve terminals.线粒体磷原激酶为运动神经末梢的易变功率需求提供支持。
J Physiol. 2023 Dec;601(24):5705-5732. doi: 10.1113/JP284872. Epub 2023 Nov 9.
9
How does mitochondria function contribute to aerobic performance enhancement in lizards?线粒体功能如何促进蜥蜴有氧性能的提升?
Front Physiol. 2023 May 5;14:1165313. doi: 10.3389/fphys.2023.1165313. eCollection 2023.
10
Coping with global warming: Adult thermal thresholds in four pestiferous species determined under experimental laboratory conditions and development/survival times of immatures and adults under natural field conditions.应对全球变暖:在实验室内条件下测定的四种害虫成虫的热阈值以及在自然田间条件下未成熟个体和成虫的发育/存活时间。
Front Physiol. 2022 Oct 11;13:991923. doi: 10.3389/fphys.2022.991923. eCollection 2022.
东方牡蛎(Crassostrea virginica)线粒体对间歇性热休克的反应。
J Exp Biol. 2021 Sep 1;224(17). doi: 10.1242/jeb.242745. Epub 2021 Sep 3.
4
Mitochondrial physiology and responses to elevated hydrogen sulphide in two isogenic lineages of an amphibious mangrove fish.两种水栖红树林鱼类的同基因系中线粒体生理学及其对硫化氢升高的反应。
J Exp Biol. 2021 Apr 15;224(8). doi: 10.1242/jeb.241216. Epub 2021 Apr 16.
5
Systemic and mitochondrial effects of metabolic inflexibility induced by high fat diet in Drosophila melanogaster.高脂肪饮食诱导的果蝇代谢灵活性的系统性和线粒体效应。
Insect Biochem Mol Biol. 2021 Jun;133:103556. doi: 10.1016/j.ibmb.2021.103556. Epub 2021 Feb 21.
6
Dramatic changes in mitochondrial substrate use at critically high temperatures: a comparative study using .在极高温度下线粒体底物利用的剧烈变化:使用 的比较研究。
J Exp Biol. 2021 Mar 19;224(Pt 6):jeb240960. doi: 10.1242/jeb.240960.
7
Mitochondria and the thermal limits of ectotherms.线粒体和变温动物的热极限。
J Exp Biol. 2020 Oct 27;223(Pt 20):jeb227801. doi: 10.1242/jeb.227801.
8
Surviving anoxia: the maintenance of energy production and tissue integrity during anoxia and reoxygenation.在缺氧和再氧合期间维持能量产生和组织完整性以实现缺氧存活。
J Exp Biol. 2020 Jul 10;223(Pt 13):jeb207613. doi: 10.1242/jeb.207613.
9
Insect responses to heat: physiological mechanisms, evolution and ecological implications in a warming world.昆虫对高温的响应:在变暖的世界中生理机制、进化和生态意义。
Biol Rev Camb Philos Soc. 2020 Jun;95(3):802-821. doi: 10.1111/brv.12588. Epub 2020 Feb 8.
10
Mitochondrial thermo-sensitivity in invasive and native freshwater mussels.淡水贝类入侵种与本地种线粒体的热敏感性。
J Exp Biol. 2020 Jan 29;223(Pt 2):jeb215921. doi: 10.1242/jeb.215921.