Suppr超能文献

断奶年龄对西门塔尔犊牛血浆生物标志物和生长性能的影响。

Effects of Weaning Age on Plasma Biomarkers and Growth Performance in Simmental Calves.

作者信息

Ferronato Giulia, Cattaneo Luca, Trevisi Erminio, Liotta Luigi, Minuti Andrea, Arfuso Francesca, Lopreiato Vincenzo

机构信息

Department of Civil Engineering, Architecture, Environment, Land Planning and Mathematics (DICATAM), Università degli Studi di Brescia, 25121 Brescia, Italy.

Department of Animal Sciences, Food and Nutrition, Faculty of Agriculture, Food and Environmental Science, Università Cattolica del Sacro Cuore, 29122 Piacenza, Italy.

出版信息

Animals (Basel). 2022 May 2;12(9):1168. doi: 10.3390/ani12091168.

Abstract

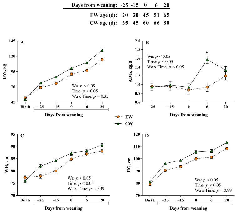
Weaning plays a key role in health status and future performance of calves. The aim of this study was to investigate the effects of weaning age (Wa), early (45 d, EW) or conventional (60 d, CW), on growth performance and metabolic profile of ten Simmental calves (5 EW and 5 CW calves). Daily intake of milk and calf starter was recorded. Blood samples and measurements of body weight (BW), heart girth (HG), and wither height (WH) were collected at −25, −15, 0, 6, and 20 days relative to weaning. Growth performances (BW, HG, WH) were affected by Wa, resulting lower in EW calves compared with CW calves (p < 0.05). Average daily gain was affected by overall Wa and Time but also by the interaction Wa × Time (p < 0.05). EW calves had lower paraoxonase and higher oxidation protein products levels, lower glucose levels in the post-weaning period, lower Ca and cholesterol levels at 20 d after weaning, and higher GGT activity at −25 d from weaning (p < 0.05). A significant interaction effect between Wa and Time was reached for glucose, Ca, cholesterol. In conclusion, weaning Simmental calves at approximately six weeks of age might not affect inflammatory status and liver functionality after weaning. As secondary outcome, even though the low number of animals could represent a limitation, the average daily gain obtained by Simmental calves weaned at 45 d supported this strategy (despite the lower body weight at weaning and after was due only to the age difference of 15 days). Hence, in order to reduce rearing costs, early weaning for Simmental calves (dual-purpose breed, milk and beef) might not jeopardize calf development, as long as calves can reach body gains as reported in the present study.

摘要

断奶对犊牛的健康状况和未来生产性能起着关键作用。本研究的目的是调查断奶年龄(45天,早期断奶,EW;或60天,传统断奶,CW)对10头西门塔尔犊牛(5头EW犊牛和5头CW犊牛)生长性能和代谢特征的影响。记录牛奶和犊牛开食料的日摄入量。在相对于断奶的-25、-15、0、6和20天采集血样,并测量体重(BW)、胸围(HG)和鬐甲高度(WH)。生长性能(BW、HG、WH)受断奶年龄影响,EW犊牛低于CW犊牛(p<0.05)。平均日增重受总体断奶年龄和时间影响,也受断奶年龄×时间的交互作用影响(p<0.05)。EW犊牛的对氧磷酶水平较低,氧化蛋白产物水平较高,断奶后葡萄糖水平较低,断奶后20天钙和胆固醇水平较低,断奶前25天γ-谷氨酰转移酶(GGT)活性较高(p<0.05)。葡萄糖、钙、胆固醇在断奶年龄和时间之间存在显著的交互作用。总之,西门塔尔犊牛大约在六周龄断奶可能不会影响断奶后的炎症状态和肝脏功能。作为次要结果,尽管动物数量较少可能是一个限制因素,但45日龄断奶的西门塔尔犊牛获得的平均日增重支持了这一策略(尽管断奶时和断奶后的体重较低仅是由于15天的年龄差异)。因此,为了降低饲养成本,西门塔尔犊牛(乳肉兼用品种)早期断奶可能不会危及犊牛发育,只要犊牛能达到本研究报告的体重增加。

https://cdn.ncbi.nlm.nih.gov/pmc/blobs/1d22/9104405/89efa4f146c3/animals-12-01168-g001.jpg

文献AI研究员

20分钟写一篇综述,助力文献阅读效率提升50倍。

立即体验

用中文搜PubMed

大模型驱动的PubMed中文搜索引擎

马上搜索

文档翻译

学术文献翻译模型,支持多种主流文档格式。

立即体验