Suppr超能文献

利用爱尔兰本土小麦生产麦芽威士忌烹饪参数的优化:响应面法研究

The Optimisation of Cooking Parameters for Spirt Whiskey Production from Native Irish Wheat: A Response Surface Method Approach.

作者信息

Morris Sinead, Byrne John L, Murphy Ben, Whelan Stephen J, Carroll John P, Ryan David

机构信息

EnviroCORE, Department of Science and Health, Institute of Technology Carlow, R93 V960 Carlow, Ireland.

出版信息

Foods. 2022 Apr 20;11(9):1199. doi: 10.3390/foods11091199.

Abstract

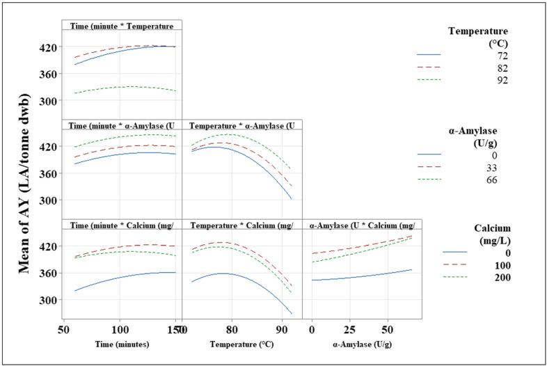
Barley and maize have dominated the Irish whiskey sector, but in recent years, alternative grains have started to gain traction. Ireland has a high average wheat yield, producing grain that is high in starch but low in protein, offering the potential for use in distillation. To successfully utilise Irish-grown wheat in distillation, cultivars that are suitable to the Irish climate and give high yields of alcohol need to be identified. This necessitates the development of a rapid screening test for grain alcohol yield. This study examined the optimal temperature, time period, α-amylase dose rate, and calcium concentration to be used in the cooking of wheat grain to maximise alcohol yields. It was determined that lower cooking temperatures are more successful in achieving higher alcohol yields, and it was confirmed that temperature is a key variable in the cooking process. By optimising all parameters, alcohol yields of 458 LA/tonne were obtained, demonstrating that the optimum parameters can be successfully used for both hard and soft endoderm wheat produced in Ireland as well as for different varieties. This indicates potential for producing higher alcohol yields using Irish-grown wheat in Irish distilleries.

摘要

大麦和玉米在爱尔兰威士忌行业占据主导地位,但近年来,其他谷物开始受到关注。爱尔兰小麦平均产量较高,所产谷物淀粉含量高但蛋白质含量低,具有用于蒸馏的潜力。为了在蒸馏中成功利用爱尔兰种植的小麦,需要鉴定适合爱尔兰气候且酒精产量高的品种。这就需要开发一种快速筛选谷物酒精产量的测试方法。本研究考察了小麦蒸煮过程中用于最大化酒精产量的最佳温度、时间、α-淀粉酶剂量率和钙浓度。结果表明,较低的蒸煮温度更有利于获得较高的酒精产量,并且证实温度是蒸煮过程中的关键变量。通过优化所有参数,获得了458升/吨的酒精产量,这表明最佳参数可成功用于爱尔兰生产的硬胚乳和软胚乳小麦以及不同品种。这表明在爱尔兰酿酒厂使用爱尔兰种植的小麦生产更高酒精产量具有潜力。

https://cdn.ncbi.nlm.nih.gov/pmc/blobs/fc2d/9105317/23b4711abc69/foods-11-01199-g001.jpg

文献AI研究员

20分钟写一篇综述,助力文献阅读效率提升50倍。

立即体验

用中文搜PubMed

大模型驱动的PubMed中文搜索引擎

马上搜索

文档翻译

学术文献翻译模型,支持多种主流文档格式。

立即体验